ecosistemas

ISSN 1697-2473

Open access / CC BY-NC 4.0

© 2026 Los autores [ECOSISTEMAS no se hace responsable del uso indebido de material sujeto a derecho de autor] / © 2026 The authors [ECOSISTEMAS is not responsible for the misuse of copyrighted material]

 

Ecosistemas 35(1): 3043 [enero - abril / January - April, 2026]: https://doi.org/10.7818/ECOS.3043

 

MONOGRÁFICO: Ecología del despoblamiento rural/ MONOGRAPHIC: Ecology of rural depopulation

Editores invitados / Guest editors: Francisco Lloret y Adrián Escudero

 

ARTÍCULO DE INVESTIGACIÓN / RESEARCH ARTICLE

 


¿Explican las dinámicas demográficas los cambios recientes en los usos del suelo en el noroeste de España?

Lucía García-Candanedo1,* ORCID logo, Susana Suárez-Seoane1 ORCID logo, Daniel Pfitzer-López1 ORCID logo, Mario Quevedo1 ORCID logo, José V. Roces-Díaz1 ORCID logo

 

(1)    Dpto. de Biología de Organismos y Sistemas (Universidad de Oviedo) e Instituto Mixto de Investigación en Biodiversidad (Universidad de Oviedo - CSIC - Principado de Asturias). 33071 Oviedo, 33600 Mieres, España

* Autora para correspondencia / Corresponding author: L. García-Candanedo [luciagarciacandanedo@gmail.com]

 

> Recibido / Received: 03/06/2025 – Aceptado / Accepted: 16/09/2025

Cómo citar / How to cite: García-Candanedo, L., Suárez-Seoane, S., Pfitzer-López, D., Quevedo, M., & Roces-Díaz, J. V. (2026). ¿Explican las dinámicas demográficas los cambios recientes en los usos del suelo en el noroeste de España? Ecosistemas, 35(1): 3043. https://doi.org/10.7818/ECOS.3043  

¿Explican las dinámicas demográficas los cambios recientes en los usos del suelo en el noroeste de España?

Resumen: Las zonas rurales del noroeste de España están experimentando un éxodo poblacional hacia áreas urbanas, así como una compleja reorganización territorial y una polarización de los usos del suelo (abandono vs. intensificación). Se exploró la relación entre las dinámicas demográficas recientes y los cambios de usos vinculados al sector primario en el Principado de Asturias, considerando dos niveles administrativos de análisis (municipio y parroquia). Se calcularon las tasas de cambio poblacional desde 1960 (municipios) y 1981 (parroquias) hasta la actualidad a partir de datos del Instituto Nacional de Estadística y se computaron índices de abandono e intensificación de usos utilizando CORINE Land Cover (1990–2018) y otras fuentes cartográficas. Se ajustaron modelos de regresión lineal univariantes con estimación robusta de los errores estándar y se realizaron pruebas de Mann-Whitney U, considerando las tasas de cambio poblacional como predictores del abandono y la intensificación de usos. El 90% de los municipios y parroquias experimentó despoblación. Respecto al patrón de usos del suelo, un 7.47 % de la superficie fue objeto de abandono y un 10.72 % de intensificación forestal y agrícola. Las tasas de cambio poblacional se relacionaron negativamente con el abandono, tanto a nivel municipal como parroquial, y con la intensificación de los usos forestales únicamente a nivel parroquial. En las parroquias afectadas por despoblación, el abandono y la intensificación agrícola fueron superiores en comparación con aquellas que experimentaron crecimiento poblacional. Se concluye que las dinámicas demográficas recientes no son determinantes inequívocos de los cambios en los usos del suelo.

Palabras clave: abandono de tierras; despoblación; éxodo rural; intensificación de usos del suelo

Do demographic dynamics explain recent changes in land uses in northwest Spain?

Abstract: Rural areas in northwestern Spain are showing a population exodus toward urban nuclei, along with a complex territorial reorganization and a polarization of land uses (abandonment vs. intensification). This study explored the relationships between recent demographic dynamics and land use changes related to the primary sector in the Principality of Asturias, considering two administrative levels of analysis (municipality and parish). Population change rates were calculated from 1960 (municipalities) and 1981 (parishes) to the present using data from the National Statistics Institute, and indices of land use abandonment and intensification were computed using CORINE Land Cover (1990–2018) and other cartographic sources. We fitted univariate linear regression models with robust standard error estimation and conducted Mann-Whitney U tests, using population change rates as predictors of abandonment and intensification land use. 90% of municipalities and parishes experienced depopulation. In terms of land use patterns, 7.47% of the area underwent abandonment and 10.72% experienced forest and agricultural intensification. Population change rates were negatively related to abandonment at both municipal and parish levels, and to forest use intensification at the parish level. In parishes affected by depopulation, both abandonment and agricultural intensification were higher compared to those with population increase. The results of this study indicated that recent demographic dynamics did not constitute an unequivocal driver of land use change.

Keywords: depopulation; land abandonment; land use intensification; rural exodus


Introducción

Las sociedades humanas han modificado, durante miles de años, la composición, la estructura y el funcionamiento de los sistemas ecológicos con fines de explotación y obtención de recursos (Ellis et al., 2021). Estas transformaciones han contribuido al progreso y a la mejora del bienestar humano, pero también han generado importantes conflictos sociales e impactos ambientales negativos, que se manifiestan a múltiples escalas. En el contexto actual de cambio global, los cambios en los usos del suelo son los principales factores causantes de la degradación de los ecosistemas, así como de la pérdida de biodiversidad y servicios ecosistémicos (Lambin et al., 2001; Winkler et al., 2021; Barati et al., 2023). El tipo, la magnitud y la velocidad de estos cambios están determinados por múltiples factores socioeconómicos, entre los cuales destacan aquellos vinculados a las dinámicas demográficas (Rey Benayas et al., 2007). A escala global, la proporción de población residente en áreas urbanas ha aumentado del 30 % al 55 % en las últimas décadas, disminuyendo significativamente en zonas rurales (Naciones Unidas, 2019). En Europa, un 74 % de la población reside actualmente en áreas urbanas (Naciones Unidas, 2019), ascendiendo este valor al 84 % en España (MAPA, 2021), donde el fenómeno del éxodo rural se inició a principios del siglo XX y se mantiene hasta el presente (MITMA, 2025). En la actualidad, un 48 % de los municipios españoles se encuentra en riesgo de despoblación (es decir, densidad menor de 12.5 habitantes por km2) y un 32 % en riesgo extremo (densidad menor de 8 habitantes por km2) según los criterios del Comisionado del Gobierno frente al Reto Demográfico (2018).

En este escenario de cambio demográfico, también se han producido transformaciones significativas en diferentes sectores de la actividad económica. Por ejemplo, se ha producido una fuerte disminución de los trabajadores dedicados al sector primario, reubicándose muchos de ellos en el sector secundario durante la Revolución Industrial y, posteriormente, en el sector terciario gracias a la consolidación de la economía de servicios a finales del siglo XX y principios del XXI (Schettkat y Yocarini, 2003). Estas dinámicas se observan de forma generalizada en toda España, pese a que se trata del segundo país de la Unión Europea en términos de superficie agrícola (13 % de la superficie agraria útil total de Europa) y en volumen de cabezas de ganado porcino y ovino (23 y 18 millones respectivamente) (Marín y Mínguez, 2023). La importancia de estos cambios demográficos y socioeconómicos es particularmente acusada en zonas rurales del noroeste del país, concretamente en Galicia y en el Principado de Asturias, donde el sector primario ha sido históricamente el principal motor de actividad económica (Loras-Gimeno et al., 2025) y donde se encuentra el 56.9 % de las entidades colectivas de población (parroquias) y el 60.3 % de las entidades singulares (aldeas o lugares) de toda España (INE, 2024). En estas regiones, el predominio del minifundismo, caracterizado por una alta fragmentación de la propiedad y por la pequeña extensión de las explotaciones, ha condicionado profundamente el uso del suelo, limitando la mecanización agraria. En el caso concreto del Principado de Asturias, el sector primario ha pasado de englobar al 20 % de los trabajadores en 1980, al 3 % en 2023, mientras que la importancia del sector terciario ha pasado, en este mismo periodo, del 40 % al 80 % de los trabajadores activos (SADEI, 2023).

