ecosistemas

ISSN 1697-2473

Open access / CC BY-NC 4.0

© 2026 Los autores [ECOSISTEMAS no se hace responsable del uso indebido de material sujeto a derecho de autor] / © 2026 The authors [ECOSISTEMAS is not responsible for the misuse of copyrighted material]

 

Ecosistemas 35(1): 3048 [enero - abril / January - April, 2026]: https://doi.org/10.7818/ECOS.3048

 

MONOGRÁFICO: Ecología del despoblamiento rural/ MONOGRAPHIC: Ecology of rural depopulation

Editores invitados / Guest editors: Francisco Lloret y Adrián Escudero

 

ARTÍCULO DE INVESTIGACIÓN / RESEARCH ARTICLE

 


El efecto de la repoblación de núcleos rurales despoblados sobre los servicios ecosistémicos

Daniel Bruno1,* ORCID logo, María R. Felipe-Lucia2 ORCID logo, Belinda Gallardo3 ORCID logo, Sara Palacio2 ORCID logo, David Moret-Fernández4 ORCID logo, Jesús Martínez-Padilla2 ORCID logo, Miguel Sevilla-Callejo3 ORCID logo, Raquel Charte-Gascón2 ORCID logo, José M. Igual5 ORCID logo, Angel Valverde5 ORCID logo, Pablo Tejero2 ORCID logo, José Manuel Nicolau6 ORCID logo, Ramón Reiné6 ORCID logo, Lucía Ayuso2, Paula Bautista2,7 ORCID logo, Alvaro Berzosa8, C. Guillermo Bueno2 ORCID logo, Clara Castellano3 ORCID logo, Paz Errea3 ORCID logo, Alberto Pastoriza2 ORCID logo, Alicia Pérez-Lagares2 ORCID logo, Olatz Fernández2 ORCID logo, Carlos Camacho2,9 ORCID logo, Benito P.Vispo2, Uxue Calderón-Gortazar6 ORCID logo, Carlos Molina-Martín10 ORCID logo, Alba López11, David Cenalmor11 ORCID logo, Juan J. Jiménez2 ORCID logo

 

(1)    Centro de Investigación e Innovación Agroalimentaria y Ambiental (CIAGRO). Universidad Miguel Hernández de Elche, Elche, España.

(2)    Instituto Pirenaico de Ecología (IPE-CSIC), Jaca.

(3)    Instituto Pirenaico de Ecología (IPE-CSIC), Zaragoza.

(4)    Estación Experimental de Aula Dei (EAAD-CSIC), Zaragoza.

(5)    Instituto de Recursos Naturales y Agrobiología de Salamanca (IRNASA-CSIC).

(6)    Escuela Politécnica Superior. Universidad de Zaragoza, Huesca.

(7)    Universidad de Alcalá, departamento de Ciencias de la Vida.

(8)    A Redolada S. Coop. Pequeña, Artosilla, Huesca.

(9)    Estación Biológica de Doñana (EBD-CSIC), Sevilla.

(10)  Actividades, Estudios y Proyectos en el Medio Ambiente, S.L.

(11)  Universidad de Salamanca, Salamanca. 

 

* Autor para correspondencia / Corresponding author: D. Bruno [dbrunocollados@um.es]

 

> Recibido / Received: 25/04/2025 – Aceptado / Accepted: 17/08/2025

Cómo citar / How to cite: Bruno, D., Felipe-Lucía, M. R., Gallardo, B., Palacio, S., Moret-Fernández, D., Martínez-Padilla, J., … Jiménez, J. J. (2026). El efecto de la repoblación de núcleos rurales despoblados sobre los servicios ecosistémicos. Ecosistemas 35(1): 3048. https://doi.org/10.7818/ECOS.3048

El efecto de la repoblación de núcleos rurales despoblados sobre los servicios ecosistémicos

Resumen: Las áreas rurales proporcionan la mayoría de los Servicios Ecosistémicos (SE) a todo el territorio. La despoblación supone un enorme reto socioeconómico y medioambiental por las múltiples consecuencias del abandono rural sobre la cohesión social, vertebración territorial, uso sostenible de los recursos naturales, adaptación al cambio climático, conservación de la biodiversidad y los ecosistemas. Sin embargo, no se ha investigado el efecto que puede tener la recuperación de pueblos abandonados en los ecosistemas y los SE que proporcionan.

En España, es especialmente delicada la situación de las zonas montañosas, que han experimentado despoblación severa en el último siglo a consecuencia del decaimiento demográfico y la venta y expropiación de tierras para la reforestación masiva. Este trabajo estudia los efectos de la restauración de la población de pueblos abandonados de montaña sobre ocho SE, comparando este tipo de núcleos con aquellos que permanecen despoblados y con los que han estado permanentemente habitados, en el Sistema Central y los Pirineos.

Este trabajo aporta las primeras evidencias sobre los efectos de la repoblación de núcleos rurales deshabitados en un amplio rango de SE: soporte, regulación, abastecimiento y culturales. Los núcleos restaurados mostraron niveles elevados de servicios de regulación y soporte respecto a los habitados, al tiempo que recuperan de manera significativa (respecto a los despoblados) los servicios culturales y, en menor medida, algunos de abastecimiento. Estos resultados pueden ayudar al diseño de herramientas y políticas públicas de ordenación del territorio para compaginar la sostenibilidad económica, social y ambiental, y una provisión equilibrada de servicios ecosistémicos.

Palabras clave: abandono de tierras; contribuciones de la naturaleza a las personas; despoblación; repoblación rural; restauración socioecológica; transición ecológica

The effect of restoration of rural depopulated villages on ecosystem services

Abstract: Rural areas provide most ecosystem services (ES) to the whole territory. Depopulation poses an enormous socioeconomic and environmental challenge due to the multiple consequences of rural abandonment on social cohesion, territorial structure, the sustainable use of natural resources, adaptation to climate change, and the conservation of biodiversity and ecosystems. However, the impact that the population restoration of abandoned villages can have on ecosystems and the services they provide to society has not been investigated.

In Spain, the situation of mountain areas is particularly problematic, having experienced severe depopulation in the last century, mainly as a result of the demographic decline and the sale and expropriation of land for massive afforestation. This study investigates the effects of restoring abandoned villages on eight ES in rural mountain areas, comparing these types of villages with those that remain depopulated and with those that have been permanently inhabited, in the Central System and the Pyrenees.

This work provides the first evidence on the effects of restoring and repopulating rural areas on a wide range of ES, including provisioning, regulating, supporting, and cultural services. Restored villages showed higher levels of regulation and supporting services than permanently inhabited villages, while significantly recovering (compared to abandoned ones) cultural services and, to a lesser extent, some provisioning services. These results can contribute to the design of land-use planning tools and public policies that combine social and environmental sustainability with a balanced provision of ES in rural mountain areas.

Keywords: land abandonment; nature contributions to people; depopulation; rural repopulation; socioecological restoration; ecological transition


Introducción

La despoblación supone un enorme reto socioeconómico y medioambiental por las múltiples consecuencias que el abandono rural tiene sobre la cohesión social, la vertebración territorial, el uso sostenible de los recursos naturales, la adaptación al cambio climático, la conservación de la biodiversidad y los ecosistemas (MITECO, 2021). En Europa, el riesgo demográfico es especialmente evidente en las regiones rurales de Portugal, España, Grecia, Italia, Suecia y Finlandia (Cuadrado-Roura, 2023; Eurostat, 2024). En España, la situación de las zonas montañosas es especialmente delicada, ya que han experimentado un abandono de tierras y despoblación severos en el último siglo (Lasanta et al., 2015; 2017; Romero-Díaz et al., 2017) a consecuencia, principalmente, de dos procesos. Por un lado, uno abrupto y relativamente rápido debido a la venta y expropiación de tierras para la reforestación masiva, y, por otro, uno de carácter crónico, como es el decaimiento demográfico (envejecimiento y falta de relevo generacional). En este contexto, tanto el Pirineo Aragonés como el Navarro o el Sistema Central representan el paradigma de los sistemas montañosos más despoblados de España y Europa, siendo considerados como desiertos demográficos (<10 habitantes/km2, con amplias zonas por debajo de los 4 habitantes/km2; Pinilla y Saez, 2017; Burillo-Cuadrado et al., 2019; Gómez-Valenzuela y Holl, 2024).

El fenómeno de la despoblación rural en España es relativamente reciente y coyuntural. La despoblación del mundo rural comenzó a mediados del siglo XIX, cuando la industria moderna se concentró en las áreas urbanas y las zonas de montaña entraron en crisis como consecuencia de la desarticulación de su economía tradicional (Gallego et al.,1992) y sus peores condiciones de vida y accesibilidad. Estas diferencias, acentuadas entre 1939 y 1975, generaron un éxodo rural hacia los núcleos urbanos. En el caso del Pirineo y otras áreas de montaña, este movimiento migratorio se aceleró por las políticas hidráulicas y de reforestación desarrolladas a lo largo del siglo XX, que derivaron en expropiaciones y compras públicas de suelo (Marín-Gavín et al., 2017). Sin embargo, en la actualidad la emigración ya no es la principal causa del declive demográfico del medio rural, siendo ésta sustituida por el envejecimiento de la población y la baja tasa de natalidad (Perpiña-Castillo et al., 2020).

Las áreas rurales son cruciales para el crecimiento sostenible, porque proporcionan la mayoría de los servicios ecosistémicos (SE) a todo el territorio. Los SE son aquellos beneficios directos e indirectos que un ecosistema aporta a la sociedad y que mejoran la salud, la economía y la calidad de vida de las personas, y se dividen tradicionalmente en servicios ecosistémicos de abastecimiento, regulación, culturales y de soporte (MEA, 2005). Algunos ejemplos incluyen la producción de materias primas y alimentos, la polinización, la regulación del clima y agua, la prevención de inundaciones e incendios, el control de la erosión, el secuestro de carbono, la provisión de hábitat o de actividades culturales y recreativas (Costanza et al.,1997).

Sin embargo, los efectos de la despoblación en los SE han sido probados tan solo indirectamente a través de estudios de cambios en los usos del suelo (Bruno et al., 2021). Si el conocimiento sobre los efectos de la despoblación puede considerarse limitado, existe un vacío de información total sobre el potencial de la restauración de la población (recuperación de la población en núcleos previamente despoblados) para mitigar estos efectos en la provisión de SE. En este contexto, la restauración socioecológica ha emergido como un marco conceptual y práctico fundamental (Fernández-Manjarrés et al., 2018), especialmente en el contexto de la Década de las Naciones Unidas para la Restauración de Ecosistemas (2021-2030; Aronson et al., 2020; Fischer et al., 2021). Este enfoque reconoce la interdependencia crítica entre los sistemas sociales y ecológicos, y busca superar las limitaciones de la restauración tradicional que obvia en gran medida las dimensiones humanas (Aronson et al., 2020; Higgs et al., 2014). Desde este prisma, cualquier intervención debe abordar tanto la recuperación de la biodiversidad y de las funciones ecosistémicas, como la revitalización del tejido social y económico local (Bürgi et al., 2017). De hecho, uno de los grandes retos es la implementación real de restauraciones socioecológicas como la presentada en este trabajo, y cómo medir su impacto considerando tanto el componente ambiental como social, para lo que la aproximación de SE resulta una métrica integradora clave. El marco conceptual de la restauración socioecológica y los SE ha demostrado ser una de las mejores herramientas para evaluar los recursos naturales ya que integran tanto aspectos ecológicos como sociales en la valoración de los ecosistemas y sus beneficios para el bienestar humano (Smith et al., 2022).

El término repoblación rural se refiere al proceso de atraer y asentar nuevos residentes permanentes en áreas rurales que han experimentado un declive demográfico significativo y continuado (despoblación). Por tanto, no es simplemente un aumento temporal de población (como el turismo), sino un intento deliberado de revertir la dinámica de abandono y construir comunidades rurales viables a largo plazo. La repoblación y restauración de zonas rurales constituye un ejemplo paradigmático de restauración socioecológica que permite abordar simultáneamente el reto demográfico y ambiental, al tiempo que se recupera un patrimonio cultural y arquitectónico condenado, de otra forma, a desaparecer. Para ello, es necesario integrar a los nuevos pobladores, estudiando su impacto en los ecosistemas y diseñando las estrategias a seguir para una restauración respetuosa y sostenible medioambientalmente (Palacio, 2021).

Algunos estudios han analizado el impacto de la despoblación sobre los SE (Bruno et al., 2021; Lloret et al., 2024), pero faltan datos cuantitativos que permitan evaluar el efecto inverso, es decir, el efecto de la repoblación y restauración de zonas rurales despobladas sobre la provisión de SE. Para ello, este trabajo exploratorio aborda los efectos de la restauración de núcleos despoblados sobre los SE en zonas rurales de montaña. El estudio compara diferentes SE del entorno de núcleos despoblados con respecto a pueblos adyacentes restaurados en los últimos 30-40 años y pueblos que se han mantenido habitados hasta la actualidad. Como hipótesis principal, se espera que la provisión de SE sea significativamente diferente entre los distintos tipos de núcleos (habitado, restaurado y despoblado). En concreto, cabría esperar que la provisión de SE en núcleos restaurados se sitúe en un punto intermedio entre los núcleos despoblados y permanentemente habitados. En particular, la Tabla 1 sintetiza brevemente las expectativas para cada uno de los SE investigados.

Tabla 1. Relación de servicios ecosistémicos evaluados en este estudio, hipótesis sobre el efecto de la restauración de núcleos deshabitados, indicadores y fuentes de datos utilizados.

Table 1. List of ecosystem services assessed in this study, hypotheses on the effect of restoration of uninhabited sites, indicators and data sources used.

Tipo

Servicio Ecosistémico

Hipótesis

Indicadores

Fuente de datos

REGULACIÓN

Calidad del suelo

Sin cambios significativos entre núcleos por su pequeño tamaño e intensidad de uso.

Características físico-químicas (materia orgánica, nutrientes).

Trabajo de campo (N=396)

Calidad del agua

Sin cambios significativos entre núcleos por su pequeño tamaño e intensidad de uso.

Características físico-químicas del agua (oxígeno, sólidos, nutrientes, solutos).

Trabajo de campo (N=79)

Secuestro y almacenamiento de carbono

Superior en núcleos despoblados por el proceso de revegetación.

Biomasa forestal, stock de carbono en suelo.

Modelización

SOPORTE

Formación y fertilidad del suelo

Mayor biomasa microbiana (fertilidad) y biodiversidad en condiciones naturales.

Biomasa y diversidad microbiana del suelo.

Trabajo de campo (N PLFAs= 132; N secuenciación= 22)

Biodiversidad de especies y hábitats

Mayor biodiversidad en núcleos restaurados con respecto a despoblados y habitados.

Riqueza y diversidad de taxones vegetales, avifauna y coberturas del suelo.

Trabajo de campo (N flora = 78;

N avifauna = 263) y Análisis cartográfico

PROVISIÓN

Producción agroganadera

Superior en núcleos permanentemente habitados que en restaurados, a su vez mayor que en despoblados.

Cobertura agrícola, número de explotaciones ganaderas y unidades de ganado mayor.

Serv. Información Geográfica de las Parcelas Agrarias (SIGPAC). Registro Gen, de Explotaciones Ganaderas (REGA)

Provisión de agua

Reducción de agua verde con el correspondiente aumento de agua azul en núcleos restaurados con respecto a despoblados.

Medidas de infiltración y balance agua azul / agua verde.

Trabajo de campo (N=198) y modelización

CULTURAL

Valor cultural del paisaje

(6 indicad.)