La combinación del éxodo rural y de los cambios socioeconómicos ha conducido a diferentes dinámicas territoriales. Por un lado, las áreas rurales montañosas, con menor posibilidad de diversificación económica, peor conexión con los núcleos de población más densamente habitados y mayor dificultad de aprovechamiento de los recursos por las condiciones climáticas y orográficas dominantes, tienden a perder población (Delgado Viñas, 2019). Por otro, las áreas urbanas, con mayores oportunidades de diversificación económica y mejores redes de comunicación, tienden a ganar población al acoger a parte de la población rural (Corbelle y Crecente, 2014; Delgado Viñas, 2019). Estas transformaciones demográficas y socioeconómicas se reflejan en una reorganización de los usos del suelo que, a su vez, afecta a la composición, configuración y funcionamiento del paisaje (Regos et al., 2015). Durante el siglo XX, los cambios en los usos agropecuarios y forestales se han acelerado considerablemente, tanto en términos de extensión como de intensidad (Ramankutty et al., 2006). Consecuentemente, en los paisajes rurales se pueden definir dos grandes tendencias opuestas en los cambios en los usos del suelo: intensificación y abandono (van Vliet et al., 2015). La intensificación puede describirse como el aumento de la intensidad de un uso, que se relaciona a su vez con una mayor especialización (van Vliet et al., 2015) y con una transformación en la forma de aprovechamiento para un mayor rendimiento económico. En Asturias, un ejemplo de intensificación de los usos del suelo vinculados al sector primario son los monocultivos forestales con plantaciones de masas productoras de Pinus sp pl (principalmente P. pinaster y P. radiata) y Eucalyptus sp pl (mayoritariamente E. globulus) (Lomba et al., 2011) que destacan por su rápido crecimiento (Vadell et al., 2019). De hecho, la expansión de los eucaliptales ha supuesto una enorme transformación del paisaje, no solo en Asturias sino en todo el norte de España, quintuplicado su superficie durante los últimos 50 años y llegando a ocupar en la actualidad un 18 % de la superficie arbolada (López-Sánchez et al., 2021). Otro ejemplo de intensificación de usos es el aumento generalizado de las cabezas de ganado que se produce en paralelo con una disminución del número de explotaciones (en el Principado de Asturias, entre 1998 y 2022, las cabezas de ganado aumentaron un 6 % mientras que las explotaciones disminuyeron un 48 % (SADEI, 2022b), induciendo un patrón espacial de concentración de la carga ganadera (Corbelle y Crecente, 2008; Fernández-Nogueira y Corbelle, 2017)). Por otro lado, el abandono de usos se asocia con el cese o la reducción (extensificación) de las actividades de aprovechamiento (van Vliet et al., 2015) y provoca que, en antiguos campos de cultivo o pasto, se regenere de forma natural la vegetación nativa (Serra et al., 2014; Palmero-Iniesta et al., 2021). De esta manera, los ecosistemas tienden a recuperarse gracias a la sucesión secundaria tras el cese de perturbaciones, proceso que se asocia con la renaturalización pasiva (García et al., 2023).

Este trabajo tiene como objetivo general explorar, a escala regional, las relaciones potenciales entre aspectos demográficos clave, como la despoblación, y los desequilibrios territoriales en los cambios de usos del suelo vinculados al sector primario, que han transformado el paisaje del Principado de Asturias en décadas recientes, considerando dos niveles administrativos de análisis (municipio y parroquia). Los objetivos específicos son: (1) caracterizar de forma precisa las dinámicas demográficas ocurridas en el área de estudio en los últimos 60 años y sus patrones de variación geográfica; (2) analizar los procesos recientes de abandono e intensificación de usos agrícolas y forestales asociados a distintas trayectorias de cambio en el paisaje; y, por último, (3) explorar el papel de las dinámicas demográficas como impulsoras de los cambios de usos del suelo a diferentes escalas. Dado que en el área de estudio se han producido importantes transformaciones demográficas y socioeconómicas que han forzado un complejo patrón espacial polarizado entre abandono e intensificación, cabe esperar lo siguiente: (i) Las zonas donde disminuya la población tenderán a perder parte de la actividad económica, lo que favorecerá un abandono de usos del suelo (Kiziridis et al., 2022). Este proceso, combinado con las condiciones climáticas locales (elevada humedad ambiental y temperaturas templadas todo el año), facilitará un rápido crecimiento de la vegetación y una expansión forestal (Álvarez-Martínez et al., 2014; Hernández, 2018). (ii) Las relaciones entre las dinámicas demográficas y la intensificación agrícola o forestal no serán tan evidentes, ya que estos usos tienden a concentrarse en las zonas más aptas para el aprovechamiento (por ejemplo, en función de la pendiente, la fertilidad del suelo, etc.) (Corbelle y López-Iglesias, 2024), sin que necesariamente se correspondan con tendencias demográficas acusadas.

Material y métodos

Área de estudio

La Comunidad Autónoma del Principado de Asturias se localiza en el noroeste de España, ocupa 10 603 km2 y se divide administrativamente en 78 municipios y 857 parroquias o entidades colectivas de población (Fig. 1). Las parroquias se constituyen como agrupaciones de áreas habitadas con entidad propia y un origen histórico muy marcado y son propias de las provincias del norte de España, de Andalucía y de la Región de Murcia. El Principado de Asturias cuenta actualmente con una población de 1 009 599 habitantes (INE, 2024). El relieve presenta una orografía compleja y muy montañosa, pudiendo diferenciarse dos unidades principales: la rasa costera, compuesta por las llanuras existentes a lo largo de 345 km de costa, y las zonas montañosas, que incluyen las sierras y valles interiores, las sierras litorales y la Cordillera Cantábrica (Fernández, 2011). El rango de altitud se extiende desde el nivel del mar hasta los 2648 m en el punto más alto, estando la mitad del territorio localizado a una altitud superior a 400 m. La pendiente supera el 20 % en el 80 % de la región. Biogeográficamente, el área de estudio se incluye en la región eurosiberiana y cuenta con un clima oceánico, con abundantes precipitaciones que, generalmente, superan los 1000 mm anuales y temperaturas suaves durante todo el año (Fernández, 2011). En cuanto a la vegetación, más del 70 % de la superficie es considerada de tipo forestal, estando el 42.5 % del total cubierto por formaciones arboladas. Las principales especies nativas que componen los bosques de este territorio incluyen Fagus sylvatica, Castanea sativa, Quercus robur, Q. petraea, Q. pyrenaica y Betula sp pl (Gobierno del Principado de Asturias, 2011). Además, existen amplias zonas de plantaciones de especies como Pinus pinaster, P. sylvestris, P. radiata y Eucalyptus globulus.

 Localización del área de estudio y división según unidades administrativas en municipios y entidades colectivas de población o parroquias.

Figura 1. Localización del área de estudio y división según unidades administrativas en municipios y entidades colectivas de población o parroquias.

Figure 1.  Location of the study area and division according to administrative units into municipalities and population collective entities or parishes.

Dinámicas demográficas

Con el fin de describir las dinámicas demográficas generales ocurridas en el Principado de Asturias, se recopilaron datos relativos al número de habitantes a partir del Padrón Continuo del Instituto Nacional de Estadística (INE, 2023) para municipios (periodo 1960-2023) y parroquias (periodo 1981-2023). Para cada uno de estos niveles administrativos, se calculó y representó cartográficamente la tasa de cambio poblacional, definida como la diferencia entre el número de habitantes del primer y el último año disponible en la serie temporal, expresada en porcentaje respecto al valor inicial. Asimismo, para asegurar la coherencia temporal en los análisis estadísticos posteriores, se seleccionó un subconjunto de datos demográficos ajustado a la serie temporal disponible para el seguimiento de los cambios en los usos del suelo, excluyéndose los datos correspondientes a los años posteriores a 2018.

Cambios en los usos del suelo

Los cambios en los usos del suelo se evaluaron mediante el análisis de las trayectorias de cambio en los tipos de ocupación de la superficie terrestre (o clases de cubierta vegetal), que pueden considerarse indicadores directos de la presión socioeconómica sobre el uso del territorio (Martínez y Mollicone, 2012). Se calcularon tres índices de cambio en los usos del suelo, uno de abandono y dos de intensificación (forestal y agrícola), que se implementaron espacialmente a escala de municipio y de parroquia. Los índices expresaron el porcentaje de superficie afectada por las siguientes trayectorias de cambio de ocupación y, por tanto, de uso del suelo: (i) índice de abandono: conversión, por sucesión ecológica, de cultivos y pastos a matorrales y de matorrales a bosques; (ii) índice de intensificación forestal: transformación de cultivos, pastos, matorrales y bosques en plantaciones forestales de coníferas y eucaliptos; (iii) índice de intensificación agrícola: transición de matorrales, bosques y plantaciones a cultivos y pastos (Tabla 1). Estas trayectorias de cambio de ocupación se evaluaron mediante matrices de transición (Pérez-Hugalde et al., 2011). Además, para cada uno de estos índices, se cuantificó el nivel de agregación espacial en función del número de conexiones entre píxeles de la misma clase. Así, se obtiene un nivel de agregación del 100 % cuando los píxeles de una clase comparten el máximo de bordes posibles y el nivel del 0 % cuando no comparten ningún borde y están completamente desagregados (He et al., 2000).

Los índices se calcularon a partir de una serie temporal (1990 - 2018) de datos CORINE Land Cover (CLMS, 2019), que se combinó con la Información Geográfica de Referencia de Poblaciones del Instituto Geográfico Nacional (IGN, 2023) y con el Mapa Forestal de España a escala 1: 25000 (MITECO, 2012) para solventar los principales problemas de clasificación de la cartografía original en el área de estudio (delimitación de zonas urbanas y diferenciación entre plantaciones de frondosas no nativas -eucalipto- y bosques de frondosas nativas; García-Llamas et al., 2016). Esta cartografía mejorada, en formato ráster de 30 metros de resolución espacial, se reclasificó en siete tipos de ocupación del suelo: áreas urbanas, masas de agua (incluye aguas continentales y marinas, así como humedales), zonas de escasa vegetación (incluye pastos de montaña y canchales), zonas agrícolas, matorrales, plantaciones forestales (incluye masas de coníferas y eucaliptos) y bosques nativos.

Relación entre las dinámicas demográficas y los cambios de usos del suelo

Se ajustaron modelos de regresión lineal univariantes para ambos niveles de análisis (municipio y parroquia), considerando los índices de abandono e intensificación como variables respuesta y las tasas de cambio poblacional como variables independientes (Tabla 1). Con el fin de corregir problemas de heterocedasticidad en los residuos, se utilizaron errores estándar robustos de Huber-White, que permiten obtener inferencias válidas incluso cuando la varianza de los errores no es constante. En particular, se aplicó el estimador tipo HC3, recomendado con tamaños de muestra pequeños o moderados, ya que ajusta con mayor rigor la influencia de las observaciones atípicas (MacKinnon y White, 1985). La normalidad de los residuos fue verificada mediante el test de Shapiro-Wilk y la homocedasticidad con el test de Breusch-Pagan, mientras que el rendimiento de los modelos se estimó a través del coeficiente de determinación ajustado.

Asimismo, se implementó la prueba no paramétrica U de Mann-Whitney, que permitió comparar la distribución de los índices de abandono e intensificación en función de la dinámica demográfica (positiva o negativa) de cada unidad territorial (Mann y Whitney, 1947).

Para la realización de estos análisis se utilizaron los paquetes car (Fox y Weisberg, 2019), landscapemetrics (Hesselbart et al., 2025), lmtest (Zeileis y Hothorn, 2002), sandwich (Zeileis, 2004; Zeileis et al., 2020) y terra (Hijmans, 2015) para R versión 4.4.2. (R Core Team, 2023) a través del interfaz RStudio versión 2024.12.0+467 y QGIS versión 3.40.1-Bratislava (QGIS Development Team, 2024).

Tabla 1. Resumen de las variables utilizadas en los modelos de regresión y la prueba U de Mann-Whitney y su descripción.

Table 1. Summary of the variables used in the regression models and the Mann-Whitney U test and their description.

Tipo

Fuente

Variables

Periodo

Descripción y unidades

Dinámicas demográficas

Padrón Continuo. Instituto Nacional de Estadística

Tasa de cambio de la población por municipio

1960-2018

Diferencia de población por municipio entre 1960 y 2018 relativizado según la población de cada municipio en 1960 (%)

Tasa de cambio de la población por parroquia

1981-2018

Diferencia de población por parroquia entre 1981 y 2018 relativizado según la población de cada parroquia en 1981 (%)

Trayectorias de cambio en los usos del suelo

Corine Land Cover, Mapa Forestal Español e Información Geográfica de Referencia de Poblaciones

Índice de abandono de tierras

1990-2018

Sumatorio de la superficie ocupada por las trayectorias de abandono respecto a la superficie de la unidad administrativa (%)

Índice de intensificación de usos forestales

Sumatorio de la superficie ocupada por las trayectorias de intensificación de usos forestales respecto a la superficie de la unidad administrativa (%)

Índice de intensificación de usos agrícolas

Sumatorio de la superficie ocupada por las trayectorias de intensificación de usos agrícolas respecto a la superficie de la unidad administrativa (%)

Resultados

Dinámicas demográficas

El análisis demográfico regional puso de manifiesto que la población del Principado de Asturias aumentó entre 1960 y 1980, alcanzando en ese momento un máximo histórico de 1 130 000 habitantes, lo que representa un incremento del 13.56 % respecto a 1960. Posteriormente, entre 1980 y 2000, se observó un descenso poblacional, seguido de un repunte en torno a 2010. En la última década, la población se redujo de nuevo de forma paulatina, situándose en 2020 en 1 019 000 habitantes, una cifra similar a la registrada en 1970 (Fig. 2a). Centrándose en la dinámica demográfica ocurrida en el siglo XXI, la población se mantuvo estable entre 2000 y 2007, para aumentar levemente entre 2007 y 2009. A partir de este último año, comenzó un descenso sostenido hasta alcanzar en 2022 un total de 1 005 000 habitantes, el valor más bajo del siglo, solo un 1 % superior al registrado en 1960. No obstante, en 2023 se identificó un nuevo incremento poblacional (Fig. 2b).

El análisis de las tasas de cambio poblacional evidenció, tanto a nivel municipal como parroquial, una disminución en el número de habitantes en aproximadamente el 90 % del territorio. Casi la mitad de los municipios perdió un 50 % o más de su población entre 1960 y 2023, concentrándose los mayores niveles de despoblación (tasas de cambio superiores a un 80 %) principalmente en el suroccidente asturiano. Por el contrario, solo ocho municipios (el 10 % del total), todos ellos situados en la zona centro-norte, ganaron población durante este periodo, concentrando actualmente el 67 % de la población asturiana (Fig. 2c). En el caso de las parroquias, la situación fue similar, identificándose pérdidas de población del 50 % o más respecto a 1981 en más de la mitad de estas entidades administrativas. Sin embargo, se observaron algunas diferencias territoriales respecto a los municipios en cuanto a las zonas donde se registraron las mayores tasas de despoblación, ya que, de las nueve parroquias que perdieron más del 90 % de sus habitantes, cuatro se localizaron en la zona centro, tres en el occidente y las otras dos en la costa central y oriental. De las 857 parroquias existentes, solo 75 (aproximadamente el 9 %) ganaron población, localizándose mayoritariamente en la zona centro y en la costa oriental del área de estudio (Fig. 2d).

 Resumen de las dinámicas demográficas en Asturias. a) Evolución de la población total de Asturias por décadas en miles de habitantes (periodo 1960 – 2020). b) Evolución de la población total de Asturias por año en miles de habitantes (periodo 2000 – 2023). c) Tasa de cambio de la población por municipio entre 1960 y 2023 (%). d) Tasa de cambio de la población por parroquia entre 1981 y 2023 (%).

Figura 2. Resumen de las dinámicas demográficas en Asturias. a) Evolución de la población total de Asturias por décadas en miles de habitantes (periodo 1960 – 2020). b) Evolución de la población total de Asturias por año en miles de habitantes (periodo 2000 – 2023). c) Tasa de cambio de la población por municipio entre 1960 y 2023 (%). d) Tasa de cambio de la población por parroquia entre 1981 y 2023 (%).

Figure 2. Summary of demographic dynamics in Asturias. a) Population evolution of Asturias by decade in thousands of inhabitants (period 1960 – 2020). b) Population evolution of Asturias by year in thousands of inhabitants (period 2000 – 2023). c) Population change rate by municipality between 1960 and 2023 (%). d) Population change rate by parish between 1981 and 2023 (%).