Diferencial entre los tres tipos de núcleos respecto al uso y valor de servicios culturales.

Uso deportivo, uso recreativo, valor educativo, publicaciones, fuentes y lugares de interés local.

Información secundaria y talleres participativos

Metodología

Área de estudio

El estudio se desarrolla en tres zonas de montaña caracterizadas por una densidad de población extremadamente baja, inferior a los 6 habitantes/km2 en Aragón, Navarra y Castilla-La Mancha (Fig. 1). En cada una de las zonas se han seleccionado tres tipos de núcleos rurales: i) núcleos habitados de manera continua, ii) núcleos que permanecen despoblados desde los años 60-70 del s. XX, y iii) núcleos despoblados en ese mismo periodo pero que comenzaron su rehabilitación en los años 80-90 y se encuentran habitados en la actualidad (restaurados) gracias a la iniciativa civil y con cesión de uso por parte de la Administración. Los nuevos pobladores presentan en general una conciencia ambiental alta y una economía mayormente basada en el sector servicios, aunque con presencia del sector primario (agricultura, ganadería y silvicultura). La comparación entre núcleos despoblados y restaurados nos permite evaluar los cambios atribuibles a la restauración socioecológica; mientras que el núcleo permanentemente habitado ejerce un papel de doble control, dado que los ecosistemas restaurados a menudo no regresan al estado ecológico original (Hobbs y Suding, 2009).

En Aragón, los pueblos seleccionados están ubicados en el valle del río Guarga y Matriz, al norte de la sierra de Guara en la provincia de Huesca: Serué (habitado), Secorún (despoblado) y Aineto (restaurado). En Navarra, los pueblos escogidos comprenden Villanueva de Arce/Aritz-Heriberri (habitado), Lacabe/Lakabe (restaurado) y Gurpegui/Gupergi (despoblado). En Castilla-La Mancha las localidades seleccionadas están ubicadas en la Sierra de Ayllón, en la provincia de Guadalajara: Campillo de Ranas (habitado), La Vereda (restaurado) y Robredarcas (despoblado).

La delimitación del área de estudio se ha definido considerando un área de influencia (buffer) de 2.5 km alrededor de los puntos centrales de las localidades en estudio (Fig. 1), a partir de los límites administrativos incluidos en el primer Mapa Topográfico Nacional 1:50 000 (1875, origen IGN) y de las subcuencas hidrográficas generadas desde el MDT de 5 m (origen PNOA-LiDAR, CNIG-IGN).

 

Localización de las 3 áreas de estudio en las provincias de Huesca (SER - Serué, AIN - Aineto y SEC - Secorún), Navarra (VIL - Villanueva de Arce / Heriberri-Artzibar, GUR - Gurpegui y LAC – Lacabe) y Guadalajara (CAM - Campillo de Ranas, VER - La Vereda y ROB - Robredarcas) con indicación de los 3 tipos de núcleos seleccionados. Base cartográfica: IGN, Stamen y OpenStreetMap.

Figura 1. Localización de las 3 áreas de estudio en las provincias de Huesca (SER - Serué, AIN - Aineto y SEC - Secorún), Navarra (VIL - Villanueva de Arce / Heriberri-Artzibar, GUR - Gurpegui y LAC – Lacabe) y Guadalajara (CAM - Campillo de Ranas, VER - La Vereda y ROB - Robredarcas) con indicación de los 3 tipos de núcleos seleccionados. Base cartográfica: IGN, Stamen y OpenStreetMap.

Figure 1. Location of the 3 study areas in the provinces of Huesca (SER - Serué, AIN - Aineto y SEC - Secorún), Navarra (VIL - Villanueva de Arce / Heriberri-Artzibar, GUR - Gurpegui y LAC – Lacabe) and Guadalajara (CAM - Campillo de Ranas, VER - La Vereda y ROB - Robredarcas) with indication of the 3 types of sites selected. Cartographic base: IGN, Stamen and OpenStreetMap.

 

Recogida y análisis de datos

En total, se han analizado 8 SE (dos de soporte, tres de regulación, dos de abastecimiento y el valor cultural; Tabla 1). Para ello, se ha combinado el uso de metodologías habitualmente utilizadas en los análisis de SE, desde el muestreo en campo para la recogida de muestras y observación de especies, hasta la información secundaria y modelización a partir de sistemas de información geográfica (SIG).

Para los SE estimados con SIG (diversidad de hábitats, secuestro y almacenamiento de carbono, provisión de agua), primeramente se compartimentó el área de estudio en teselas con coberturas y usos de suelo, partiendo de la base del Sistema de Información del Suelo de España (SIOSE; IGN-CNIG, 2014) y la interpretación de ortofotografías de los servicios WMS del Plan Nacional de Ortofotografía Aérea (PNOA) en tres periodos (IGN-CNIG, 1956/57, 1983/84, 2021), utilizando QGIS (2024; versión 3.38.3) y en base a la delimitación de 2014 del SIOSE (IGN-CNIG, 2014). En los casos necesarios se subdividieron los polígonos originales para identificar las siguientes tipologías: ríos y láminas de agua (AG), zonas riparias (ZR), bosques naturales que no se han identificado como repoblación (FN), masa de reforestación (FR), matorral arbolado o áreas de arbolado disperso con o sin matorral evidente (MF), áreas sin arbolado aparente que puede estar formado por matorral u otras formaciones no forestales (MT), mosaico de cultivos y matorral que puede incluir pastizales (CM), cultivos herbáceos con estructura parcelaria definida (CU), pastos o áreas extensas con vegetación sin una parcelación clara alejadas de la localidad (PA), roquedos y áreas sin vegetación (SV), núcleos urbanos y superficies construidas como carreteras u otras infraestructuras (NU).

Para los servicios ecosistémicos del suelo (calidad y fertilidad del suelo), se recogieron muestras de suelo (0-10 y 10-20 cm de profundidad) por triplicado (en los vértices de un triángulo equilátero con separación de 20 m entre cada punto) en: sistemas agrícolas (cultivos o prados), bosques naturales y replantaciones en cada tipo de población. Las muestras usadas para analizar la fertilidad del suelo se conservaron en fresco a 4 ºC hasta su posterior análisis en el servicio científico-técnico de análisis de suelos del Instituto Pirenaico de Ecología (IPE), mientras que las de análisis microbiológico se guardaron en frío a -80 ºC hasta su análisis en el servicio científico-técnico de análisis de suelos del Instituto de Recursos Naturales y Agrobiología (IRNASA).

Servicios de regulación

- Calidad del suelo: para cuantificar este servicio de regulación, se midieron características físico-químicas como materia orgánica y P disponible. El contenido en materia orgánica por combustión en seco (LECO) y el P disponible por el método Olsen (Olsen et al., 1954). A partir del contenido en materia orgánica se estimó el contenido en carbono orgánico del suelo (COS) aplicando el factor de Van Bemmelen (Eyherabide et al., 2014): % M.O. = % C x 1.724.

- Calidad del agua: durante 2023, 2024 y 2025, se tomaron un total de 79 muestras de agua distribuidas entre las tres zonas de estudio y los tres tipos de núcleo en cada una de ellas (despoblado = 21, restaurado = 25 y habitado = 33). En cada punto se tomó una muestra de 1L en botella estéril para su posterior análisis físico-químico en los servicios científico-técnicos del IPE: conductividad, concentración de sólidos (disueltos, suspendidos, materia orgánica), clorofila, nutrientes (nitrito, nitrato, fósforo reactivo), carbonatos, bicarbonatos, aniones y cationes.

- Secuestro y almacenamiento de carbono: Para la determinación del stock de carbono almacenado se ha utilizado la metodología de Barandica et al. (2014). Partiendo de la categorización cartográfica de usos del suelo elaborada previamente, para cada uno de los tres periodos de estudio (1956/57, 1983/84 y 2021), cada tesela de los 9 núcleos rurales se ha reclasificado según la especie vegetal dominante a partir del Inventario Nacional Forestal y en base a la inspección sobre el terreno en un total de 33 categorías (Anexo I.a) utilizando el software CO2NSTRUCT (Barandica et al., 2014). Cada una de estas categorías tiene asignado un valor de C, que fue refinada con los datos empíricos de materia orgánica obtenidos en este estudio para crear 22 categorías nuevas adaptadas a las localidades estudiadas. Esta combinación de datos permite acotar mejor la variabilidad presente entre los diferentes periodos de estudio, ya que, en la mayor parte de ecosistemas estudiados, el C en el suelo, que es muy variable, representa un gran porcentaje del total (Heath et al., 2002). Posteriormente, las categorías se agregaron por usos del suelo, diferenciando entre uso agrícola-ganadero, repoblación forestal o bosque autóctono.

Servicios de soporte

- Fertilidad del suelo desde una perspectiva microbiológica: la comunidad microbiana determina en gran medida la fertilidad de un suelo, definida por su capacidad para sustentar la vida vegetal, y base fundamental para la provisión de múltiples SE, como la diversidad de hábitats y especies, la producción de alimentos y biomasa (Saccá et al., 2017). A partir de las muestras de suelo recogidas, se preparó una muestra compuesta por parcela (N= 132) para la determinación de los ácidos grasos de fosfolípidos (PLFAs) y una muestra compuesta por uso de suelo y localidad (N= 22) para la secuenciación masiva de los genes 16S rRNA (bacterias) y regiones ITS (hongos) en los laboratorios del IRNASA. Al combinar ambas técnicas, es posible obtener una visión integral de la actividad y diversidad microbiana, factores clave que influyen en los procesos de descomposición de materia orgánica, reciclado de nutrientes y, en consecuencia, en la fertilidad del suelo (Anexo I.b).

- Diversidad de especies y hábitats: Para el estudio de los cambios en la composición y diversidad florística se seleccionaron tres tipos de paisaje que previsiblemente podrían haber sufrido mayores cambios como consecuencia del diferente manejo y la sucesión ecológica tras la pérdida o disminución de la perturbación ejercida por la presencia humana y el pastoreo (e.g. Delgado-Artés et al., 2022): los núcleos urbanos y las formaciones con arbolado (distinguiendo entre bosques autóctonos y repoblaciones forestales). Se realizaron estimas de la diversidad (riqueza de especies, índice de Shannon, índice de Pielou) y se testaron las diferencias entre los tipos de núcleos comparando los intervalos de confianza al 95 %. La composición florística fue evaluada para los núcleos de cada provincia mediante NMDS.

La riqueza de especies de aves se estimó mediante 263 puntos de escucha durante 2023 y 2024: 64 en núcleos despoblados (Aragón, n=22; Guadalajara, n=15; Navarra, n=27), 102 en habitados (Aragón, n=35; Guadalajara, n=38; Navarra, n=29) y 97 en repoblados (Aragón, n=26; Guadalajara, n=41; Navarra, n=30), distribuidos dentro de un radio de 5 km alrededor de cada núcleo urbano. Todos los censos se realizaron hasta 3h después del amanecer. Se anotaron todos los contactos visuales y auditivos de especies diferentes diferenciando si se produjeron a más o menos de 25 m de distancia. Se realizaron modelos lineales generalizados (distribución de Poisson), en el que la riqueza de especies (detectadas a menos de 25 m) fue la variable dependiente, mientras que el tipo de núcleo y la provincia fueron variables predictoras, y la hora de inicio del muestreo una covariable.

Finalmente, para evaluar la diversidad de hábitats, a partir de la cartografía elaborada previamente, se estimó la diversidad de coberturas de usos de suelo (ver tipologías al inicio de la sección) mediante el índice de Shannon (Shannon y Weaver, 1949).

Servicios de abastecimiento

- Producción agroganadera: Los SE de abastecimiento agroganadero se analizaron a partir de la información oficial disponible en el Servicio de Información Geográfica de las Parcelas Agrarias (SIGPAC; https://sigpac.mapa.gob.es/fega/visor/) y en el Registro General de Explotaciones Ganaderas (REGA; https://www.mapa.gob.es/app/buscadorrega/Buscador.aspx) Para el primer caso, se recortó la información geográfica por el área de estudio y se analizó la superficie dedicada a cada uso del suelo. Con la información disponible en REGA se descargaron las ubicaciones de las explotaciones ganaderas activas de cada provincia y se hicieron recuentos según localizaciones y tipologías. Las cabezas por cada explotación que aparecen en REGA se transformaron en Unidades de Ganado Mayor (UGM), según tablas de conversión oficiales para los distintos tipos de ganado. Las cargas ganaderas se estimaron dividiendo las UGM resultantes por las hectáreas catalogadas como cultivos y pastos.

- Provisión de agua: Este SE se evaluó mediante dos aproximaciones, una empírica y otra estimativa, a través de modelización. Para la aproximación empírica, la provisión de agua se cuantificó a partir de medidas de infiltración de agua en el suelo, cuya diferencia respecto a la tasa de precipitación indica el volumen potencial de agua de escorrentía superficial, o agua que llega de forma rápida a los cauces de los ríos. Se determinó también la conductividad hidráulica, K, y sorptividad, S, de la capa superficial del suelo. La infiltración y las propiedades hidráulicas superficiales del suelo se caracterizaron con la técnica del infiltrómetro de disco (Moret-Fernández et al., 2021), con medidas in situ en suelo agrícolas con costra superficial (Latorre et al., 2021) y cilindros inalterados en el caso de suelo forestales con capa de hojarasca en superficie (Moret-Fernández et al., 2025, datos sin publicar). Las medidas se realizaron sobre suelo inicialmente seco, siguiendo el protocolo descrito anteriormente para los muestreos de suelos. Sin embargo, debido a los fenómenos de hidrofobicidad comúnmente observados en suelos forestales secos, las medidas de infiltración sobre cilindros inalterados se repitieron con suelo saturado en laboratorio. Complementariamente, se estimó la provisión del agua (agua azul) a través del modelo de Zhang et al., (2001), que representa el porcentaje de lluvia anual que se transforma en escorrentía superficial o subsuperficial, quedando disponible para el uso directo del ser humano.

Servicios culturales

- Valor cultural del paisaje: Se ha recabado información de 6 indicadores del valor cultural, a partir de fuentes secundarias, y durante las jornadas participativas de presentación del proyecto realizadas en cada uno de los pueblos habitados (6 en total: 3 permanentemente habitados, 3 restaurados). Las jornadas duraron unas 2 h y se celebraron entre noviembre de 2023 y marzo de 2024. Los indicadores utilizados fueron: valor recreativo (kilómetros de rutas de senderismo o BTT señalizadas), espacios para el ocio (número de merenderos), fuentes o manantiales (número), valor educativo (número de paneles o carteles con información sobre el valor cultural o ambiental del lugar), publicaciones (número de libros o documentales publicados sobre el lugar), lugares de interés local (número de lugares con valor cultural, religioso o espiritual para sus habitantes) (Anexo II).

En los análisis estadísticos posteriores, además del tipo de núcleo (habitado, deshabitado y restaurado), también se consideró la provincia como variable predictora a la hora de analizar la provisión de los SE de regulación, soporte y abastecimiento, cuando estaba indicado y existía suficiente tamaño muestral. Para evaluar el impacto de los distintos tipos de núcleos rurales sobre los SE, de manera general, se emplearon análisis de la varianza (ANOVA) para variables con distribución normal (secuestro del carbono) y Kruskal-Wallis para variables con distribución no normal (resto de SE). Cuando estos últimos fueron significativos, se realizaron comparaciones post hoc por pares utilizando la prueba de Dunn con corrección de Holm para el ajuste por comparaciones múltiples. Para ello se utilizaron los paquetes car, stats, rstatix y vegan en R software (R Core Team, 2024).