 

Cambios en los usos y en la ocupación del suelo

Entre 1990 y 2018, la superficie total ocupada por bosques nativos y zonas agrícolas disminuyó en el Principado de Asturias un 3.84 % y un 14.60 %, respectivamente, mientras que la superficie ocupada por matorrales y plantaciones forestales aumentó un 3.03 % y un 20.53 % según la cartografía elaborada a partir de CORINE. Un 68.74 % del territorio no experimentó cambios en la ocupación del suelo en el periodo analizado.

Mientras que un 7.47 % del área de estudio experimentó abandono de los usos del suelo relacionados con el sector primario, un 10.72 % se vio afectado por procesos de intensificación (6.95 % intensificación forestal y 3.77 % intensificación agrícola). Destacan por su relevancia las transiciones de zonas de matorral a bosques nativos (3.19 %), y de bosques nativos a plantaciones forestales (3.31 %), relacionada con intensificación (Tabla 2). Las trayectorias de cambio de usos con mayor nivel de agregación espacial fueron las asociadas a la intensificación forestal (agregación del 85.60 %), seguidas por las de abandono (77.90 %) y, finalmente, las de intensificación agrícola (70.50 %).

Las áreas afectadas por una intensificación de los usos del suelo se localizaron principalmente en la zona costera y el occidente, mientras que los procesos de abandono se concentraron en la mitad meridional, siendo menos relevantes en el occidente. La intensificación agrícola fue, en general, más acusada en el occidente, mientras que la intensificación forestal se extendió a lo largo de toda la franja costera (Fig. 3a). Estos patrones también se observaron a nivel municipal y parroquial, como se muestra en la Figura 3b. Cabe destacar que ocho municipios y 256 parroquias, localizados mayoritariamente en la mitad sur, no se vieron afectados por intensificación forestal.

Tabla 2. Matriz de transición entre tipos de ocupación del suelo para el periodo 1990 y 2018, expresada como porcentaje respecto al total de la superficie del Principado de Asturias. Se destacan las trayectorias asociadas al abandono de usos (morado), a la intensificación forestal (verde) y a la intensificación agrícola (naranja). Además, se incluye la superficie (en km2) correspondiente a cada tipo de ocupación en los años 1990 y 2018.

Table 2. Transition matrix of land cover types for the period 1990 to 2018, expressed as the percentage of the total surface area of the Principality of Asturias. Highlighted are the trajectories associated with land abandonment (purple), forest intensification (green) and agricultural intensification (orange). The surface area (in km2) corresponding to each land cover type in the years 1990 and 2018 is included.

 

2018

Total 1990 (km2)

Urbano

Masa de agua

Zona de vegetación escasa

Zona agrícola

Matorral

Plantación forestal

Bosque nativo

 

1990

Urbano

11.30

0.00

0.03

0.05

0.06

0.03

0.04

895.64

Masa de agua

0.00

0.14

0.00

0.02

0.03

0.02

0.01

22.60

Zona de vegetación escasa

0.00

0.00

2.90

0.23

2.80

0.06

0.27

662.65

Zona agrícola

0.25

0.02

0.28

14.44

1.80

1.31

2.48

2176.72

Matorral

0.09

0.01

1.86

1.45

19.01

2.33

3.19

2955.98

Plantación forestal

0.03

0.02

0.11

0.98

2.13

8.18

1.19

1336.76

Bosque nativo

0.06

0.01

0.42

1.34

2.97

3.31

15.81

2529.24

Total 2018 (km2)

919.85

20.32

592.17

1958.37

3045.67

1611.21

2431.98

 

 

 

Distribución de las zonas afectadas por abandono (morado), intensificación forestal (verde) e intensificación agrícola (naranja). b) Distribución a nivel municipal (izquierda) y a nivel parroquial (derecha) del valor promedio por unidad administrativa de los índices de abandono (morado), de intensificación forestal (verde) y de intensificación agrícola (naranja).

Figura 3. a) Distribución de las zonas afectadas por abandono (morado), intensificación forestal (verde) e intensificación agrícola (naranja). b) Distribución a nivel municipal (izquierda) y a nivel parroquial (derecha) del valor promedio por unidad administrativa de los índices de abandono (morado), de intensificación forestal (verde) y de intensificación agrícola (naranja).

Figure 3. a) Distribution of the zones affected by abandonment (purple), forest intensification (green), and agricultural intensification (orange). b) Distribution at the municipal (left) and parish level (right) of the average value per administrative unit of the indices of abandonment (purple), forest intensification (green) and agricultural intensification (orange).

 

Relación entre las dinámicas demográficas y los cambios de usos del suelo

Las tasas de cambio poblacional estuvieron relacionadas de forma negativa (p < 0.001) con el índice de abandono, tanto a nivel municipal (periodo 1960-2018) como parroquial (periodo 1981-2018), siendo el ajuste del modelo más elevado en el caso de los municipios (R2 = 0.130) que en el de las parroquias (R2 = 0.036). Asimismo, se observó una relación negativa (p = 0.019) con el índice de intensificación forestal (R2 = 0.003) únicamente a nivel parroquial. Los modelos mostraron en general un bajo poder explicativo (Figura A1 del Anexo).

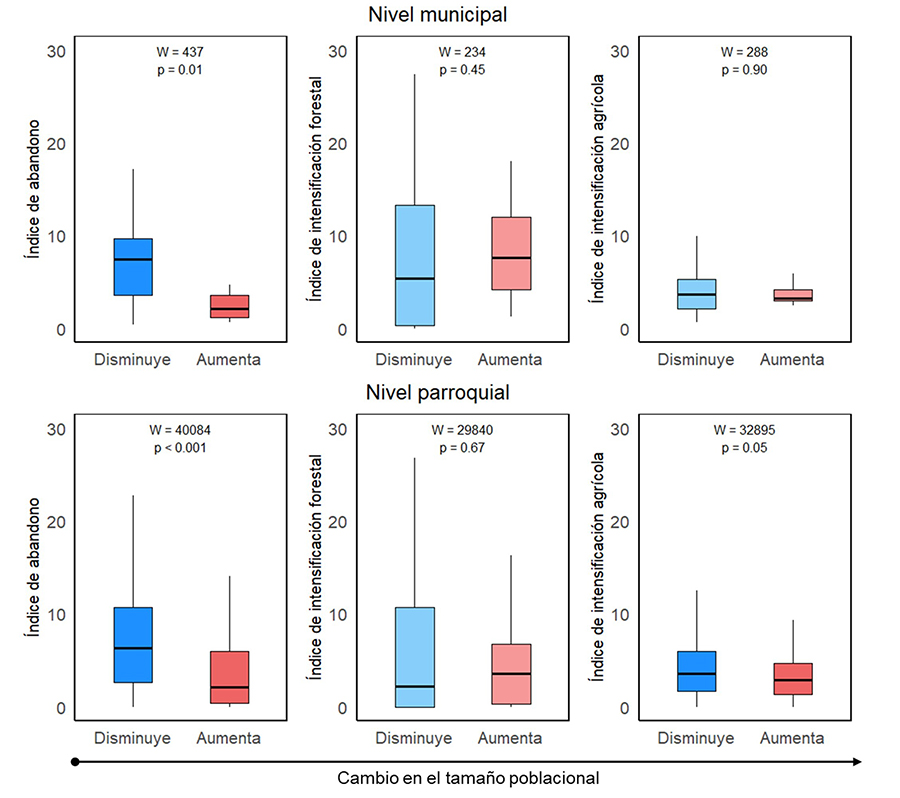
En cuanto a las diferencias entre territorios con dinámicas demográficas opuestas, se encontró que los municipios que experimentaron despoblación presentaron valores significativamente más altos (p < 0.01) en el índice de abandono (7.25 ± 4.29), en comparación con aquellos que registraron crecimiento poblacional (3.12 ± 3.00). Por su parte, las parroquias afectadas por despoblación no solo mostraron valores significativamente superiores en el índice de abandono (7.62 ± 6.33 frente a 4.22 ± 5.27; p < 0.001), sino también en el índice de intensificación agrícola (4.56 ± 4.24 frente a 3.45 ± 2.71; p < 0.05) (Fig. 4).