Resultados

En general, los análisis realizados muestran que los servicios de regulación y soporte (calidad del agua, del suelo y secuestro de carbono; Fig. 2) alcanzan mayores valores en los núcleos despoblados y/o restaurados que en los permanentemente habitados, mientras que los servicios de abastecimiento (provisión de agua y producción agroganadera) y culturales alcanzan su máximo en los núcleos habitados. Los servicios de soporte parecen ser mayores en los núcleos restaurados que en el resto de núcleos.

Servicios de regulación

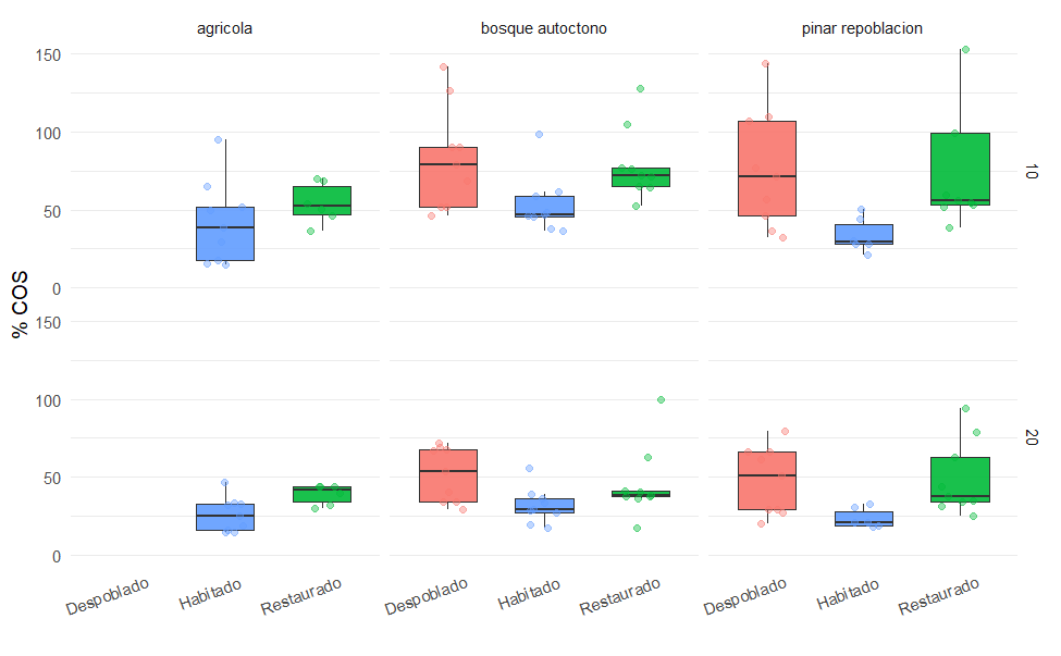
- Calidad del suelo: Los suelos agrícolas de los núcleos restaurados muestran un valor significativamente mayor (p<0.05) en el porcentaje de COS respecto a los habitados (este uso de suelo no existe en los núcleos despoblados). En suelos forestados, la concentración de COS en núcleos despoblados y restaurados es similar, pero en ambos casos mayor que en las localidades habitadas (Fig. 2a), tanto para bosque autóctono como para pinar de repoblación (Ver Anexo III.a). Respecto al fósforo disponible, usado como indicador de ciclado de nutrientes, se han encontrado diferencias significativas (p<0.05) entre provincias, usos del suelo y profundidad (Anexo III.a). En bosque, tanto autóctono como de repoblación, la concentración de P en suelo fue mayor en los núcleos deshabitados que en los habitados en Guadalajara y Navarra, mientras que en Huesca ocurrió lo contrario.

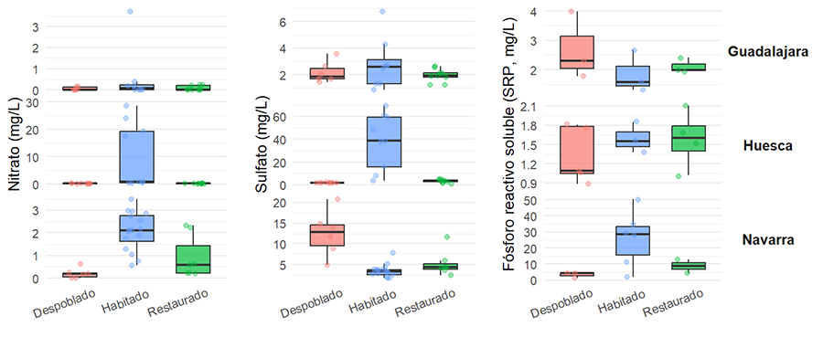
- Calidad del agua: Los resultados revelaron diferencias significativas en la calidad del agua entre los distintos tipos de núcleos rurales (Fig. 2b). Los núcleos habitados presentan concentraciones significativamente mayores de nitratos (Kruskal-Wallis, χ²= 21.61, p<0.001), sulfato (K-W, χ²= 6.27, p=0.04), y cloruro (K-W, χ²= 7.07, p=0.03) en comparación tanto con los núcleos despoblados como con los restaurados (Anexo III.b). Este impacto es especialmente patente en los núcleos habitados de Huesca, donde se dan las mayores concentraciones de nitratos (hasta 30 mg/l) (Anexo III.c). Por tanto, la calidad de las aguas puede considerarse muy buena en núcleos despoblados y restaurados y regular en el caso de los habitados.

- Secuestro y almacenamiento de carbono: Los modelos realizados subrayan que los núcleos de Navarra tienen significativamente más carbono (C) almacenado en sus sistemas que los de Huesca y Guadalajara (ANOVA, p<0.001). No se observaron diferencias significativas entre tipos de núcleos, ni entre años (Fig. 2c; Anexo III.d). En los núcleos habitados, la captación de C ha sido más progresiva, presentando en 2020 valores inferiores a los otros dos grupos, donde se observa que en los años 80 hay menos C acumulado que en el 1956. La evolución de los núcleos despoblados y los restaurados de una misma provincia es muy similar (Anexo III.e). Respecto a la evolución de la captación de C por usos del suelo (Anexo III.f), se observa una disminución y casi desaparición en los núcleos despoblados y restaurados a partir de los años 80, mientras que se mantienen en los habitados. Las repoblaciones forestales, que se inician en los años 80, tienen mayor peso en el stock actual en las localidades despobladas y restauradas, y son responsables de la mayor parte de la captación de C ocurrida en el periodo 1985-2021.

 

 Resultados principales para los servicios de regulación: a) Calidad del suelo (%COS) de 0-20 cm por tipo de localidad y cobertura, diferencias significativas de acuerdo con el test ANOVA (ver Anexo III-A para diferencias por horizonte de suelo), b) Calidad del agua por tipo de núcleo, diferencias significativas de acuerdo con el test Kruskal Wallis y c) Carbono promedio almacenado (kg CO2) por hectárea y tipo de núcleo para los tres períodos analizados. Las diferencias entre tipos de localidades y años no resultaron significativas (ANOVA, p>0.05). La línea horizontal representa la mediana, la caja comprende los valores del rango intercuartil

Figura 2. Resultados principales para los servicios de regulación: a) Calidad del suelo (%COS) de 0-20 cm por tipo de localidad y cobertura, diferencias significativas de acuerdo con el test ANOVA (ver Anexo III-A para diferencias por horizonte de suelo), b) Calidad del agua por tipo de núcleo, diferencias significativas de acuerdo con el test Kruskal Wallis y c) Carbono promedio almacenado (kg CO2) por hectárea y tipo de núcleo para los tres períodos analizados. Las diferencias entre tipos de localidades y años no resultaron significativas (ANOVA, p>0.05). La línea horizontal representa la mediana, la caja comprende los valores del rango intercuartil.

Figure 2. Main results for regulation ecosystem services: a) soil quality (SOC) from 0-20 cm per site and vegetation cover, significant differences are tested with ANOVA (see Anexo III-A for differences between soil layers), b) water quality per type of site, significant differences are tested with Kruskal-Wallis test, and c) carbon storage (kg CO2e) per hectare and type of site for the three studied periods. Differences among years and sites were not significant (ANOVA, p>0.05). The horizontal line represents the median, while the box comprises the interquartile range.

Servicios de soporte

- Fertilidad del suelo: Los resultados muestran que los suelos de zonas despobladas exhiben una biomasa microbiana superior a la de suelos habitados y restaurados (p<0.001, Fig. 3a). Asimismo, los suelos de bosque autóctono presentan una mayor biomasa microbiana en comparación con los suelos agrícolas y de pinares repoblados (p<0.001, Anexo IV.a). En cuanto a las comunidades bacterianas, no se detectaron diferencias significativas en la riqueza de especies, pero sí en la composición entre usos del suelo, destacando que los filos Pseudomonadota y Bacteroidota fueron menos abundantes en suelos agrícolas que en los de bosque, mientras que Actinomycetota y Chloroflexota mostraron una mayor abundancia en los suelos agrícolas. De manera similar, en las comunidades fúngicas tampoco se observaron diferencias en riqueza, aunque sí en composición entre los diferentes usos del suelo. Por ejemplo, el filo Chytridiomycota fue menos abundante en suelos agrícolas, mientras que Basidiomycota y Mucoromycota fueron más comunes en estos últimos en comparación con los suelos de bosque (Anexo IV.a).

- Diversidad de especies y hábitats: Respecto a la diversidad florística, la Fig. 3b muestra que los pinares repoblados de los núcleos restaurados presentan valores de riquezas más altos que los demás tipos de bosque (Anexo IV.b). Por otra parte, el Anexo IV.c muestra que, en general, la diversidad es alta en los núcleos urbanos de todas las zonas estudiadas independientemente del tipo de localidad. Finalmente, el Anexo IV.d muestra que la composición florística en los tres territorios se agrupa por ambientes y no por tipo de localidad, según se observa en el solapamiento de las elipses de confianza del NMDS.

Con relación a la avifauna, se realizaron 2934 observaciones de aves, existiendo diferencias significativas en la riqueza de especies entre los 3 tipos de núcleos (estimate 0.212±0.090, z=2.348, p=0.018, Fig. 3c), sin influencia de la provincia (p=0.426) o de la hora del muestreo (p=0.128). Específicamente, la riqueza de especies de aves resultó menor en los núcleos despoblados (2.95±0.20, media ± SE), intermedia en los núcleos habitados (3.57±0.24) y alcanzando su máximo en los núcleos restaurados (4.05±0.25) (ver listado de especies en Anexo IV.e).

Respecto a la diversidad de hábitats, el análisis del índice de Shannon realizado para cada periodo temporal por localidades, revela una tendencia general de disminución de la diversidad en los años 80 y una recuperación parcial o total hasta el periodo actual, a excepción de las localidades despobladas que muestran un valor bajo constante tras dicha caída (Fig. 3d; Anexo IV.f). Las localidades restauradas muestran valores mayores durante todo el periodo analizado (p=0.09).

 

Resultados principales para los servicios de soporte: a) Biomasa microbiana, b) Riqueza de plantas por parcela (Abreviaturas: Desp: despoblado; Hab: habitado; Rest: restaurado) (tamaño de las parcelas: urbano-4m2; bosques-400m2), c) Riqueza de aves y, d) Evolución de la diversidad del paisaje (índice de Shannon) por tipo de localidad. La línea horizontal representa la mediana, la caja comprende los valores del rango intercuartil.

Figura 3. Resultados principales para los servicios de soporte: a) Biomasa microbiana, b) Riqueza de plantas por parcela (Abreviaturas: Desp: despoblado; Hab: habitado; Rest: restaurado) (tamaño de las parcelas: urbano-4m2; bosques-400m2), c) Riqueza de aves y, d) Evolución de la diversidad del paisaje (índice de Shannon) por tipo de localidad. La línea horizontal representa la mediana, la caja comprende los valores del rango intercuartil.

Figure 3. Main results for supporting ecosystem services: a) Microbial biomass, b) Plant richness per plot (abbreviations: Desp: depopulated; Hab: inhabited; Rest: restored) (plot size: urban-4 m2; forested areas-400 m2), c) Bird richness and d) Evolution of landscape diversity (Shannon index) by type of site. The horizontal line represents the median, while the box comprises the interquartile range.

Servicios de abastecimiento

- Producción agroganadera: Las zonas estudiadas se caracterizan por elevados porcentajes de usos forestales seguidos por pastos (Fig. 4a), con poco potencial agrícola, apareciendo cultivos de cereal solamente en los núcleos habitados (<4 % de la superficie total). De las 19 412 ha analizadas, solo 295 están catalogadas como tierras arables, siendo terrenos más propicios para el desarrollo de la ganadería extensiva. Los núcleos habitados tienen una distribución de usos diferente de los otros dos tipos: en los habitados, el 49 % es forestal, y el 38 % son pastos, en su mayoría arbustivos y siendo más frecuentes los pastos herbáceos que los arbolados. En los núcleos despoblados y restaurados, el uso forestal está próximo al 75 % y el de los pastos al 20 % (arbustivo y arbóreo), siendo estos últimos más frecuentes en los núcleos despoblados. En los núcleos habitados hay 8 explotaciones ganaderas activas (1 en Aragón, 4 en Navarra y 3 en Guadalajara), ninguna en los despoblados y 3 en los restaurados (1 en Aragón, 2 en Navarra). El número total de UGM en las 8 explotaciones de los núcleos habitados fue 649 (Anexo V.a) en 2737 ha de cultivos y pastos, resultando en una carga ganadera de 0.24 UGM/ha. Las tres explotaciones ganaderas activas en los núcleos restaurados alojan 42 UGM en 1409 ha de cultivos y pastos, resultando en 0.03 UGM/ha.

 -Provisión de agua: El modelo de Zhang (Fig. 4b; Anexo V.b) muestran una disminución no significativa de la provisión de agua azul entre 1956-2020. Actualmente, la provisión de agua sería similar entre tipos de núcleos (habitados 38.1 % de la precipitación anual, repoblados 36.3 %, despoblados 35.5 %). La aproximación empírica mostró curvas de infiltración opuestas entre suelos agrícolas y forestales (Anexo V.c). Mientras que el comportamiento en suelos agrícolas se corresponde a la clásica forma «cóncava a lineal» donde la tasa de infiltración disminuye inicialmente de forma monótona para luego estabilizarse, las curvas en suelos forestales secos mostraron una forma convexa, lo que indica un retardo (que va desde minutos a varias horas, incluso días) en la infiltración (Pachepsky y Karahan, 2022) que varió en función del tipo de vegetación dominante, y que puede atribuirse a fenómenos de hidrofobicidad producidos por la materia orgánica en descomposición (Moret-Fernández y Latorre, 2023). La conductividad hidráulica saturada en suelos forestales fue, en general, superior a la de los suelos agrícolas.

 

a) Porcentaje medio de superficie para los distintos usos del suelo según el tipo de núcleo rural. b) Magnitud de agua azul (en porcentaje de la precipitación anual) en los tres tipos de población para cada periodo de estudio. Las diferencias entre núcleos y años no fueron significativas

Figura 4. a) Porcentaje medio de superficie para los distintos usos del suelo según el tipo de núcleo rural. b) Magnitud de agua azul (en porcentaje de la precipitación anual) en los tres tipos de población para cada periodo de estudio. Las diferencias entre núcleos y años no fueron significativas.

Figure 4. a) Average percentage of land surface for different land uses per site. b) Magnitude of blue water (as a percentage of annual precipitation) per locality for each period. Differences among types and years were not significant.

 

Servicios culturales

- Valor cultural: Los resultados de los 6 indicadores muestran una gran variabilidad en función del tipo de núcleo rural (Fig. 5; Anexo VI.a, b). Los tests realizados (Anexo VI.c, d) indican que tanto los núcleos habitados como los restaurados proporcionan significativamente más servicios culturales que los núcleos despoblados (p<0.001), y que las diferencias entre núcleos habitados y restaurados no son significativas (Anexo VI.d). Destaca la contribución de ambos tipos de núcleos a las actividades recreativas de senderismo y los lugares de interés local. Los servicios culturales de las localidades despobladas se limitan a oportunidades para rutas senderistas (Anexo VI.a).

 

Resumen de la provisión de los distintos tipos de servicios ecosistémicos estudiados en áreas rurales despobladas, restauradas y permanentemente habitadas. Las diferencias mostradas son significativas (p<0.05), excepto para la producción agroganadera que, aunque presenta grandes diferencias, el bajo tamaño muestral no permite la realización de análisis para determinar su significación. El fósforo (P) presentó una alta variabilidad entre muestras

Figura 5. Distribución de servicios culturales (valor recreativo: kilómetros de rutas de senderismo o BTT señalizadas; espacios para el ocio: número de merenderos; fuentes o manantiales: número; valor educativo: número de paneles o carteles con información sobre el valor cultural o ambiental del lugar; publicaciones: número de libros o documentales publicados sobre el lugar; lugares de interés local: número de lugares con valor cultural, religioso o espiritual para los habitantes del lugar) por tipo de núcleo. La línea horizontal representa la mediana, la caja comprende los valores del rango intercuartil.

Figure 5. Cultural ecosystem services distribution (recreational value: kilometres of marked hiking or mountain biking trails; leisure areas: number of picnic areas; fountains or springs: number; educational value: number of panels or posters with information on the cultural or environmental value of the place; publications: number of books or documentaries published about the place; places of local interest: number of places with cultural, religious or spiritual value for local residents) by type of site. The horizontal line represents the median, while the box comprises the interquartile range.

Discusión

Este trabajo aporta las primeras evidencias de que la repoblación y restauración de núcleos abandonados permite fijar población y repercute positivamente en el desarrollo ambiental y social sostenible de las zonas montañosas despobladas, evaluando sus efectos en un amplio rango de SE de abastecimiento, regulación, soporte y culturales (Tabla 2).

Los resultados muestran que la despoblación de las áreas rurales de montaña produce una reducción de servicios de abastecimiento como la producción agroganadera, asociada a una disminución generalizada del régimen de intervención humana sobre el territorio (Bruno et al., 2021; Lloret et al., 2024). Esto ha resultado en una sucesión secundaria donde arbustos y árboles han ido recolonizando las tierras anteriormente ocupadas por pastos (Malandra et al., 2019), derivando en un aumento de los servicios de regulación y soporte (calidad del agua y suelo, fertilidad). Tal y como hemos observado en este estudio, esta disminución del impacto antrópico no parece beneficiar directamente a la biodiversidad, ya que precisamente los núcleos deshabitados muestran una menor diversidad de paisajes, así como menor riqueza de aves y de plantas. Por lo tanto, el rápido aumento de la cobertura forestal se traduce no solo en una pérdida de recursos forrajeros, sino también en una homogeneización del paisaje y disminución de la biodiversidad (Agnoletti, 2007). Esto puede plantear importantes retos a los crecientes esfuerzos de renaturalización (rewilding), recalcando la importancia de evitar la homogeneización del paisaje. La despoblación rural está también relacionada con la plantación de especies forestales (mayormente pinos), principalmente para evitar la erosión del suelo y garantizar la producción de madera en periodos de aislamiento político. Todos estos cambios han tenido un impacto significativo en los procesos ecohidrológicos del suelo. El aumento de las masas forestales aumenta la evapotranspiración y reduce el caudal de agua azul que alimenta los ríos en beneficio del agua verde (aquella retenida en el suelo y la vegetación), con importantes consecuencias en el abastecimiento de las tierras bajas (García-Ruiz y Lana-Renault, 2011; Beguería et al., 2003). Finalmente, los núcleos deshabitados muestran una pérdida de su valor cultural, desapareciendo numerosas referencias culturales propias, como fuentes, merenderos o lugares de especial interés local, así como el conocimiento asociado a los mismos, en un proceso general de erosión de la diversidad biocultural (Agnoletti y Rotherham, 2015).

Los pueblos restaurados se sitúan en general, en una situación intermedia entre los núcleos permanentemente habitados y los despoblados, con una buena capacidad de proporcionar servicios de todo tipo (especialmente soportar la diversidad de plantas, aves y hábitats, la regulación del clima y de la calidad del suelo). Este resultado puede deberse a la escasez de grandes explotaciones agroforestales y al moderado impacto sobre el entorno que ejercen las actividades económicas actuales de sus nuevos moradores, ligado al tipo de construcción utilizada y sus valores éticos y ambientales (Vizuete et al., 2024). Además, al contrario que en los núcleos permanentemente habitados, los terrenos no son de propiedad privada, sino que pertenecen a la administración pública correspondiente (terrenos públicos cedidos para su uso) o son propiedad comunal del concejo. Por lo tanto, las autorizaciones y concesiones renovables, la ausencia de propiedad sobre la tierra, las restricciones ambientales y de protección, y la burocracia compleja para cualquier intervención significativa (cambios de uso del suelo, nuevas construcciones, actividades productivas) pueden estar limitando la capacidad de los nuevos pobladores de intervenir en el territorio.

Por su parte, los núcleos permanentemente habitados aportan los mayores valores de servicios de abastecimiento (producción agrogranadera), buena provisión de servicios culturales, fertilidad del suelo, diversidad de aves y hábitats, y una provisión baja de servicios de regulación del clima, calidad del agua, calidad del suelo y diversidad de plantas.

Tabla 2. Resumen de la provisión de los distintos tipos de servicios ecosistémicos estudiados en áreas rurales despobladas, restauradas y permanentemente habitadas. Las diferencias mostradas son significativas (p<0.05), excepto para la producción agroganadera que, aunque presenta grandes diferencias, el bajo tamaño muestral no permite la realización de análisis para determinar su significación. El fósforo (P) presentó una alta variabilidad entre muestras.

Table 2. Summary of the provision of different types of ecosystem services studied in depopulated, restored, and permanently inhabited rural areas. The differences shown were significant (p<0.05), except for farming, which showed large differences, but the small sample size does not allow for analysis to determine its significance. Phosphorous (P) showed high variability between samples.

Resumen de la provisión de los distintos tipos de servicios ecosistémicos estudiados en áreas rurales despobladas, restauradas y permanentemente habitadas. Las diferencias mostradas son significativas (p<0.05), excepto para la producción agroganadera que, aunque presenta grandes diferencias, el bajo tamaño muestral no permite la realización de análisis para determinar su significación. El fósforo (P) presentó una alta variabilidad entre muestras

Servicios de regulación: calidad del agua, suelo y clima

El impacto de la repoblación de núcleos despoblados en la regulación del clima, la calidad del agua y del suelo parece ser mínimo en todas las áreas geográficas estudiadas, lo que puede deberse a los usos del suelo extensivos dominantes y al bajo tamaño poblacional de los núcleos repoblados. Nuestros resultados confirman parcialmente nuestras hipótesis iniciales (Tabla 1), mostrando diferencias puntuales en la calidad del suelo y del agua como en el caso del nitrato, sulfato y cloruro, cuyos valores fueron significativamente más altos en las zonas que siempre han estado habitadas, reflejando la actividad agroganadera y el impacto humano en estas zonas. En cualquier caso, los usos del suelo extensivos y el impacto moderado de la actividad humana en áreas rurales puede producir algunos niveles de contaminación, aunque mucho menores que los usos de suelo intensivo de otras zonas más urbanas (Lloret et al., 2024).

 Algo similar sucede con la regulación del clima. En todas las zonas geográficas se partía (1956) de valores similares de secuestros de carbono, en general inferiores a las actuales por estar antiguamente los sistemas naturales más explotados (mayor presencia de cultivos y menor desarrollo de masas boscosas). Las repoblaciones forestales, y el hecho de que los nuevos pobladores no hayan intervenido en la gestión de la mayor parte del territorio (que gestiona la Administración) hace que tanto en pueblos restaurados como en los despoblados haya un gran repunte de la captación de C en el periodo 1985-2021, superando los valores de los pueblos habitados, que han llevado una evolución mucho más lineal y paulatina, fruto de los menores cambios de uso de suelo.

Servicios de soporte: fertilidad del suelo y diversidad de especies y hábitats

Los núcleos restaurados mostraron una mayor diversidad vegetal, paisajística y de hábitat, que redundó en una mayor riqueza de aves, seguida de los núcleos habitados y en detrimento de los núcleos despoblados que presentaron los valores más bajos de diversidad de hábitats y aves, pero los más altos de diversidad microbiana. Los patrones observados parecen estar definidos por los cambios en los usos del suelo. Las localidades habitadas permanentemente han mantenido cultivos y pastos, mientras que las localidades despobladas han visto desaparecer estos usos por completo. Las localidades restauradas presentan un pequeño porcentaje de agricultura y ganadería de subsistencia, pero su paisaje, similar al de las despobladas, está dominado por la reforestación y la sucesión ecológica, sugiriendo que una gestión humana moderada fomenta la diversidad paisajística (Guadilla-Sáez et al., 2019).

La composición florística difiere principalmente por tipo de ambiente y no por tipo de núcleo. Los núcleos urbanos muestran alta riqueza de especies vegetales ruderales, mientras que en los despoblados disminuyen las ruderales y aumentan las leñosas, indicando una progresiva forestación. En núcleos restaurados con población consolidada (ej. Lacabe, Aineto) se observan prácticas que parecen favorecer la diversidad vegetal. Se podría pensar que las áreas reforestadas son, por definición, más pobres en especies vegetales que los bosques autóctonos (Proença et al., 2010), pero esta situación no coincide con nuestros resultados. De hecho, en los pueblos restaurados, la diversidad de plantas en los pinares de repoblación fue superior a la encontrada en los bosques autóctonos. Esto puede explicarse por la ubicación de dichas repoblaciones forestales en antiguas zonas de pastos y matorrales, manteniéndose la presencia de especies indicadoras de este tipo de comunidades, a pesar del tiempo transcurrido tras la repoblación. Es decir, la reforestación masiva de las zonas en su día despobladas aún conserva el legado vegetal (y con él, la diversidad) de las comunidades previas establecidas con el uso ganadero tradicional.

Asociada a esta mayor diversidad paisajística, vegetal y de hábitats, las áreas repobladas presentan mayor diversidad de aves que los núcleos despoblados, donde la homogeneización del paisaje y la pérdida de actividades agropecuarias reducen la diversidad de hábitats y nichos ecológicos disponibles para las aves (Zakkak et al., 2015).

Finalmente, los resultados sugieren que los cambios en el uso del suelo, especialmente la conversión de bosques autóctonos en terrenos agrícolas o pinares repoblados, pueden afectar negativamente a la fertilidad del suelo al reducir la biomasa microbiana y alterar la composición de las comunidades bacterianas y fúngicas, sin cambiar necesariamente su riqueza. Una menor biomasa microbiana implica una reducción en la actividad biológica del suelo (Bünemann et al., 2018) y una ralentización de procesos clave como la descomposición de materia orgánica y el reciclado de nutrientes esenciales como el nitrógeno y el fósforo. Además, el reemplazo de filos microbianos típicos de suelos forestales por otros asociados a ambientes agrícolas más perturbados podría indicar un empobrecimiento funcional (Reed y Martiny, 2007), afectando la resiliencia del suelo y su capacidad para sostener cultivos a largo plazo.

Servicios de abastecimiento: producción agroganadera y de agua

La producción agroganadera de los núcleos restaurados, siendo mayor que la de los núcleos despoblados, es inferior a la de los núcleos habitados. Los altos porcentajes de uso forestal y pastos y baja proporción de terrenos cultivados en torno a los núcleos habitados, indican un medio productivo adecuado para la ganadería extensiva. Entendemos por extensiva aquella que aprovecha los recursos naturales del territorio, con una baja utilización de insumos externos y principalmente mediante pastoreo, y que en general se caracteriza por el empleo de especies y razas de ganado adaptadas al territorio, el aprovechamiento de pastos diversos ajustándose a su disponibilidad espacial y temporal, y el respeto del medio en el que se sustenta (Ruiz et al., 2017). Nuestros valores están muy por debajo del límite máximo de carga ganadera utilizado para diferenciar entre este tipo de ganadería frente a otras más intensivas (1.5 UGM/ha; Ruiz et al., 2017).

Respecto a la cantidad de agua, se ha registrado una disminución leve (no significativa) generalizada de su provisión (-5.49 %) desde la década de 1950, que podría estar asociada al incremento de la cobertura forestal y de matorral tras el despoblamiento rural y los cambios de usos del suelo ocurridos, que favorecen la infiltración y retención de agua. Se trata de un fenómeno bien conocido, que ha sido caracterizado en la cuenca del Ebro (López-Moreno et al., 2011) y a nivel europeo (García-Ruiz y Lana-Renault, 2011). Aunque sin significación estadística, se observa menor descenso en los núcleos habitados (-4.06 %). El reducido tamaño muestral limita la identificación de tendencias robustas, pero el patrón concuerda con la mayor actividad en el sector primario (agricultura, ganadería, aprovechamientos forestales, etc.) que reduce la cobertura forestal y de matorral, lo que disminuye la transpiración vegetal (agua verde), favoreciendo la generación de escorrentía (agua azul), mientras que en los núcleos restaurados existe una menor intervención en el paisaje debida a restricciones administrativas y a una economía principalmente basada en servicios. Estos resultados muestran las limitaciones que tienen los modelos de poblamiento rural para transformar el paisaje homogéneo y uniforme post-abandono en un paisaje en mosaico (García-Ruiz et al., 2020), ambientalmente más atractivo, diverso y heterogéneo (Farina, 2007; Plieninger et al., 2014; Álvarez-Martínez et al., 2015).

Servicios culturales

Considerando todos los indicadores del valor cultural en conjunto, se observaron diferencias entre núcleos despoblados y habitados o restaurados; sin embargo, dejan de ser significativas cuando se comparan los indicadores individualmente, posiblemente debido al bajo tamaño muestral y a la dificultad de recopilar información de los núcleos despoblados. Los cambios en los usos del suelo impactan directamente en la sociedad, lo que puede implicar cambios en el valor cultural (Pérez-Ramírez et al., 2023) y, por tanto, aumentar el desapego o desarraigo y la pérdida de interés en el mantenimiento de servicios culturales en los núcleos despoblados (Quintas-Soriano et al., 2023). Esta situación también puede entenderse utilizando el enfoque de la co-producción de servicios (Palomo et al., 2016), que considera la contribución del ser humano en la provisión de servicios. Los servicios culturales suelen requerir un alto grado de co-producción (Kachler et al., 2023), lo que puede explicar cómo en los núcleos despoblados, al prácticamente carecer de contribuciones antrópicas, proporcionan servicios culturales en menor magnitud. Otros estudios han mostrado que los núcleos urbanos más diversos tienen mayor potencial para albergar servicios culturales (Cao et al., 2025), por lo tanto, los núcleos habitados y restaurados podrían estar favorecidos a este respecto frente a los despoblados, ya que cuentan con mayor diversidad de paisaje y hábitats.