 

 Diagramas de cajas que representan los valores de los índices de abandono e intensificación de usos para las unidades administrativas consideradas (municipios y parroquias), clasificadas según su dinámica demográfica: disminución (azul) o aumento (rojo) de la población. Se incluyen los resultados de la prueba U de Mann Whitney (W) aplicada a cada índice y nivel de análisis. Las diferencias estadísticamente significativas se destacan con tonos de color más intensos.

Figura 4. Diagramas de cajas que representan los valores de los índices de abandono e intensificación de usos para las unidades administrativas consideradas (municipios y parroquias), clasificadas según su dinámica demográfica: disminución (azul) o aumento (rojo) de la población. Se incluyen los resultados de la prueba U de Mann Whitney (W) aplicada a cada índice y nivel de análisis. Las diferencias estadísticamente significativas se destacan con tonos de color más intensos.

Figure 4. Boxplots showing the values of the land-use abandonment and intensification indices for the administrative units considered (municipalities and parishes), classified according to their demographic trend: population decline (blue) or growth (red). The results of the Mann Whitney U test (W) applied to each index and level of analysis are included. Statistically significant differences are highlighted using more intense colour tones.

Discusión

Los resultados obtenidos muestran que, en el Principado de Asturias, el índice de abandono es significativamente mayor en aquellos municipios y parroquias donde se registra una disminución de la población. Esta idea está en consonancia con tendencias a escala global donde los factores demográficos, como la despoblación y el éxodo de la población rural hacia áreas urbanas, se han identificado como impulsores clave del abandono de los usos del suelo (Rey Benayas et al., 2007). En este sentido estudios realizados en el noroeste de España, donde se incluye la zona de estudio, (Serra et al., 2014; Corbelle y Crecente, 2014), también establecen relaciones entre la despoblación y la expansión de los matorrales y los bosques nativos como consecuencia del abandono de los usos agrícolas y ganaderos. Asimismo, los resultados apuntan a una influencia, aunque limitada, de las dinámicas demográficas en los procesos de intensificación. Las parroquias afectadas por despoblación presentan valores significativamente más elevados de intensificación agrícola, lo que sugiere que los factores demográficos, por si solos, no explicarían completamente las trayectorias de cambio en los usos del suelo. Este resultado plantea la necesidad de considerar otros factores explicativos, como las características físicas del terreno o variables de tipo económico. La intensificación suele asociarse a procesos de especialización productiva, los cuales están, en muchos casos, vinculados a un mayor nivel de mecanización o al uso intensivo de insumos químicos, lo que permite mantener la producción con un menor volumen de trabajadores. En este contexto, el uso de nuevas tecnologías y métodos de explotación podría también vincularse con una reducción en el volumen de trabajadores (Choi Mendizábal y Calero, 2018), lo que contribuiría a explicar la relación identificada entre despoblación e intensificación en zonas rurales donde la agricultura y la ganadería han sido históricamente las principales actividades económicas (Loras-Gimeno et al., 2025). Cabe destacar que esta relación entre despoblación e intensificación no se identifica a nivel municipal, lo que sugiere que las dinámicas demográficas y de uso del suelo responden a procesos complejos y escalo-dependientes, mostrando diferentes efectos en función de la escala espacial y temporal. Es importante tener en cuenta, además, que los diferentes resultados obtenidos a las distintas escalas de análisis pueden estar influidos por el denominado Modifiable Areal Unit Problem (MAUP). Aunque en este estudio no se aplicaron promedios para la agregación de datos, sino que se utilizaron directamente los valores correspondientes a cada unidad administrativa, existe la posibilidad de que el mayor tamaño de los municipios conlleve una pérdida de variabilidad interna en la información y, por tanto, un efecto de agregación (Jelinski y Wu, 1996). Este fenómeno podría dar lugar a un incremento artificial del coeficiente de determinación (R²) en los modelos estimados a nivel municipal.

El análisis de las dinámicas demográficas ocurridas en el Principado de Asturias revela un incremento poblacional a escala regional durante la primera parte del periodo de estudio (1960-80), asociado al proceso de industrialización en los sectores siderúrgico y minero, que contribuyó al mantenimiento de unas altas tasas de natalidad. En las dos décadas posteriores, el cierre de las explotaciones mineras y la reconversión industrial, junto con la caída de la natalidad, propiciaron un descenso progresivo de la población (de la Fuente Moreno y Monasterio Escudero, 2001; Arango, 2021). Durante la primera década del siglo XXI, se registró un periodo de crecimiento económico, acompañado por un notable aporte migratorio internacional, procedente de países como Colombia, Venezuela, Ecuador y Rumanía (SADEI, 2022a). Sin embargo, la crisis económica iniciada en 2008 dio paso a una nueva fase de declive demográfico, asociada a una disminución de la natalidad, un aumento de la mortalidad y una migración interna hacia otras Comunidades Autónomas, como Madrid y Castilla y León. Entre 2001 y 2019, el saldo vegetativo (diferencia entre nacimientos y defunciones) fue negativo en unas 110 000 personas, aunque parcialmente compensado por un saldo migratorio positivo de aproximadamente 60 000 habitantes. Los mayores saldos negativos de crecimiento vegetativo se registraron en áreas urbanas, como Gijón y Oviedo, aunque estos se vieron contrarrestados por saldos migratorios positivos (Arango, 2021). Finalmente, en los años más recientes, se observa un nuevo repunte poblacional, impulsado por el auge de la inmigración, tanto internacional como nacional, con un incremento poblacional significativo en las principales áreas urbanas. El fenómeno de la despoblación rural, asociado en buena medida al éxodo hacia áreas urbanas, es un fenómeno de alcance global (Naciones Unidas, 2019). En la región estudiada, mientras que en 1960 solamente un municipio se encontraba en riesgo de despoblación de acuerdo con el criterio del Comisionado del Gobierno frente al Reto Demográfico (2018), en 2023 esta situación afecta a 25 de los 78 municipios de la región. Paralelamente, las tres principales ciudades asturianas (Oviedo, Gijón y Avilés) han aumentado su población, pasando de concentrar el 30 % del total regional en 1960 al 56 % en 2023, absorbiendo buena parte del flujo migratorio procedente de zonas rurales (MITMA, 2025).

La evaluación de las trayectorias de cambio de uso y ocupación del suelo entre 1990 y 2018 también revela un patrón espacio-temporal complejo y dependiente de la escala. Los resultados muestran que casi una cuarta parte de la superficie del Principado de Asturias experimentó algún cambio en el tipo de ocupación, siendo más relevantes aquellos relacionados con procesos de intensificación. Durante las últimas tres décadas, la superficie ocupada por plantaciones forestales y matorrales aumentó, un 20 y un 3 % respectivamente, mientras que la ocupada por bosques nativos y zonas agrícolas disminuyó. El aumento de las plantaciones forestales con fines productivos responde principalmente a la demanda de pulpa para papel, lo que ha favorecido, desde finales del siglo XX, la expansión del eucalipto en las zonas rurales costeras del noroeste de España (Teixido et al., 2010; Fernández-Nogueira y Corbelle, 2017; Vadell et al., 2019). Tendencias similares se han documentado en regiones cercanas, como el norte de Portugal, donde las plantaciones de eucalipto han sustituido superficies significativas de bosque nativo, reduciendo la riqueza de especies y disminuyendo la complejidad estructural del paisaje (Lomba et al., 2011). Por su parte, la plantación de especies forestales en antiguos terrenos de cultivo o pasto se ha visto favorecida por la inclusión de España en la Política Agraria Común (PAC) en 1992 (Valbuena-Carabaña et al., 2010; Vadell et al., 2016; García-Llamas et al., 2019). Cabe destacar también la transformación del paisaje ocurrida en el área de estudio como consecuencia de la reducción o abandono de la presión de uso en zonas agrícolas y de pasto, lo que ha favorecido un aumento en la presencia de matorral y bosque en áreas concretas del territorio (Teixido et al., 2010). Este tipo de transición se vincula a cambios relevantes en las prácticas agroganaderas, tales como la disminución del pastoreo extensivo y de las cortas para la cama del ganado, el aumento de cultivos forrajeros mecanizados o la intensificación de las explotaciones en áreas concretas del territorio (Calvo-Iglesias et al., 2009), lo que a su vez puede asociarse a la ya mencionada PAC. Este sistema de ayudas ha favorecido la especialización, productividad y competitividad de los sistemas agroganaderos, en detrimento de las pequeñas explotaciones (García-Llamas et al., 2019).