A tenor de lo observado, la repoblación y restauración de pueblos deshabitados ofrece una valiosa oportunidad para abordar simultáneamente el reto demográfico y la conservación de los recursos naturales, en el marco de una transición ecológica en la que el mundo rural debe tener un papel clave, dado que ocupa el 84 % del territorio nacional pero solo aloja al 15.9 % de población (MAPA, 2021). Los patrones y tendencias observados en los SE, aunque con bajo tamaño muestral, suponen una caracterización preliminar de los efectos de este fenómeno, que puede apoyar la construcción de nuevos enfoques y soluciones eco-sociales y ecoeficientes para una gestión del territorio y una transición ecológica exitosa, justa y sostenible, que ayuden a atenuar la situación crítica de despoblación en la España rural, preservando tanto el capital natural como el humano.

Los SE constituyen el nexo tangible entre la estructura y función de los ecosistemas y el bienestar humano (MEA, 2005). La comparación de la provisión de SE entre áreas restauradas y no restauradas nos permite cuantificar el impacto de los proyectos de repoblación rural, ofreciendo una visión del retorno socioecológico de la inversión en restauración. Una vez establecido este conocimiento de base, y en línea con el Plan Español de Recuperación, Transformación y Resiliencia, urge avanzar en la cuantificación precisa de los costes y beneficios (sociales y ecológicos) asociados a una repoblación humana moderada del territorio. Una vez cuantificados, podrían plantearse proyectos de restauración socioecológica basados no solo en la evidencia científica recabada, sino también a través de técnicas de evaluación y co-diseño participativo de escenarios en colaboración con los agentes sociales locales e incluyendo el conocimiento ecológico local.

Finalmente, es necesario que desde los distintos niveles de la administración se proporcionen facilidades y herramientas que permitan fijar población y preservar ecosistemas saludables. Entre ellas, la cesión de uso de núcleos rurales abandonados a colectivos que busquen reconstruirlos y repoblarlos fijando población de manera sostenible. Los tres ejemplos que se muestran se han llevado gracias a la voluntad política y social, sin partidas económicas específicas de la administración. Además, se podrían proponer políticas públicas que apoyen con instrumentos económicos a los nuevos pobladores para intentar conciliar el sector primario (uso agrícola, ganadero, silvicultura, construcción), terciario (sector servicios), la conservación de la naturaleza y la restauración ecológica (Rey-Benayas et al., 2007), para lograr así ecosistemas multifuncionales, es decir, que ofrezcan una provisión equilibrada de servicios ecosistémicos de abastecimiento, soporte, regulación y culturales en las áreas rurales, y especialmente en los núcleos repoblados o en vías de repoblación de la España vaciada.

Conclusiones

Nuestros hallazgos confirman que la despoblación conduce a un aumento de los servicios de regulación (calidad del agua y suelo) y, en cierta medida, de soporte (formación de suelo y fertilidad), pero a costa de una pérdida de servicios de abastecimiento (producción agroganadera) y, sobre todo, culturales, junto con una homogeneización del paisaje que puede mermar la diversidad de hábitats y especies (soporte). Frente a esto, la repoblación de núcleos rurales abandonados emerge no solo como una estrategia para revertir o mitigar el declive demográfico, sino como una oportunidad para configurar paisajes sostenibles y multifuncionales. Aunque su esquema de provisión de SE se asemeja más al de los despoblados (probablemente debido a su relativa reciente restauración y al bajo impacto de las actividades de sus habitantes), los núcleos restaurados estudiados mostraron una capacidad notable para conjugar e incluso aumentar las ventajas de ambas situaciones: mantienen niveles elevados de servicios de regulación y soporte (particularmente en diversidad de aves y hábitats), al tiempo que recuperan de manera significativa los servicios culturales y, en menor medida, algunos de abastecimiento. Por lo tanto, estos resultados sugieren que una presencia humana moderada, basada en modelos de bajo impacto y a menudo vinculada a la custodia del territorio, puede frenar la homogeneización paisajística post-abandono y promover una mayor biodiversidad, clave para la resiliencia ecosistémica en un contexto de cambio global.

Finalmente, la repoblación de la "España vaciada" no debe verse como un simple retorno al pasado, sino como una oportunidad para construir nuevos socio-ecosistemas, superando enfoques puramente ecológicos y sociales, e incorporando el conocimiento científico, el saber local y una gobernanza innovadora que permita conciliar la habitabilidad, la productividad sostenible y la conservación de la naturaleza. Los paisajes restaurados, lejos de ser meras réplicas de estados históricos, pueden convertirse en arquetipos de territorios resilientes, diversos y vivos, que ofrezcan un balance óptimo de beneficios ecosistémicos y sociales a la sociedad en su conjunto. Este estudio proporciona la base empírica inicial para transitar hacia ese objetivo, destacando el papel clave que las comunidades rurales revitalizadas pueden desempeñar en la necesaria y urgente transición ecológica.

Contribución de autores

Conceptualización: JJJ; MRFL; SP; DB; BG. Obtención y curado de datos: MRFL; BG; SP; LA; PB; AB; GB; UCG; CC; RCG; PE; OF; JMI; JMP; CMM; DMF; JMN; APL; AP; BPV; RR; MSC; PT; AV; JJJ. Análisis formal: DB; MRFL; BG; SP; PB; RCG; JMP; DMF; JMN; RR; JJJ. Financiación: JJJ; SP. Escritura – borrador original: DB; MRFL; BG; PT; SP; JMP; DMF; JMN; RR; JJJ. Escritura – revisión y edición: DB; MRFL; BG; SP; PT.

Disponibilidad de datos y código

Los datos de base de este artículo están disponibles bajo petición a los autores del trabajo.

Financiación, permisos requeridos, potenciales conflictos de interés y agradecimientos

Esta publicación es parte del proyecto RENURSE (Efecto de la REstauración de NÚcleos Rurales abandonados sobre los Servicios Ecosistémicos: hacia una transición ecológica sostenible del medio rural; TED2021-132406B-I00), financiado por MCIN/AEI/10.13039/501100011033 y por la Unión Europea “NextGenerationEU”/PRTR. Los contratos de MFL y CC fueron financiados parcialmente por las subvenciones RYC2021-032828-I y RYC2021-033977-I, respectivamente, de MCIN/AEI/10.13039/501100011033 y por el programa “NextGenerationEU”/PRTR de la Unión Europea.

Los autores/as declaran no tener ningún conflicto de intereses.

Agradecemos el apoyo del Herbario JACA y los servicios científico-técnicos de los diferentes centros del CSIC (IPE, IRNASA, EEAD) y a todas las personas que han participado en los talleres de presentación del proyecto.

Referencias

Agnoletti, M. (2007). The degradation of traditional landscape in a mountain area of Tuscany during the 19th and 20th centuries: Implications for biodiversity and sustainable management. Forest Ecology and Management, 249(1-2), 5–17. https://doi.org/10.1016/j.foreco.2007.05.032

Agnoletti, M., & Rotherham, I. D. (2015). Landscape and biocultural diversity. Biodiversity and Conservation, 24(13), 3155-3165. https://doi.org/10.1007/s10531-015-1003-8

Álvarez Martínez, J., Errea Abad, M. P., Gómez-Villar, A., & Lasanta, T. (2015). Restauración del paisaje de la montaña española con ganadería: Un ensayo en la Cordillera Cantábrica combinando pastoreo de caprino y poda de matorrales. Pirineos, 170, e008. https://doi.org/10.3989/Pirineos.2015.170001

Aronson, J., Goodwin, N., Orlando, L., Eisenberg, C., & Cross, A. T. (2020). A world of possibilities: six restoration strategies to support the United Nation's Decade on Ecosystem Restoration. Restoration Ecology, 28(4), 730-736. https://doi.org/10.1111/rec.13170

Barandica, J. M., Delgado, J. A., Berzosa, Á., Fernández-Sánchez, G., Serrano, J. M., & Zorrilla, J. M. (2014). Estimation of CO2 emissions in the life cycle of roads through the disruption and restoration of environmental systems. Ecological Engineering, 71, 154–164. https://doi.org/10.1016/j.ecoleng.2014.07.009

Beguería, S., López-Moreno, J. I., Lorente, E., & García-Ruiz, J. M. (2003). Assessing the effect of climate oscillations and land-use changes on streamflow in the central Spanish Pyrenees. Journal of the Human Environment, 32(4), 283–286. https://doi.org/10.1579/0044-7447-32.4.283

Bruno, D., Sorando, R., Álvarez-Farizo, B., Castellano, C., Céspedes, V., Gallardo, B., … Comín, F. A. (2021). Depopulation impacts on ecosystem services in Mediterranean rural areas. Ecosystem Services, 52, 101369. https://doi.org/10.1016/j.ecoser.2021.101369

Bünemann, E. K., Bongiorno, G., Bai, Z., Creamer, R. E., De Deyn, G., de Goede, R., … Brussaard, L. (2018). Soil quality – A critical review. Soil Biology and Biochemistry, 120, 105–125. https://doi.org/10.1016/j.soilbio.2018.01.030

Bürgi, M., Bieling, C., von Hackwitz, K., Kizos, T., Lieskovský, J., Martín, M. G., ... & Printsmann, A. (2017). Processes and driving forces in changing cultural landscapes across Europe. Landscape Ecology, 32(11), 2097-2112. https://doi.org/10.1007/s10980-017-0513-z

Burillo-Cuadrado, M. P., Rubio-Terrado, P., & Burillo-Mozota, F. (2019). Estrategias frente a la despoblación de la Serranía Celtibérica en el marco de la política de cohesión europea 2021–2027. Economía Agraria y Recursos Naturales-Agricultural and Resource Economics, 19(1), 83–97. https://doi.org/10.7201/earn.2019.01.05

Buyer, J. S., & Sasser, M. (2012). High throughput phospholipid fatty acid analysis of soils. Applied Soil Ecology, 61, 127–130. https://doi.org/10.1016/j.apsoil.2012.06.005

Cao, H., Miguez, N. G., Mason, B. M., Callaghan, C. T., & Qiu, J. (2025). Spatial patterns and interactions among multiple cultural ecosystem services across urban greenspaces. Ecosystem Services, 73, 101740. https://doi.org/10.1016/j.ecoser.2025.101740

Costanza, R., d'Arge, R., De Groot, R., Farber, S., Grasso, M., Hannon, B., … Van Den Belt, M. (1997). The value of the world's ecosystem services and natural capital. Nature, 387(6630), 253–260. https://doi.org/10.1038/387253a0

CuadradoRoura, J. R. (2023). Population imbalances in Europe. Urban concentration versus rural depopulation. Regional Science Policy & Practice, 15(4), 713–716. https://doi.org/10.1111/rsp3.12670

Delgado-Artés, R., Garófano-Gómez, V., Oliver-Villanueva, J. V., & Rojas-Briales, E. (2022). Land use/cover change analysis in the Mediterranean region: a regional case study of forest evolution in Castelló (Spain) over 50 years. Land Use Policy, 114, 105967. https://doi.org/10.1016/j.landusepol.2021.105967

Eyherabide, M., Saínz Rozas, H., Barbieri, P., & Echeverría, H. E. (2014). Comparación de métodos para determinar carbono orgánico en suelo. Ciencia del Suelo, 32(1), 13-19.

Eurostat. (2024). Urban-rural Europe - demographic developments in rural regions and areas. European Commission. https://ec.europa.eu/eurostat/statistics-explained/index.php?title=Urban-rural_Europe_-_demographic_developments_in_rural_regions_and_areas

Farina, A. (2007). Principles and methods of landscape ecology towards a science of the landscape (2nd ed.). Springer-Verlag.

FernándezManjarrés, J. F., Roturier, S., & Bilhaut, A. G. (2018). The emergence of the socialecological restoration concept. Restoration Ecology, 26(3), 404-410. https://doi.org/10.1111/rec.12685

Fischer, J., Riechers, M., Loos, J., Martin-Lopez, B., & Temperton, V. M. (2021). Making the UN decade on ecosystem restoration a social-ecological endeavour. Trends in Ecology & Evolution, 36(1), 20-28. https://doi.org/10.1016/j.tree.2020.08.018

Gallego, D., Germán, L., & Pinilla, V. (1992). Crecimiento económico, especialización productiva y disparidades internas en el Valle Medio del Ebro, 1800-1935: un ensayo. Cuadernos Aragoneses de Economía, 3, 277–319.

García-Ruiz, J. M., & Lana-Renault, N. (2011). Hydrological and erosive consequences of farmland abandonment in Europe, with special reference to the Mediterranean region–A review. Agriculture, Ecosystems & Environment, 140(3-4), 317–338. https://doi.org/10.1016/j.agee.2011.01.003

García-Ruiz, J. M., Lasanta, T., Nadal-Romero, E., Lana-Renault, N., & Álvarez-Farizo, B. (2020). Rewilding and restoring cultural landscapes in Mediterranean mountains: Opportunities and challenges. Land Use Policy, 99, 104850. https://doi.org/10.1016/j.landusepol.2020.104850

Gómez-Valenzuela, V., & Holl, A. (2024). Growth and decline in rural Spain: An exploratory analysis. European Planning Studies, 32(2), 430–453. https://doi.org/10.1080/09654313.2023.2179390

Guadilla-Sáez, S., Pardo-de-Santayana, M., & Reyes-García, V. (2019). The role of traditional management practices in shaping a diverse habitat mosaic in a mountain region of Northern Spain. Land Use Policy, 89, 104235. https://doi.org/10.1016/j.landusepol.2019.104235

Heath, L. S., Birdsey, R. A., & Williams, D. W. (2002). Methodology for estimating soil carbon for the forest carbon budget model of the United States, 2001. Environmental Pollution, 116(3), 373–380. https://doi.org/10.1016/S0269-7491(01)00213-5

Higgs, E., Falk, D. A., Guerrini, A., Hall, M., Harris, J., Hobbs, R. J., ... & Throop, W. (2014). The changing role of history in restoration ecology. Frontiers in Ecology and the Environment, 12(9), 499-506. https://doi.org/10.1890/110267

Hobbs, R. J., & Suding, K. N. (2009). New models for ecosystem dynamics and restoration. Society for Ecological Restoration International, Island Press. Washington, DC. USA.

IGN-CNIG (1957). Vuelo Americano (Serie B, 1956-1957). Web Map Service. Serie Histórica de Ortofotografías Del PNOA. IGN-CNIG, 1957. 1:32.000. https://pnoa.ign.es/web/portal/pnoa-imagen/fotogramas-y-ortofotos-historicas.

IGN-CNIG (1986). Vuelo Nacional (1980-1986). Fotogramás digitalizados. Serie Histórica de Ortofotografías Del PNOA. IGN-CNIG, 1986. 1:30.000. https://pnoa.ign.es/web/portal/pnoa-imagen/fotogramas-y-ortofotos-historicas

IGN-CNIG (2014). Sistema de Información de Ocupación Del Suelo de España (SIOSE). Ministerio de Transportes, Movilidad y Agenda Urbana 1:25.000. http://www.siose.es.

IGN-CNIG (2021). PNOA Máxima Actualidad. Web Map Service. Serie Ortofotografías de Máxima Actualidad Del PNOA. IGN-CNIG, 2021. 1:10.000. https://pnoa.ign.es/web/portal/pnoa-imagen/ortofotos-pnoa-maxima-actualidad.

Kachler, J., Isaac, R., Martín-López, B., Bonn, A., & Felipe-Lucia, M. R. (2023). Co-Production of Nature’s Contributions to People: What Evidence is Out There? People and Nature, 5(4), 1119–1134. https://doi.org/10.1002/pan3.10493

Lasanta, T., Nadal-Romero, E., & Arnáez, J. (2015). Managing abandoned farmland to control the impact of re-vegetation on the environment. The state of the art in Europe. Environmental Science & Policy, 52, 99–109. https://doi.org/10.1016/j.envsci.2015.05.012

Lasanta, T., Arnáez, J., Pascual, N., Ruiz-Flaño, P., Errea, M. P., & Lana-Renault, N. (2017). Space–time process and drivers of land abandonment in Europe. Catena, 149, 810–823. https://doi.org/10.1016/j.catena.2016.02.024

Latorre, B., Moret-Fernández, D., Lyons, M. N., & Palacio, S. (2021). Smartphone-based tension disc infiltrometer for soil hydraulic characterization. Journal of Hydrology, 600, 126551. https://doi.org/10.1016/j.jhydrol.2021.126551

López-Moreno, J. I., Vicente-Serrano, S. M., Moran-Tejeda, E., Zabalza, J., Lorenzo-Lacruz, J., & García-Ruiz, J. M. (2011). Impact of climate evolution and land use changes on water yield in the Ebro basin. Hydrology and Earth System Sciences, 15(1), 311–322. https://doi.org/10.5194/hess-15-311-2011

Lloret, F., Escudero, A., Lloret, J., & Valladares, F. (2024). An ecological perspective for analysing rural depopulation and abandonment. People and Nature, 6(2), 490–506. https://doi.org/10.1002/pan3.10606

Malandra, F., Vitali, A., Urbinati, C., Weisberg, P. J., & Garbarino, M. (2019). Patterns and drivers of forest landscape change in the Apennines range, Italy. Regional Environmental Change, 19(7), 1973–1985. https://doi.org/10.1007/s10113-019-01531-6

Marín Gavín, S., Navarro Planas, A., SONEA Ingeniería y Medio Ambiente, Lasaosa Susin, R., Ortega Martínez, M., & Sarasa Giménez, R. (2017). Pueblos Recuperados. Diputación Provincial de Huesca. Huesca, España.

MEA. (2005). Ecosystems and Human Well-being: Synthesis. Millennium Ecosystem Assessment. Island Press. Washington, DC. USA.

MAPA. (2021). AgrInfo nº 31 Demografía de la población rural en España, 2020. Ministerio de Agricultura, Pesca y Alimentación. https://www.mapa.gob.es/va/ministerio/servicios/analisis-y-prospectiva/ayp_demografiaenlapoblacionrural2020_tcm39-583987.pdf

MITECO. (2021). Perfil ambiental en España 2020. Ministerio para la Transición Ecológica y el Reto Demográfico. https://www.miteco.gob.es/content/dam/miteco/es/prensa/documentocompletopae2020_tcm30-534040.pdf

Moret-Fernández, D., & Latorre, B. (2023). Hydraulic characterization and modeling of hydrophobic substrates. Journal of Hydrology, 625, 130173. https://doi.org/10.1016/j.jhydrol.2023.130173

Moret-Fernández, D., Latorre, B., Lassabatere, L., Di Prima, S., Castellini, M., Yilmaz, D., & Angulo-Jaramilo, R. (2021). Sequential infiltration analysis of infiltration curves measured with disc infiltrometer in layered soils. Journal of Hydrology, 600, 126542. https://doi.org/10.1016/j.jhydrol.2021.126542

Olsen, S. R. (1954). Estimation of available phosphorus in soils by extraction with sodium bicarbonate (No. 939). US Department of Agriculture.

Pachepsky, Y., & Karahan, G. (2022). On shapes of cumulative infiltration curves. Geoderma, 424, 115715. https://doi.org/10.1016/j.geoderma.2022.115715

Palacio, S. (2021). De la despoblación a la repoblación rural de las montañas. Ecosistemas, 30(1), 2164. https://doi.org/10.7818/ECOS.2164

Palomo, I., Felipe-Lucia, M. R., Bennett, E. M., Martín-López, B., & Pascual, U. (2016). Disentangling the pathways and effects of ecosystem service co-production. In Advances in ecological research (Vol. 54, pp. 245–283). Academic Press. https://doi.org/10.1016/bs.aecr.2015.09.003

Pérez-Ramírez, I., Requena-Mullor, J. M., Castro, A. J., & García-Llorente, M. (2023). Land transformation changes people’s values of ecosystem services in Las Vegas agrarian landscapes of Madrid Spain. Land Use Policy, 134, 106921. https://doi.org/10.1016/j.landusepol.2023.106921

Perpiña Castillo, C., Coll Aliaga, E., Lavalle, C., & Martínez Llario, J. C. (2020). An assessment and spatial modelling of agricultural land abandonment in Spain (2015–2030). Sustainability, 12(2), 560. https://doi.org/10.3390/su12020560

Pinilla, V., & Sáez, L. A. (2017). La despoblación rural en España: génesis de un problema y políticas innovadoras. Informes CEDDAR, 2. Centro de Estudios sobre Despoblación y Desarrollo de Áreas Rurales.

Plieninger, T., Hui, C., Gaertner, M., & Huntsinger, L. (2014). The impact of land abandonment on species richness and abundance in the Mediterranean Basin: a meta-analysis. PLoS One, 9(5), e98355. https://doi.org/10.1371/journal.pone.0098355

Proença, V. M., Pereira, H. M., Guilherme, J., & Vicente, L. (2010). Plant and bird diversity in natural forests and in native and exotic plantations in NW Portugal. Acta Oecologica, 36(2), 219–226. https://doi.org/10.1016/j.actao.2010.01.002

QGIS Development Team. QGIS Geographic Information System. V. 3.34. QGIS Association, released 2024. http://www.qgis.org

Quintas-Soriano, C., Torralba, M., García-Martín, M., & Plieninger, T. (2023). Narratives of land abandonment in a biocultural landscape of Spain. Regional Environmental Change, 23(4), 144. https://doi.org/10.1007/s10113-023-02125-z

R Core Team. (2024). R: A language and environment for statistical computing. R Foundation for Statistical Computing. https://www.R-project.org

Reed, H. E., & Martiny, J. B. H. (2007). Testing the functional significance of microbial composition in natural communities. FEMS Microbiology Ecology, 62(2), 161–170. https://doi.org/10.1111/j.1574-6941.2007.00386.x

Rey-Benayas, J. M., Martins, A., Nicolau, J. M., & Schulz, J. J. (2007). Abandonment of agricultural land: an overview of drivers and consequences. CABI Reviews, 2007(014), 14–pp. https://doi.org/10.1079/PAVSNNR20072057

Romero-Díaz, A., Ruiz-Sinoga, J. D., Robledano-Aymerich, F., Brevik, E. C., & Cerdà, A. (2017). Ecosystem responses to land abandonment in Western Mediterranean Mountains. Catena, 149, 824–835. https://doi.org/10.1016/j.catena.2016.08.013

Ruiz, J., Herrera, P. M., Barba, R., & Busqué, J. (2017). Definición y caracterización de la extensividad en las explotaciones ganaderas en España. MAPAMA-Fundación Entretantos. Madrid, España.

Saccá, M. L., Barra Caracciolo, A., Di Lenola, M., & Grenni, P. (2017). Ecosystem services provided by soil microorganisms. In F. M. Saccá, A. Barra Caracciolo, M. Di Lenola, & P. Grenni (Eds.), Soil biological communities and ecosystem resilience (pp. 9–24). Springer International Publishing. https://doi.org/10.1007/978-3-319-63336-7_2

Shannon, C. E., & Weaver, W. (1949). The mathematical theory of communication. University of Illinois Press. Champaign, IL, USA.

Smith, L. M., Reschke, E. M., Bousquin, J. J., Harvey, J. E., & Summers, J. K. (2022). A conceptual approach to characterizing ecological suitability: Informing socio-ecological measures for restoration effectiveness. Ecological Indicators, 143, 109385. https://doi.org/10.1016/j.ecolind.2022.109385

Vizuete, B., Oteros-Rozas, E., & García-Llorente, M. (2024). Role of the neo-rural phenomenon and the new peasantry in agroecological transitions: a literature review. Agriculture and Human Values, 41(3), 1277–1297. https://doi.org/10.1007/s10460-023-10537-0

Walters, W. A., Hyde, E. R., Berg-Lyons, D., Ackermann, G., Humphrey, G., Parada, A., … Fuhrman, J. A. (2015). Improved bacterial 16S rRNA gene (V4 and V4-5) and fungal internal transcribed spacer marker gene primers for microbial community surveys. mSystems, 1(1), e00009-15. https://doi.org/10.1128/mSystems.00009-15

Zakkak, S., Radovic, A., Nikolov, S. C., Shumka, S., Kakalis, L., & Kati, V. (2015). Assessing the effect of agricultural land abandonment on bird communities in southern-eastern Europe. Journal of Environmental Management, 164, 171–179. https://doi.org/10.1016/j.jenvman.2015.09.005

Zhang, L., Dawes, W. R., & Walker, G. R. (2001). Response of mean annual evapotranspiration to vegetation changes at catchment scale. Water Resources Research, 37(3), 701–708. https://doi.org/10.1029/2000WR900325


 


Anexo I. Detalles metodológicos / Annex I. Methodological details

 

Anexo I.a. Categorías empleadas en el cálculo de secuestro y almacenamiento de carbono.

Annex I.a. Categories used to calculate the carbon sequestration and storage.

Denominación

Descripción

Pinar autóctono Secorún (Huesca)

Pinares autóctonos en Secorún. Basado en categoría "Otros Pinares" con datos de C en suelo del Proyecto RENURSE para la localidad de Secorún (Huesca). Siempre con fracciones de cabida cubierta conjuntas iguales o superiores al 20 %

Bosque de ribera

Formaciones arbóreas alrededor de ríos, arroyos o ramblas que presenten dominio de las siguientes especies: Aliso (Alnus sp.), Sauce (Salix sp.), Saúco (Sambucus nigra), Olmo negrillo, (Ulmus sp.), Fresno (Fraxinus sp.) siempre que presenten fracciones de cabida cubierta igual o superior al 20 %

Robledales y quejigares de Serué (Huesca)

Robledales y quejigares en Serué. Basado en categoría "Robledales y quejigares mediterráneos" con datos de C en suelo del Proyecto RENURSE para la localidad de Serué (Huesca). Siempre con fracciones de cabida cubierta conjuntas iguales o superiores al 20 %

Chopera

Masas arboladas de chopos o álamos (Populus sp.) con fracción de cabida cubierta igual o superior al 20 %

Encinares de Robredarcas

Encinares con fracción de cabida cubierta total igual o superior al 20 %. Basado en categoría "Quercus de hoja perenne" con datos de C en suelo del Proyecto RENURSE para la localidad de Robredarcas, Guadalajara.

Hayedo de Villanueva de Arce (Navarra)

Bosques de hayas (Fagus sylvatica) con fracción de cubierta igual o superior al 20 %. Basado en categoría "Hayedos" con datos de C en suelo del Proyecto RENURSE para la localidad de Villanueva de Arce, Navarra.

Robledales y quejigares de La Vereda (GU)

Robledales y quejigares en La Vereda. Basado en categoría "Robledales y quejigares mediterráneos" con datos de C en suelo del Proyecto RENURSE para la localidad de La Vereda, Guadalajara. Siempre con fracciones de cabida cubierta conjuntas iguales o superiores al 20 %

Robledales y quejigares de Campillo de Ranas (GU)

Robledales y quejigares en Campillo de Ranas. Basado en categoría "Robledales y quejigares mediterráneos" con datos de C en suelo del Proyecto RENURSE para la localidad de Campillo de Ranas (Guadalajara). Siempre con fracciones de cabida cubierta conjuntas iguales o superiores al 20 %

Robledales y quejigares de Aineto (Huesca)

Robledales y quejigares en Aineto. Basado en categoría "Robledales y quejigares mediterráneos" con datos de C en suelo del Proyecto RENURSE para la localidad de Aineto (Huesca). Siempre con fracciones de cabida cubierta conjuntas iguales o superiores al 20 %

Robledales y encinares de Lacabe (Navarra)

Robledales y quejigares en Lacabe. Basado en categoría "Robledales y quejigares mediterráneos" con datos de C en suelo del Proyecto RENURSE para la localidad de Lacabe (Navarra). Siempre con fracciones de cabida cubierta conjuntas iguales o superiores al 20 %

Otras coníferas

Formaciones con fracción de cubierta igual o superior al 20 % dominadas por especies arbóreas de coníferas no reflejadas en las otras categorías.

Robledal eurosiberiano

Formaciones boscosas con dominio del roble albar (Q. petraea) o del roble común (Q. robur), incluso en aquellas formaciones en las que vayan acompañadas de hayas siempre que, en conjunto, presenten fracción de cabida cubierta igual o superior al 20 %

Pinar repoblación Serué

Pinares repoblación en Serué. Basado en categoría "Otros Pinares" con datos de C en suelo del Proyecto RENURSE para la localidad de Serué (Huesca). Siempre con fracciones de cabida cubierta conjuntas iguales o superiores al 20 %

Pinar repoblación Secorún

Pinares repoblación en Secorún. Basado en categoría "Otros Pinares" con datos de C en suelo del Proyecto RENURSE para la localidad de Secorún (Huesca). Siempre con fracciones de cabida cubierta conjuntas iguales o superiores al 20 %

Pinar repoblación Robredarcas

Pinares repoblación en Robredarcas. Basado en categoría "Otros Pinares" con datos de C en suelo del Proyecto RENURSE para la localidad de Robredarcas (Guadalajara). Siempre con fracciones de cabida cubierta conjuntas iguales o superiores al 20 %

Pinar autóctono Gurpegui

Pinares autóctonos en Gurpegui. Basado en categoría "Otros Pinares" con datos de C en suelo del Proyecto RENURSE para la localidad de Gurpegui (Navarra). Siempre con fracciones de cabida cubierta conjuntas iguales o superiores al 20 %

Pinar repoblación Lacabe

Pinares repoblación en Lacabe. Basado en categoría "Otros Pinares" con datos de C en suelo del Proyecto RENURSE para la localidad de Lacabe (Navarra). Siempre con fracciones de cabida cubierta conjuntas iguales o superiores al 20 %

Pinar repoblación Aineto

Pinares de repoblación en Aineto. Basado en categoría "Otros Pinares" con datos de C en suelo del Proyecto RENURSE para la localidad de Aineto (Huesca). Siempre con fracciones de cabida cubierta conjuntas iguales o superiores al 20 %

Pinar repoblación Campillo de Ranas

Pinares repoblación en Campillo de Ranas. Basado en categoría "Otros Pinares" con datos de C en suelo del Proyecto RENURSE para la localidad de Campillo de Ranas (Guadalajara). Siempre con fracciones de cabida cubierta conjuntas iguales o superiores al 20 %

Pinar repoblación Gurpegui

Pinares repoblación en Gurpegui. Basado en categoría "Otros Pinares" con datos de C en suelo del Proyecto RENURSE para la localidad de Gurpegui (Navarra). Siempre con fracciones de cabida cubierta conjuntas iguales o superiores al 20 %

Pinar repoblación La Vereda

Pinares repoblación en La Vereda. Basado en categoría "Otros Pinares" con datos de C en suelo del Proyecto RENURSE para la localidad de La Vereda (Guadalajara). Siempre con fracciones de cabida cubierta conjuntas iguales o superiores al 20 %

Arbolado ralo y disperso

Formaciones arbóreas con fracción de cabida cubierta inferior al 20 % y que acompañan a pastizales o matorrales

Plantación de otros pinos

Plantación densa (un árbol cada 6-8 m2) de Pinus nigra, de P. pinaster (mediterráneo), mixtas de P. sylvestris y P. nigra o P. pinaster, mixtas de P. nigra y P. pinaster y, finalmente, mixtas de P. radiata y P. pinaster.