A escala regional, se identifica un patrón geográfico claramente diferenciado que refleja la agregación espacial de las trayectorias de cambio en el paisaje, con una mayor incidencia del abandono en las áreas montañosas del sur del Principado de Asturias y una mayor relevancia de la intensificación forestal en las zonas costeras. Esta zonificación es coherente con lo descrito en regiones vecinas, como Galicia (Corbelle y Crecente, 2014) o Cantabria (Delgado Viñas, 2019). En este último estudio, se demuestra que las zonas rurales, a menudo situadas en zonas montañosas, son más propensas a la despoblación y el abandono de usos debido a su limitada capacidad de diversificación económica, peor acceso a otros núcleos poblacionales y condiciones climáticas y orográficas más adversas para el desarrollo de actividades productivas. Por su parte, la ubicación costera de las zonas de intensificación forestal se relaciona con las condiciones climáticas favorables para el crecimiento de Eucalyptus globublus, una especie que muestra baja tolerancia a las heladas frecuentes en áreas del interior (López-Sánchez et al., 2021). No obstante, la introducción de nuevas especies, como el Eucalyptus nitens, con mayor resistencia a heladas, podría modificar la distribución actual de las plantaciones en Asturias. Esta introducción está considerada en el primer borrador de Revisión del Plan Forestal de Asturias 2021-2036 (Consejería de Medio Rural y Cohesión Territorial, 2021).

A pesar de la consistencia de los resultados obtenidos, este estudio presenta una serie de limitaciones que deben ser consideradas: (i) La principal limitación se relaciona con el uso de entidades administrativas (municipios y parroquias) como unidades de análisis. Estas unidades muestran una considerable variación en cuanto a su superficie (con tamaños medios de 135.96 km² para municipios y 12.36 km² para parroquias, y máximos de 823.58 km² y 88.93 km², respectivamente), lo que puede influir en los resultados obtenidos. A ello se suma la influencia del Modificable Areal Unit Problem (MAUP), ya mencionado anteriormente, que puede afectar la interpretación espacial de los datos al depender de la escala de delimitación de las unidades de análisis. Investigaciones realizadas en paisajes heterogéneos del norte de España han evidenciado que las entidades administrativas convencionales pueden resultar demasiado gruesas para capturar adecuadamente la complejidad y variabilidad del paisaje que, a menudo, se manifiesta a escalas más finas (Corbelle y Crecente, 2014). Por ello, el uso de cuadrículas más homogéneas y de menor tamaño permitiría obtener estimaciones más precisas y revelar patrones y procesos no detectables ni siquiera a nivel parroquial (Søder, 2023). En el presente estudio, sin embargo, la elección de las escalas de análisis estuvo condicionada por la disponibilidad de datos demográficos, que únicamente están accesibles a nivel municipal y parroquial. En este contexto, pese a las limitaciones señaladas, se considera que estas entidades pueden ofrecer un equilibrio razonable entre resolución espacial y disponibilidad de datos a escala regional (Roces-Díaz et al., 2018). (ii) Otro aspecto que podría afectar a los resultados del estudio se asocia con las diferencias en la duración de las series temporales empleadas para los diferentes niveles de análisis. Con el objetivo de identificar los efectos de las dinámicas demográficas sobre los cambios en los usos del suelo, se decidió emplear las series históricas más largas disponibles para cada nivel administrativo, resultando en un periodo de análisis más amplio a nivel municipal (desde 1960) que parroquial (desde 1981). No obstante, los cambios de usos se evaluaron exclusivamente para el periodo 1990-2018, lo que introduce un desajuste temporal entre las variables consideradas. (iii) Adicionalmente, surge otra limitación en relación con las dinámicas de paisaje estudiadas. Al considerarse solo las principales transiciones vinculadas al abandono y la intensificación agrícola y forestal, se obtiene una representación parcial del conjunto de dinámicas territoriales. No se tienen en cuenta otros procesos de cambio como, por ejemplo, la urbanización o el abandono de plantaciones forestales, que puede dar lugar a formaciones mixtas con especies nativas y exóticas. La exclusión de estas transiciones reduce la capacidad del análisis para reflejar la complejidad ecológica y socioeconómica del paisaje.

Conclusiones

El análisis combinado de series históricas de datos demográficos y de tipos de ocupación del suelo permitió identificar que, en las décadas recientes, la intensificación de los usos agrícola y forestal afectó al 10.72 % de la superficie asturiana, mientras que el abandono de tierras alcanzó el 7.47 %.  Asimismo, los resultados evidencian que la despoblación, presente en el 90% de los municipios y parroquias, no constituye un determinante inequívoco de estos procesos de transformación del paisaje, lo que sugiere la intervención de otros factores socioeconómicos o ambientales en la configuración de las dinámicas territoriales recientes.

Contribución de los autores

Lucía García-Candanedo: Conceptualización, Depuración de datos, Metodología y Redacción - Borrador original. Susana Suárez-Seoane: Gestión de Proyecto, Conceptualización y Redacción – Revisión y edición. Daniel Pfitzer: Metodología. Mario Quevedo: Gestión de proyecto y Redacción – Revisión y edición. José V. Roces-Díaz: Conceptualización y Redacción – Revisión y edición.

Disponibilidad de datos y código

Los datos utilizados para la realización de este trabajo se encuentran disponibles públicamente en las fuentes citadas en el texto.

Financiación, permisos requeridos, potenciales conflictos de interés y agradecimientos

Este trabajo se ha realizado gracias a la financiación del Programa Complementario de Biodiversidad, en el marco del Plan de Recuperación, Transformación y Resiliencia, financiado por la Unión Europea NEXT GENERATION EU (MRR-24-BIODIVERSIDAD-BIO10), el proyecto LANDSUSFIRE (PID2022-139156OB-C22) del Ministerio de Ciencia e Innovación de España en el marco del Programa Nacional de Fomento de la Investigación Científico-Técnica (2021-2023) y el proyecto FIREPROs “FIRe impacts on Environmental PROcesses” (IDE/2024/000780) del programa de ayudas para grupos de investigación consolidados de organismos públicos de I+D+i del Principado de Asturias. El coautor Daniel Pfitzer cuenta con la financiación del Programa Severo Ochoa de becas predoctorales del Gobierno del Principado de Asturias (AYUD0029T01).

Los autores/as declaran no tener ningún conflicto de intereses.

Referencias

Álvarez-Martínez, J. M., Suárez-Seoane, S., Stoorvogel, J. J., & de Luis Calabuig, E. (2014). Influence of land use and climate on recent forest expansion: A case study in the Eurosiberian-Mediterranean limit of north-west Spain. Journal of Ecology, 102(4), 905–919. https://doi.org/10.1111/1365-2745.12257

Arango, J. (2021). Reseña demográfica de Asturias. Envejecimiento y despoblamiento. Prensa Ibérica. Disponible en: https://estaticos-cdn.prensaiberica.es/epi/public/content/file/original/2021/1112/16/resen-a-demogra-fica-asturias-044767f.pdf

Barati, A. A., Zhoolideh, M., Azadi, H., Lee, J. H., & Scheffran, J. (2023). Interactions of land-use cover and climate change at global level: How to mitigate the environmental risks and warming effects. Ecological Indicators, 146, 109829. https://doi.org/10.1016/J.ECOLIND.2022.109829

Calvo-Iglesias, M. S., Fra-Paleo, U., & Diaz-Varela, R. A. (2009). Changes in farming system and population as drivers of land cover and landscape dynamics: The case of enclosed and semi-openfield systems in Northern Galicia (Spain). Landscape and Urban Planning, 90(3–4), 168–177. https://doi.org/10.1016/J.LANDURBPLAN.2008.10.025

Choi Mendizábal, A.B., & Calero, J. (2018). El capital humano en los procesos de automatización: una primera aproximación al caso español. Cuadernos Económicos del ICE, 95, 13-32. ISSN 0210-2633

CLMS – Copernicus Land Monitoring Service. (2019). CORINE Land Cover 1990/2018 (vector/raster 100m), Europe,6-yearly. Disponible en: https://land.copernicus.eu/en/products/corine-land-cover

Comisionado del Gobierno frente al Reto Demográfico. (2018). Diagnóstico estrategia nacional frente al reto demográfico. Eje despoblación. Ministerio de Política Territorial y Función Pública. Disponible en: https://www.miteco.gob.es/content/dam/miteco/es/reto-demografico/temas/analisis-cartografia/diagnostico_eje_despoblacion_tcm30-517769.pdf 

Consejería de Medio Rural y Cohesión Territorial. (2021). Revisión del Plan Forestal de Asturias 2021-2036 [Borrador]. Plataforma Forestal de Asturias (PROFOAS). Disponible en: https://www.profoas.com/pdf/documentacion/Revision-Plan-Forestal-Asturias-2021-2036-I-BORRADOR-2.pdf

Corbelle, E., & Crecente, R. (2008). El abandono de tierras: concepto teórico y consecuencias. Revista Galega de Economía,17(2). ISSN 1132-2799.