Pastizal Villanueva de Arce (Navarra)

Terrenos dominados por prados o pastizales en Villanueva de Arce (NA). Datos de C en suelo empíricos RENURSE

Pastizal Huesca

Terrenos dominados por prados o pastizales con clima mediterráneo y en altitudes inferiores a 1500 m, datos RENURSE para localidad de Aineto.

Pastizal Lacabe (Navarra)

Terrenos dominados por prados o pastizales en Lacabe, datos empíricos de C en suelo del proyecto RENURSE

Pastizal Guadalajara

Terrenos dominados por prados o pastizales con clima mediterráneo y en altitudes inferiores a 1500 m. Datos de C en Suelo de Campillo de Ranas (GU).

Labor regadío

Cultivo herbáceo con labor de regadío

Labor secano

Cultivo herbáceo con labor de secano

Labor Secano Huesca

Cultivo herbáceo con labor de secano, datos RENURSE de C en suelo de Serué (Huesca)

Jarales_Matorral no rebrotador hasta un metro

Terrenos dominados por jaras (Cistus sp.) o por matorral variado no rebrotador con alturas comprendidas hasta los 100 cm

Brezales-Matorral rebrotador hasta un metro

Terrenos dominados por brezos (Erica sp., Calluna sp.) o por matorral variado de carácter rebrotador con alturas comprendidas hasta los 100 cm

Tomillares-Matorral hasta medio metro

Terrenos dominados por tomillares o por matorral variado con alturas comprendidas hasta los 50 cm

 

 

Anexo I.b. Detalles metodológicos de los análisis de suelo.

Annex I.b. Soil analysis details.

Los PLFAs del suelo fueron extraídos de 2 g de suelo liofilizado mediante un disolvente formado de cloroformo-metanol-tampón fosfato. Para la separación de los lípidos no polares de los fosfolípidos, se empleó el fraccionamiento en fase sólida con solventes de distinta polaridad (Buyer y Sasser, 2012). Posteriormente, los fosfolípidos fueron convertidos en ésteres metílicos de ácidos grasos (FAMEs) y analizados mediante cromatografía de gases utilizando un sistema GC Agilent 7890A (Agilent Technologies, Wilmington, NC, EE. UU.) equipado con un detector de ionización de llama y una columna de 25 m Ultra 2 (J&W Scientific, Folsom, CA, EE. UU.) Para la identificación y cuantificación de los FAMEs se utilizó el método PLFAD2 del software Sherlock v6.3 (MIDI Inc., Newark, NJ, USA). Para la secuenciación masiva, el ADN del suelo se extrajo utilizando el kit DNeasy PowerSoil Pro (QIAGEN; Barcelona, España), siguiendo las instrucciones del fabricante. La composición de la comunidad bacteriana se determinó mediante secuenciación de la región V4 del gen 16S rRNA utilizando los cebadores 515F (GTGYCAGCMGCCGCGGTAA) y 806R (GGACTACNVGGGTWTCTAAT), y la de las comunidades fúngicas mediante la secuenciación de la región ITS1 utilizando los cebadores ITS1F (CTTGGTCATTTAGAGGAAGTAA) e ITS2R (GCTGCGTTCTTCATCGATGC) (Walters et al. 2015). La secuenciación se llevó a cabo en AllGenetics & Biology S.L. (Oleiros, A Coruña, España).


 


Anexo II. Relación de servicios culturales evaluados, indicador y fuente de datos empleada / Annex II. Evaluation of cultural ecosystem services: indicators and sources used.

 

Nombre

Indicador

Fuente

Senderismo

kilómetros de rutas señalizadas (GR, PR, SL)

CNIG (Centro Nacional de Información Geográfica) Webs ayuntamientos locales (ver Anexo II.a)

Licencias de caza y pesca y recolección de setas

Número de licencias

Taller participativo e información de los ayuntamientos

Fuentes de agua

Número de unidades

OpenStreetMap https://fuenaragon.com/resultados/

Merenderos y espacios de ocio

Número de unidades

Taller participativo y GIS

Paneles informativos

Número de unidades

Taller participativo

Publicaciones

Número de unidades

Taller participativo

Lugares con valor cultural o religioso o espiritual

Número de unidades

Taller participativo

 

Anexo II.a. Referencias para Senderismo (km de rutas señalizadas).

Annex II.a. References for hiking (km of official walking paths).

La información de rutas de gran recorrido (GR), pequeño recorrido (PR) y sendero local (SL) homologadas por la Federación Española de Deportes de Montaña y Escalada (FEDME) se ha descargado de la web CNIG (Centro Nacional de Información Geográfica) > Rutas, ocio y tiempo libre > Senderos FEDME. Se puede filtrar por municipio o por zona en el mapa, pero observamos que no se incluyen todos los GR.

Esta información se ha completado con la web de los ayuntamientos donde especifican rutas que en algunos casos denominan Red de Senderos.

Huesca

 

Serué

Red de senderos del ayuntamiento de Caldearenas. Serué-San Vicente

https://www.caldearenas.es/documents/3161123/7191622/Ficha_ruta_8._San_Vicente_-_Serue_b9d69f0c.pdf/2ea5465d-c0e2-2b00-2fcc-080105caad23?t=1645967891370

Secorún

GR268 Etapa 4 Laguarta - Nocito

https://senderosturisticos.turismodearagon.com/ruta/ficha/3544

Aineto

GR268 Etapa 4 Laguarta - Nocito

https://senderosturisticos.turismodearagon.com/ruta/ficha/3544

PR-HU 11: Aineto - Molino de Escartín

PR Senderos FEDME

Navarra

Villanueva de Arce

Eurovelo 3: Orreaga / Roncesvalles – Nagore

https://datos.gob.es/es/catalogo/a15002917-eurovelo-en-navarra-3-la-ruta-de-los-peregrinos

Calzada Romana del Pirineo Etapa 1. Camping Urrobi Urdíroz

https://www.valledearce.com/geografia-naturaleza/tracks-de-rutas-por-el-valle/

Circular Lerdengibel-Arrieta. SL-NA27, PR-NA24-SL-NA26 Senda de las Bordas

https://www.valledearce.com/geografia-naturaleza/tracks-de-rutas-por-el-valle/

Sendero de las Pottokas. Villanueva-Arrieta-Villanueva

https://www.valledearce.com/geografia-naturaleza/tracks-de-rutas-por-el-valle/

Cascada Iruerreka

https://www.valledearce.com/geografia-naturaleza/tracks-de-rutas-por-el-valle/

Lakabe

Lacabe – Gorraitz- Elke – Pausaran

 

Información proveniente de los habitantes y corroborada en Wikiloc. Marcas blancas y naranjas, pero no reconocida como SL.

Gurpegui

Eurovelo 3: Nagore - Pamplona / Iruña

https://datos.gob.es/es/catalogo/a15002917-eurovelo-en-navarra-3-la-ruta-de-los-peregrinos

Calzada Romana del Pirineo. Etapa 2.

https://www.valledearce.com/geografia-naturaleza/tracks-de-rutas-por-el-valle/

PR28- Zazpe y circular Gurpegui

https://www.valledearce.com/geografia-naturaleza/tracks-de-rutas-por-el-valle/

PR-NA27 Caballeros Hospitalarios (Nagore)

https://www.valledearce.com/geografia-naturaleza/tracks-de-rutas-por-el-valle/

Lusarreta – Cueva de Lezestali – Lusarreta

https://www.valledearce.com/geografia-naturaleza/tracks-de-rutas-por-el-valle/

Guadalajara

Campillo de Ranas

GR60 - Pueblos de la Arquitectura Negra - Etapa 5. Campillo de Ranas – Majaelrayo

https://www.campilloderanas.es/red-de-senderos

GR 60 - Pueblos de la Arquitectura Negra - Etapa 4. Tamajón-C de Ranas

https://www.campilloderanas.es/red-de-senderos

GR60 – Variante Majaelrayo – Campillejo

https://www.campilloderanas.es/red-de-senderos

PR01 Campillo de Ranas – Pico Ocejón

https://www.campilloderanas.es/red-de-senderos

Georuta 1 El Cardoso-Puerto de la Quesera

https://areasprotegidas.castillalamancha.es/rap/espacios-naturales-protegidos/enp-parque-natural/273/visita-y-disfruta

BTT-5 Ruta de los Pueblos Negros

https://areasprotegidas.castillalamancha.es/rap/espacios-naturales-protegidos/enp-parque-natural/273/visita-y-disfruta

La Vereda

PR-GU 18 Camino de la Vereda

https://areasprotegidas.castillalamancha.es/rap/espacios-naturales-protegidos/enp-parque-natural/273/visita-y-disfruta

 


 


Anexo III. Evaluación de los servicios ecosistémicos de regulación / Annex III. Evaluation of regulating ecosystem services

 

Anexo III.a.1. Carbono orgánico del suelo (COS) por tipo de localidad según uso del suelo y profundidad (0-10 cm, panel superior; 10-20 cm, panel inferior).

Annex III.a.1. Organic soil carbon (COS) per type of locality according to land use and depth (0-10 cm, top panel; 10-20 cm, bottom panel).

Carbono orgánico del suelo (COS) por tipo de localidad según uso del suelo y profundidad (0-10 cm, panel superior; 10-20 cm, panel inferior).

 

Anexo III.a.2. Fósforo disponible por provincia, tipo de localidad y sistema analizado (Ver Anexo III.a.3 para los resultados del análisis estadístico).

Annex III.a.2. Available P (Olsen) per province, type of locality and system. (See Annex III.a.3 for results of the statistical analysis).

 

Fósforo disponible por provincia, tipo de localidad y sistema analizado (Ver Anexo III.a.3 para los resultados del análisis estadístico).

 

 

 

Anexo III.a.3. Post hoc Dunn test para detectar diferencias entre los tres factores analizados para P disponible. Los datos fueron transformados antes del análisis (log x+1).

Annex III.a.3. Post hoc Dunn test to detect differences between the three analyzed factors for available P. Data were log transformed before analysis (log x+1).

Comparativa

Diferencia de Medias

t

P

Factor: Provincia

 

 

 

Navarra vs. Huesca

0.431

5.955

<0.001

Navarra vs. Guadalajara

0.287

3.616

0.001

Guadalajara vs. Huesca

0.144

1.873

0.191

Factor: Sistema

 

 

 

Agrícola vs. Bosque natural

0.199

2.511

0.040

Agrícola vs. Bosque replantación

0.199

2.438

0.049

Bosque replantación vs. Bosque natural

0.001

0.008

1.000

Factor: Profundidad

 

 

 

0-10 cm vs. 10-20 cm

0.230

3.688

<0.001

 

 

Anexo III.b. Análisis Kruskal-Wallis de diferencias significativas entre tipos de núcleo para los principales parámetros de calidad del agua. En caso significativo, post hoc de Dunn para detectar diferencias entre tipos de núcleos rurales para la calidad del agua. n.s.= p-valor no significativo >0.1.

Annex III.b Krustal-Wallis test of differences across types of village for water quality parameters. In case of significant differences, post hoc Dunn test to detect differences between type of village in terms of water quality. n.s.= not significant p-value >0.1.

Variable

2

DF

P-valor

Comparación post-hoc

Dunn Test (Z)

P-valor

Nitrato

21.614

2

<0.001

Despoblado - Habitado

-4.563

<0.001

Habitado - Restaurado

2.681

0.01

Despoblado - Restaurado

-1.901

0.05

Cloruro

7.079

2

0.02

Despoblado - Habitado

2.46

0.04

Habitado - Restaurado

-1.94

n.s.

Despoblado - Restaurado

0.37

n.s.

Sulfato

6.276

2

0.04

Despoblado - Habitado

2.03

0.08

Habitado - Restaurado

-2.17

0.09

Despoblado - Restaurado

-0.22

n.s.

Calcio

4.917

2

n.s.

 

 

 

Fluoruro

4.332

2

n.s.

 

 

 

Sodio

3.197

2

n.s.

 

 

 

Oxigeno

2.746

2

n.s.

 

 

 

Magnesio

2.721

2

n.s.

 

 

 

Potasio

2.433

2

n.s.

 

 

 

Alcalinidad

1.603

2

n.s.

 

 

 

Bicarbonato

1.559

2

n.s.

 

 

 

Sólidos suspendid.

1.206

2

n.s.

 

 

 

Sólidos disueltos

0.972

2

n.s.

 

 

 

Materia orgánica

0.874

2

n.s.

 

 

 

Conductividad

0.798

2

n.s.

 

 

 

Fósforo reactivo

0.705

2

n.s.

 

 

 

Carbonatos

0.448

2

n.s.

 

 

 

Clorofila-a

0.297

2

n.s.

 

 

 

 

 

Anexo III.c. Caracterización de los nitratos en el agua obtenida en los diferentes tipos de núcleos poblacionales estudiados en las provincias de Guadalajara, Huesca y Navarra.

Annex III.c. Nitrate characterisation in water samples taken in the different types of villages studied in the provinces of Guadalajara, Huesca and Navarra.

 

Caracterización de los nitratos en el agua obtenida en los diferentes tipos de núcleos poblacionales estudiados en las provincias de Guadalajara, Huesca y Navarra.

 

Anexo III.d. Carbono almacenado por localidad y año, en kg CO2e.

Anexo III.d. Carbon storage per village and year, en kg CO2e.

 

Guadalajara

Huesca

Navarra

 

La Vereda

Campillo

Robredarcas

Aineto

Serué

Secorún

Lacabe

V. de Arce

Gurpegui

1956

3.39E+08

4.51E+08

3.86E+08

7.89E+08

6.66E+08

1.02E+09

3.99E+08

9.73E+08

7.27E+08

1985

2.17E+08

5.47E+08

2.58E+08

6.04E+08

6.50E+08

5.30E+08

3.92E+08

9.77E+08

8.10E+08

2020

5.76E+08

6.17E+08

6.65E+08

1.07E+09

6.85E+08

1.16E+09

5.20E+08

1.04E+09

1.11E+09

 

 

Anexo III.e. Carbono almacenado por hectárea de cada localidad en los tres períodos analizados, en kg CO2e.

Annex III.e. Carbon storage per hectares in each village in the three studied periods, in kg CO2e.

Carbono almacenado por hectárea de cada localidad en los tres períodos analizados, en kg CO2e

 

 

Anexo III.f. Cantidad total de Carbono almacenado según los usos de territorio analizados, para los tres tipos de localidades en los tres períodos analizados, medidos en kg CO2e.

Annex III.f. Total amount of carbon storage in the different types of land uses for the three types of villages analysed in the three studied periods, measured in kg CO2e.

Cantidad total de Carbono almacenado según los usos de territorio analizados, para los tres tipos de localidades en los tres períodos analizados, medidos en kg CO2e.

 

 


Anexo IV. Evaluación de los servicios ecosistémicos de soporte / Annex IV. Evaluation of supporting ecosystem services

Anexo IV.a. Biomasa microbiana por tipo de uso del suelo (panel superior izquierdo); Biomasa microbiana según tipo de núcleo rural (panel superior derecho); Abundancia de bacterias por uso del suelo (panel inferior izquierdo); Abundancia de hongos por uso del suelo (panel inferior derecho). Se muestran los valores de significación de Kruskal-Wallis y Dunn post hoc test.

Annex IV.a. Microbial biomass by land use type (top left panel); Microbial biomass by rural core type (top right panel); Bacterial abundance by land use (bottom left panel); Fungal abundance by land use (bottom right panel). Significance values of Kruskal-Wallis and Dunn post hoc test area shown.

Biomasa microbiana por tipo de uso del suelo (panel superior izquierdo); Biomasa microbiana según tipo de núcleo rural (panel superior derecho); Abundancia de bacterias por uso del suelo (panel inferior izquierdo); Abundancia de hongos por uso del suelo (panel inferior derecho). Se muestran los valores de significación de Kruskal-Wallis y Dunn post hoc test.

 

Anexo IV.b. Riqueza de plantas (número de especies) en las parcelas establecidas en los diferentes tipos de núcleos poblacionales estudiados. Abreviaturas: Aut: bosque autóctono; Rep: bosque reforestado; Urb: núcleo urbano.

Annex IV.b. Plant richness (number of species) in the plots established in the different types of villages studied. Abbreviations: Aut: native forest; Rep: reforested; Urb: urban area.

 

Riqueza de plantas (número de especies) en las parcelas establecidas en los diferentes tipos de núcleos poblacionales estudiados. Abreviaturas: Aut: bosque autóctono; Rep: bosque reforestado; Urb: núcleo urbano

 

Anexo IV.c. Resumen de diversidad florística en las localidades y ambientes estudiados. R: Riqueza de especies; H: Índice de diversidad Shannon; J’: Índice de Pielou.

Annex IV.c. Summary of plant diversity in the sites studied. R: Species richness; H: Shannon diversity index; J’: Pielou index.

Ambiente / Tratamiento

Tamaño parcela

R

H

J’

µ±σ

I.C

µ±σ

I.C

µ±σ

I.C

NAVARRA

Bosque autóctono

20x20 m

 

 

 

 

 

 

Habitado

 

18.0±13.4

30.7- 5.3

0.9±0.9

1.8-0.1

0.29±0.23

0.50-0.07

Restaurado

 

37.3±16.9

53.3-21.3

1.7±0.1

1.8-1.7

0.50±0.04

0.54-0.46

Despoblado

 

49.7±4.8

54.2-45.1

2.3±0.2

2.5-2.1

0.58±0.05

0.63-0.53

Pinar repoblación

20x20 m

 

 

 

 

 

 

Habitado

 

-

-

-

-

-

-

Restaurado

 

67.7±8.7

76.0-59.4

2.7±0.2

2.8-2.5

0.64±0.06

0.69-0.58

Despoblado

 

42.3±7.7

49.7-35.0

2.2±0.1

2.4-2.1

0.60±0.03

0.63-0.56

Núcleo Urbano

2x2 m

 

 

 

 

 

 

Habitado

 

17.3±2.6

19.8-14.8

2.0±0.3

2.3-1.9

0.72±0.08

0.79-0.65

Restaurado

 

32.7±5.4

37.8-27.5

2.5±0.2

2.8-2.3

0.74±0.08

0.81-0.66

Despoblado

 

21.0±4.1

24.9-17.1

2.1±0.3

2.4-1.8

0.69±0.05

0.74-0.65

GUADALAJARA

Bosque autóctono

20x20 m

 

 

 

 

 

 

Habitado

 

73.3±8.7

81.6-65.0

2.8±0.1

2.9-2.7

0.64±0.00

0.64-0.64

Restaurado

 

46.0±2.9

48.8-43.2

2.3±0.3

2.7-2.0

0.60±0.07

0.66-0.54

Despoblado

 

38.7±6.1

44.5-32.8

2.4±0.4

2.8-2.0

0.65±0.08

0.72-0.57

Pinar repoblación

20x20 m

 

 

 

 

 

 

Habitado

 

30.0±5.1

34.8-25.5

1.4±0.1

1.5-1.3

0.41±0.05

0.45-0.36

Restaurado

 

53.7±7.3

60.6-46.7

2.6±0.2

2.8-2.4

0.65±0.04

0.69-0.61

Despoblado

 

41.7±8.0

49.3-34.1

2.7±0.1

2.8-2.5

0.72±0.01

0.73-0.71

Núcleo Urbano

2x2 m

 

 

 

 

 

 

Habitado

 

20.3±2.5

22.7-18.0

2.3±0.1

2.9-2.4

0.83±0.05

0.92-0.81

Restaurado

 

16.0±1.4

17.3-14.7

2.3±0.1

2.4-2.2

0.87±0.05

0.88-0.78

Despoblado

 

19.0±2.8

21.7±16.3

2.5±0.2

2.7-2.2

0.84±0.04

0.88-0.80

HUESCA

Bosque autóctono

20x20 m

 

 

 

 

 

 

Habitado

 

23.0±5.7

28.4-17.6

1.4±0.3

1.7-1.1

0.44±0.06

0.50-0.39

Restaurado

 

60.0±5.9

65.6-54.4

2.5±0.1

2.6-2.4

0.61±0.03

0.65-0.58

Despoblado

 

34.7±9.5

43.7-25.7

1.9±0.3

2.2-1.6

0.53±0.05

0.58-0.48

Pinar repoblación

20x20 m

 

 

 

 

 

 

Habitado

 

29.3±3.7

32.8-25.8

1.4±0.2

1.6-1.2

0.41±0.04

0.45-0.38

Restaurado

 

40.7±6.8

47.2-34.2

1.9±0.3

2.2-1.7

0.52±0.05

0.56-0.47

Despoblado

 

27.7±4.9

32.3-25.8

1.8±0.2

2.0-1.6

0.55±0.06

0.61-0.49

Núcleo Urbano

2x2 m

 

 

 

 

 

 

Habitado

 

17.7±4.7

22.2-12.2

2.2±0.4

2.6-1.7

0.76±0.08

0.83-0.68

Restaurado

 

23.7±8.7

31.9-15.4

2.1±0.3

2.4-1.9

0.69±0.07

0.76-0.62

Despoblado

 

22.7±7.9

30.2-15.1

2.2±0.2

2.5-2.0

0.74±0.06

0.80-0.68

 

 

 

Anexo IV.d. Gráfico de ordenación de la composición de la vegetación (NMDS) resumida en dos ejes para los tres territorios y separando según el tipo de localidad (panel superior) y el uso del suelo (panel inferior).

Annex IV.d. Ordination plot (NMDS) on vegetation composition summarised on two axes for the three study areas and separated by type of locality (upper panel) and land use (lower panel).

Gráfico de ordenación de la composición de la vegetación (NMDS) resumida en dos ejes para los tres territorios y separando según el tipo de localidad (panel superior) y el uso del suelo (panel inferior)

 

Anexo IV.e Listado de especies de aves identificadas por tipo de localidad.

Annex IV.e. List of species identified per type of village.

Tipo de núcleo rural

Despoblado

Habitado

Restaurado

Abejaruco europeo

Abubilla común

Abubilla común

Abubilla común

Acentor común

Acentor común

Agateador europeo

Agateador euroasiático

Agateador europeo

Alcaudón dorsirrojo

Agateador europeo

Alcaudón común

Alondra totovía

Águila calzada

Alcaudón dorsirrojo

Arrendajo euroasiático

Alcaudón común

Alondra totovía

Avión roquero

Alcaudón dorsirrojo

Arrendajo euroasiático

Bisbita arbóreo

Alcaudón real

Avión común occidental

Bisbita campestre

Alcotán europeo

Avión roquero

Camachuelo común

Alondra común

Buitre leonado

Carbonero común

Alondra totovía

Carbonero común

Carbonero garrapinos

Arrendajo euroasiático

Carbonero garrapinos

Cetia ruiseñor

Ave sin identificar

Cetia ruiseñor

Chochín común

Avión roquero

Chochín común

Codorniz común

Bisbita arbóreo

Chova piquirroja

Colirrojo tizón

Bisbita campestre

Colirrojo tizón

Corneja negra

Bisbita sin identificar

Collalba rubia

Cuco común

Buitre leonado

Corneja negra

Cuervo grande

Camachuelo común

Cuco común

Curruca capirotada

Cárabo común

Cuervo grande

Curruca carrasqueña occidental

Carbonero común

Curruca cabecinegra

Curruca mirlona occidental

Carbonero garrapinos

Curruca capirotada

Curruca mosquitera

Cetia ruiseñor

Curruca carrasqueña occidental

Curruca rabilarga

Chochín común

Curruca mirlona occidental

Curruca zarcera

Chova piquirroja

Curruca mosquitera

Escribano montesino

Cogujada montesina

Curruca rabilarga

Escribano soteño

Cogujada sin identificar

Curruca zarcera

Escribano triguero

Colirrojo real

Escribano soteño

Golondrina común

Colirrojo tizón

Escribano triguero

Herrerillo capuchino

Corneja negra

Estornino negro

Herrerillo común

Cuco común

Golondrina común

Lavandera blanca

Cuervo grande

Gorrión chillón

Lavandera cascadeña

Curruca cabecinegra

Gorrión común

Milano real

Curruca capirotada

Herrerillo capuchino

Mirlo común

Curruca carrasqueña occidental

Herrerillo común

Mito común

Curruca mirlona occidental

Jilguero europeo

Mosquitero común

Curruca mosquitera

Lavandera blanca

Mosquitero ibérico

Curruca rabilarga

Lavandera boyera

Mosquitero musical

Escribano montesino

Lavandera cascadeña

Mosquitero papialbo

Escribano soteño

Milano negro

Oropéndola europea

Escribano triguero

Mirlo común

Paloma doméstica

Estornino negro

Mito común

Paloma torcaz

Golondrina común

Mosquitero común

Papamoscas gris

Gorrión chillón

Mosquitero papialbo

Pardillo común

Gorrión común

Oropéndola europea

Petirrojo europeo

Herrerillo capuchino

Paloma torcaz

Pico picapinos

Herrerillo común

Papamoscas gris

Pinzón vulgar

Jilguero europeo

Pardillo común

Pito real Ibérico

Lavandera blanca

Perdiz roja

Reyezuelo listado

Lavandera cascadeña

Perdiz roja / Perdiz pardilla

Roquero rojo

Milano negro

Petirrojo europeo

Ruiseñor común

Milano real

Picamaderos negro

Serín verdecillo

Mirlo acuático europeo

Pico picapinos

Tarabilla común

Mirlo común

Pinzón vulgar

Trepador azul

Mito común

Piquituerto común

Verderón común

Mosquitero común

Pito real Ibérico

Verderón serrano

Mosquitero musical

Reyezuelo listado

Zarcero políglota

Mosquitero papialbo

Reyezuelo sencillo

Zorzal charlo

Oropéndola europea

Roquero solitario

Zorzal común

Paloma doméstica

Ruiseñor común

Paloma torcaz

Serín verdecillo

Papamoscas gris

Tarabilla común

Pardillo común

Torcecuello euroasiático

Perdiz roja

Trepador azul

Petirrojo europeo

Vencejo común

Pico picapinos

Verderón común

Pinzón vulgar

Zarcero políglota

Pito real Ibérico

Zorzal charlo

Reyezuelo listado

Zorzal común

Reyezuelo sencillo

Ruiseñor común

Serín verdecillo

Tarabilla común

Torcecuello euroasiático

Tórtola europea

Tórtola turca

Trepador azul

Urraca común

Vencejo común

Verderón común

Zarcero políglota

Zorzal charlo

Zorzal común

 

Anexo IV.f. Evolución del índice de diversidad de Shannon para los hábitats cada localidad de estudio.

Annex IV.f. Evolution of Shannon diversity index for the habitats of each study site.

Evolución del índice de diversidad de Shannon para los hábitats cada localidad de estudio

 

 


Anexo V. Evaluación de los servicios ecosistémicos de abastecimiento / Annex V. Evaluation of provisioning ecosystem services

Anexo V.a. Número total de explotaciones ganaderas activas ubicadas en la zona de estudio, y tipología según el Registro General de Explotaciones Ganaderas (REGA).

Annex V.a. Total number of active livestock farms located in the study area, and typology according to the Registro General de Explotaciones Ganaderas (REGA).

Número de explotaciones

Núcleos habitados

Núcleos despoblados

Núcleos restaurados

Abejas

1

0

1

Bovino

1

0

0

Caprino

1

0

0

Equino

1

0

0

Ovino

1

0

0

Ovino y caprino

1

0

1

Ovino, bovino y equino

1

0

1

Ovino, caprino, equino, gallinas y conejos

1

0

0

Total Explotaciones

8

0

3

Total UGM

649

0

42

Cargas ganaderas (UGM/ha)

0.24

0

0.03

 

 

Anexo V.b. Magnitud del agua azul (en porcentaje de la precipitación anual) en los tres tipos de núcleos rurales y en los tres periodos de tiempo analizados. Se incluye la variación (negativa) en el periodo completo (1956-2020).

Annex V.b. Magnitude of blue water (as a percentage of annual precipitation) in the three types of villages and in the three time periods analysed. The (negative) variation over the whole period (1956-2020) is included.

 

1956

1983

2020

Variación 1956-2020

Habitado

42.16

42.55

38.1

-4.06

Despoblados

41.11

41.16

35.5

-5.61

Restaurados

43.1

40.8

36.3

-6.8

 

 

Anexo V.c. Ejemplo de curva de infiltración medida en suelo agrícola para Serué, Huesca (Se_cu_1_R1) y suelo forestal en Villanueva de Arce, Navarra (Arce Nat_1_R1).

Annex V.c Example of infiltration curve measured in agricultural soil for Serué, Huesca (Se_cu_1_R1) and forest soil in Villanueva de Arce, Navarra (Arce Nat_1_R1).

Ejemplo de curva de infiltración medida en suelo agrícola para Serué, Huesca (Se_cu_1_R1) y suelo forestal en Villanueva de Arce, Navarra (Arce Nat_1_R1).

 

 


Anexo VI. Evaluación de los servicios ecosistémicos culturales / Annex VI. Evaluation of cultural ecosystem services

Anexo. VI.a. Valor medio de los servicios culturales por tipo de localidad.

Annex VI.a. Mean value of cultural ecosystem services per type of village.

Valor medio de los servicios culturales por tipo de localidad.

 

 

Anexo VI.b. Sumatorio de servicios culturales para cada localidad estudiada.

Annex VI.b. Sum of cultural services for each study site.

Sumatorio de servicios culturales para cada localidad estudiada.

 

 

Anexo VI.c. Resultados del test Kruskal-Wallis por tipo de localidad y por provincia.

Annex VI.c. Results of Kruskal-Wallis test per type of village and province.

Comparativa

Servicio cultural

n

statistic

df

p

Significancia

Tipo de localidad

Senderismo

9

2.17

2

0.337

n.s.

Tipo de localidad

Merenderos

9

4.59

2

0.101

n.s.

Tipo de localidad

Fuentes

9

6.22

2

0.045

<0.05*

Tipo de localidad

Paneles

9

4.75

2

0.098

n.s.

Tipo de localidad

Publicaciones

9

5.08

2

0.079

n.s.

Tipo de localidad

Lugares

9

3.01

2

0.222

n.s.

Provincia

Senderismo

9

0.874

2

0.646

n.s.

Provincia

Merenderos

9

0.96

2

0.619

n.s.

Provincia

Fuentes

9

0.889

2

0.641

n.s.

Provincia

Paneles

9

1.23

2

0.54

n.s.

Provincia

Publicaciones

9

0.865

2

0.649

n.s.

Provincia

Lugares

9

1.38

2

0.501

n.s.

 

 

Anexo VI.d. Comparaciones basadas en el Dunn test para diferencias significativas entre los tipos de núcleos poblacionales en el valor cultural.

Annex VI.d. Dunn test results to detect significant differences between the type of village for the cultural value.

Comparativa

grupo 1

grupo 2

n1

n2

statistic

p

p.adj.

Significancia

Tipo de localidad

Despoblado

Habitado

18

18

3.84

0.0001

0.0003

***

Tipo de localidad

Despoblado

Restaurado

18

18

3.16

0.0015

0.0047

**

Tipo de localidad

Habitado

Restaurado

18

18

-0.676

0.499

1

n.s.