Corbelle, E., & Crecente, R. (2014). Urbanización, forestación y abandono. Cambios recientes en el paisaje de Galicia. Revista Galega de Economía, 23(1). https://doi.org/10.15304/RGE.23.1.2445

Corbelle, E., & López-Iglesias, E. (2024). Farmland Abandonment and Afforestation—Socioeconomic and Biophysical Patterns of Land Use Change at the Municipal Level in Galicia, Northwest Spain. Land 2024, Vol. 13, 13(9). https://doi.org/10.3390/LAND13091394

De la Fuente Moreno, Á., & Monasterio Escudero, C. (2001). Capitalización y crecimiento de la economía asturiana (1955-1998). 460. https://EconPapers.repec.org/RePEc:fbb:booklb:20113

Delgado Viñas, C. (2019). Depopulation processes in European rural areas: a case of study of Cantabria (Spain). European Countryside, 11(3), 341–369. https://doi.org/10.2478/euco-2019-0021

Ellis, E. C., Gauthier, N., Klein Goldewijk, K., Bliege Bird, R., Boivin, N., Díaz, S., … & Watson, J. E. M. (2021). People have shaped most of terrestrial nature for at least 12,000 years. Proceedings of the National Academy of Sciences of the United States of America, 118(17), e2023483118. https://doi.org/10.1073/PNAS.2023483118 

Fernández, J. (2011). Caracterización de las comarcas agrarias de España. Tomo 7: Principado de Asturias. Ministerio de medio Ambiente, Medio Rural y Marina (MARM). Madrid.  Disponible en: https://www.miteco.gob.es/content/dam/miteco/es/ministerio/servicios/publicaciones/TOMO%207%20Asturias.%20Primeras%20p%C3%A1ginas_tcm30-101358.pdf

Fernández-Nogueira, D., & Corbelle, C. (2017). Cambios en los usos del suelo de la Península Ibérica: Un meta-análisis para el periodo 1985-2015. Biblio3W Revista Bibliográfica de Geografía y Ciencias Sociales, 22, 1215. ISSN 1138-9796.

Fox, J., & Weisberg, S. (2019). An R Companion to Applied Regression, Third edition. Sage, Thousand Oaks CA. Versión: 3.1-3. Disponible en: https://www.john-fox.ca/Companion/

García, D., Suárez-Seoane, S., Jiménez-Alfaro, B., Álvarez, D., Álvarez-Álvarez, P., … & Santin, C. (2023). Renaturalización pasiva en la Cordillera Cantábrica: bases y retos científicos para una sostenibilidad socio-ecológica. Ecosistemas, 32(1), 2507–2507. https://doi.org/10.7818/ECOS.2507

García-Llamas, P., Calvo, L., Álvarez-Martínez, J. M., & Suárez-Seoane, S. (2016). Using remote sensing products to classify landscape. A multi-spatial resolution approach. International Journal of Applied Earth Observation and Geoinformation, 50, 95–105. https://doi.org/10.1016/J.JAG.2016.03.010

García-Llamas, P., Geijzendorffer, I. R., García-Nieto, A. P., Calvo, L., Suárez-Seoane, S., & Cramer, W. (2018). Impact of land cover change on ecosystem service supply in mountain systems: a case study in the Cantabrian Mountains (NW of Spain). Regional Environmental Change 2018 19:2, 19(2), 529–542. https://doi.org/10.1007/S10113-018-1419-2

Gobierno del Principado de Asturias (2011). El monte en Asturias. Disponible en: https://www.asturias.es/Asturias/descargas/PDF_TEMAS/Agricultura/Politica%20Forestal/el_monte_en_asturias.pdf

He, H. S., DeZonia, B. E., & Mladenoff, D. J. (2000). An aggregation index (AI) to quantify spatial patterns of landscapes. Landscape Ecology, 15(7), 591–601. https://doi.org/10.1023/A:1008102521322/METRICS

Hernández, L. (2018). Informe incendios forestales 2018: El polvorín del noroeste. WWF España. Disponible en: https://www.wwf.es/?47500/Informe-incendios-forestales-2018-El-polvorn-del-noroeste

Hesselbarth, M. H. K., Sciaini, M., Nowosad, J., & Hanss, S. (2025). Package ‘landscapemetrics’: Landscape Metrics for Categorical Map Patterns. Versión 2.2. Disponible en: https://CRAN.R-project.org/package=landscapemetrics.

Hijmans, R.J. (2025). Package ‘terra’: Spatial Data analysis. Versión 1.8-29. Disponible en: https://cran.r-project.org/web/packages/terra/index.html

IGN – Instituto Geográfico Nacional. (2023). Información Geográfica de Referencia de Poblaciones (IGR_POBLACIONES 2023 CC-BY 4.0). Asturias. Disponible en: https://centrodedescargas.cnig.es/CentroDescargas/detalleArchivo

INE – Instituto Nacional de Estadística. (2023). Estadística del Padrón Continuo. Disponible en: https://www.ine.es/dyngs/INEbase/operacion.htm?c=Estadistica_C&cid=1254736177012&menu=ultiDatos&idp=1254734710990

INE – Instituto Nacional de Estadística. (2024). Distribución de unidades poblacionales por comunidades autónomas y provincias. Nomencátor: Población por unidad poblacional. Disponible en: https://www.ine.es/dyngs/INEbase/operacion.htm?c=Estadistica_C&cid=1254736177010&menu=resultados&idp=1254735572981

Kiziridis, D. A., Mastrogianni, A., Pleniou, M., Karadimou, E., Tsiftsis, S., Xystrakis, F., & Tsiripidis, I. (2022). Acceleration and Relocation of Abandonment in a Mediterranean Mountainous Landscape: Drivers, Consequences, and Management Implications. Land, 11(3). https://doi.org/10.3390/land11030406

Jelinski, D. E., & Wu, J. (1996). The modifiable areal unit problem and implications for landscape ecology. Landscape Ecology 1996 11:3, 11(3), 129–140. https://doi.org/10.1007/BF02447512

Lambin, E. F., Turner, B. L., Geist, H. J., Agbola, S. B., Angelsen, A., Bruce, J. W., … & Xu, J. (2001). The causes of land-use and land-cover change: moving beyond the myths. Global Environmental Change, 11(4), 261–269. https://doi.org/10.1016/S0959-3780(01)00007-3

Lomba, A., Vicente, J., Moreira, F., & Honrado, J. (2011). Effects of multiple factors on plant diversity of forest fragments in intensive farmland of Northern Portugal. Forest Ecology and Management, 262(12), 2219–2228. https://doi.org/10.1016/J.FORECO.2011.08.014

López-Sánchez, C.A., Castedo-Dorado, F., Cámara-Obregón, A., & Barrio-Anta, M. (2021). Eucalyptus globulus Labill. En el Norte de España: análisis de la superficie ocupada y su evolución, hábitat óptimo y expansión potencial baja escenarios de cambio climático. Forest Ecology and Management, 481, 118723. https://doi.org/10.1016/j.foreco.2020.118723

Loras-Gimeno, D., Díaz-Lanchas, J., & Gómez-Bengoechea, G. (2025). Rural depopulation in the 21st century: A systematic review of policy assessments. Regional Science Policy & Practice, 17(5), 100176. https://doi.org/10.1016/J.RSPP.2025.100176

MacKinnon, J. G., & White, H. (1985). Some heteroskedasticity-consistent covariance matrix estimators with improved finite sample properties. Journal of Econometrics, 29(3), 305–325. https://doi.org/10.1016/0304-4076(85)90158-7

Mann, H.B. & Whitney, D. R. (1947). On a test of whether one of two random variables is stochastically larger than the other. The Annals of Mathematical Statistics, 18(1), 50-60. https://www.jstor.org/stable/2236101

MAPA – Ministerio de Agricultura, Pesca y Alimentación – 2021. Demografía de la población rural en 2020. AgrInfo 31. Subdirección General de Análisis, Coordinación y Estadística. Disponible en: https://www.mapa.gob.es/es/ministerio/servicios/analisis-y-prospectiva/estudios-analisis/agrinfo.aspx

Marín, S., & Mínguez, R. 2023. + 45 años de evolución de los principales sectores de la economía española. Consejo General de Economistas de España. Cámara de Comercio de España. Disponible en: https://www.camara.es/evolucion-sectorial-economia-espanola--ultimos-47-anos

Martínez, S., & Mollicone, D. (2012). From Land Cover to Land Use: A Methodology to Assess Land Use from Remote Sensing Data. Remote Sensing 2012, Vol. 4, Pages 1024-1045, 4(4), 1024–1045. https://doi.org/10.3390/RS4041024

MITMA – Ministerio de Transportes, Movilidad y Agenda Urbana – (2025). Atlas Digital de Áreas Urbanas. Disponible en: https://atlasau.mitma.gob.es/

MITECO – Ministerio para la Transición Ecológica y el Reto Demográfico – 2012. Mapa Forestal de España a escala 1:25.000 (MFE25). Disponible en: https://www.miteco.gob.es/es/biodiversidad/temas/inventarios-nacionales/mapa-forestal-espana/mfe_25.html

Naciones Unidas. (2019). World Urbanization Prospects: The 2018 revision (ST/ESA/SER.A/420). Department of Economic and Social Affairs, Population Division, United Nations. New York. Disponible en: https://www.un.org/en/desa/2018-revision-world-urbanization-prospects

Palmero-Iniesta, M., Pino, J., Pesquer, L., & Espelta, J. M. (2021). Recent forest area increase in Europe: expanding and regenerating forests differ in their regional patterns, drivers and productivity trends. European Journal of Forest Research 2021 140:4, 140(4), 793–805. https://doi.org/10.1007/S10342-021-01366-Z

Pérez-Hugalde, C., Romero-Calcerrada, R., Delgado-Pérez, P., & Novillo, C. J. (2011). Understanding land cover change in a Special Protection Area in Central Spain through the enhanced land cover transition matrix and a related new approach. Journal of Environmental Management, 92(4), 1128–1137. https://doi.org/10.1016/J.JENVMAN.2010.11.032

QGIS Development Team (2024). QGIS Geographic Information System (Version 3.40). Open-Source Geospatial Foundation. Disponible en: https://qgis.org

R Core Team (2023). R: A Language and Environment for Statistical Computing. R Foundation for Statistical Computing, Vienna, Austria. Disponible en: https://www.R-project.org/

Ramankutty, N., Graumlich, L., Achard, F., Alves, D., Chhabra, A., DeFries, R. S., … & Turner, B. L. (2006). Global Land-Cover Change: Recent Progress, Remaining Challenges. 9–39. https://doi.org/10.1007/3-540-32202-7_2

Regos, A., Ninyerola, M., Moré, G., & Pons, X. (2015). Linking land cover dynamics with driving forces in mountain landscape of the Northwestern Iberian Peninsula. International Journal of Applied Earth Observation and Geoinformation, 38, 1–14. https://doi.org/10.1016/J.JAG.2014.11.010

Rey Benayas, J. M., Martins, A., Nicolau, J. M., & Schulz, J. J. (2007). Abandonment of agricultural land: An overview of drivers and consequences. CAB Reviews: Perspectives in Agriculture, Veterinary Science, Nutrition and Natural Resources, 2. https://doi.org/10.1079/PAVSNNR20072057 

Roces-Díaz, J. V., Vayreda, J., Banqué-Casanovas, M., Díaz-Varela, E., Bonet, J. A., Brotons, L., … & Martínez-Vilalta, J. (2018). The spatial level of analysis affects the patterns of forest ecosystem services supply and their relationships. Science of The Total Environment, 626, 1270–1283. https://doi.org/10.1016/J.SCITOTENV.2018.01.150

SADEI – Sociedad Asturiana de Estudios Económicos e Industriales – (2022a). La repercusión de la población extranjera. Nota de prensa. Disponible en: https://www.sadei.es/sadei/Resources/PX/Databases/Notas_prensa/02/Nota_Extranjeros.pdf

SADEI – Sociedad Asturiana de Estudios Económicos e Industriales – (2022b). Explotaciones ganaderas y cabaña según especie. Disponible en: https://www.sadei.es/sadei/agricultura-y-ganaderia/ganaderia_270_1_ap.html

SADEI – Sociedad Asturiana de Estudios Económicos e Industriales – (2023). Empleo según condición laboral y sector de actividad (R4). Disponible en: https://www.sadei.es/sadei/mercado-laboral/empleo_173_1_ap.html

Schettkat, R., & Yocarini, L. 2003. The shift to services: a review of the literature. Institute of Labor Economics Discussion Paper (IZA DP) 964. https://www.econstor.eu/handle/10419/20200

Serra, P., Vera, A., Tulla, A. F., & Salvati, L. (2014). Beyond urban–rural dichotomy: Exploring socioeconomic and land-use processes of change in Spain (1991–2011). Applied Geography, 55, 71–81. https://doi.org/10.1016/J.APGEOG.2014.09.005

Søder, P. H. (2024). Scale-dependent complexity in administrative units and implications for data-driven decision-making models. Planning Theory, 23(2), 131–156. https://doi.org/10.1177/14730952231203151 

Teixido, A. L., Quintanilla, L. G., Carreño, F., & Gutiérrez, D. (2010). Impacts of changes in land use and fragmentation patterns on Atlantic coastal forests in northern Spain. Journal of Environmental Management, 91(4), 879–886. https://doi.org/10.1016/J.JENVMAN.2009.11.004

van Vliet, J., de Groot, H. L. F., Rietveld, P., & Verburg, P. H. (2015). Manifestations and underlying drivers of agricultural land use change in Europe. Landscape and Urban Planning, 133, 24–36. https://doi.org/10.1016/J.LANDURBPLAN.2014.09.001

Vadell, E., de-Miguel, S., & Pemán, J. (2016). Large-scale reforestation and afforestation policy in Spain: A historical review of its underlying ecological, socioeconomic and political dynamics. Land Use Policy, 55, 37–48. https://doi.org/10.1016/J.LANDUSEPOL.2016.03.017

Vadell, E., de Miguel , S., & Pemán, J. (2019). La repoblación forestal en España: especies utilizadas desde 1877 a partir de las cartografías forestales. Historia Agraria, 77, 107-136. https://doi.org/10.26882/histagrar.077e05v 

Valbuena-Carabaña, M., de Heredia, U. L., Fuentes-Utrilla, P., González-Doncel, I., & Gil, L. (2010). Historical and recent changes in the Spanish forests: A socio-economic process. Review of Palaeobotany and Palynology, 162(3), 492–506. https://doi.org/10.1016/J.REVPALBO.2009.11.003

Winkler, K., Fuchs, R., Rounsevell, M., & Herold, M. (2021). Global land use changes are four times greater than previously estimated. Nature Communications 2021 12:1, 12(1), 2501-. https://doi.org/10.1038/s41467-021-22702-2

Zeileis, A. (2004). Econometric Computing with HC and HAC Covariance Matrix Estimators. Journal of Statistical Software, 11, 1–17. https://doi.org/10.18637/JSS.V011.I10

Zeileis, A., & Hothorn, T. (2002). Diagnostic Checking in Regression Relationships. R News, 2(3), 7–10. Versión: 0.9-40. Disponible en: https://CRAN.R-project.org/doc/Rnews/

Zeileis, A., Köll, S., & Graham, N. (2020). Various Versatile Variances: An Object-Oriented Implementation of Clustered Covariances in R. Journal of Statistical Software, 95, 1–36. https://doi.org/10.18637/JSS.V095.I01


 

Anexo / Appendix

 

Representación mediante nube de puntos de los valores de los índices de abandono e intensificación de usos del suelo para cada nivel de análisis (municipio y parroquia).

Figura A1. Representación mediante nube de puntos de los valores de los índices de abandono e intensificación de usos del suelo para cada nivel de análisis (municipio y parroquia).

Figure A1. Scatterplot showing the values of the land-use abandonment and intensification indices for each level of analysis (municipality and parish).