ecosistemas

ISSN 1697-2473

Open access / CC BY-NC 4.0

© 2026 Los autores [ECOSISTEMAS no se hace responsable del uso indebido de material sujeto a derecho de autor] / © 2026 The authors [ECOSISTEMAS is not responsible for the misuse of copyrighted material]

 

Ecosistemas 35(1): 3039 [enero - abril / January - April, 2026]: https://doi.org/10.7818/ECOS.3039

 

MONOGRÁFICO: Ecología del despoblamiento rural/ MONOGRAPHIC: Ecology of rural depopulation

Editores invitados / Guest editors: Francisco Lloret y Adrián Escudero

 

ARTÍCULO DE INVESTIGACIÓN / RESEARCH ARTICLE

 


Caracterización de la biodiversidad multi-trófica asociada a la renaturalización de zonas rurales abandonadas

Hugo Saiz1,2,* ORCID logo, Alba Romero-del Moral1,2 ORCID logo, Silvia Roy1,2 ORCID logo, José Daniel Anadón3 ORCID logo, Lydia de la Cruz3 ORCID logo, Violeta Lalmolda1 ORCID logo, Clara Castellano3 ORCID logo

 

(1)    Departamento de Ciencias Agrarias y del Medio Natural, Escuela Politécnica Superior, Universidad de Zaragoza, 22071, Huesca, España.

(2)    Instituto Universitario de investigación en Ciencias Ambientales de Aragón (IUCA) – Universidad de Zaragoza, 50009, Zaragoza, España.

(3)    Instituto Pirenaico de Ecología – Consejo Superior de Investigaciones Científicas, 50059, Zaragoza, España.

 

* Autor para correspondencia / Corresponding author: Hugo Saiz [hsaiz@posta.unizar.es]

 

> Recibido / Received: 29/05/2025 – Aceptado / Accepted: 02/10/2025

Cómo citar / How to cite: Saiz, H., Romero-del Moral, A., Roy, S., Anadón, J. D., de la Cruz, L., Lalmolda, V., & Castellano, C. (2026). Caracterización de la biodiversidad multi-trófica asociada a la renaturalización de zonas rurales abandonadas. Ecosistemas 35(1): 3039. https://doi.org/10.7818/ECOS.3039  

Caracterización de la biodiversidad multi-trófica asociada a la renaturalización de zonas rurales abandonadas

Resumen: En el actual proceso de despoblación generalizada en los ecosistemas rurales mediterráneos, los agroecosistemas experimentan un proceso de renaturalización pasiva debida al abandono de las prácticas agrarias. Se presenta un estudio sobre los factores implicados en los cambios de la biodiversidad multi-trófica asociados al proceso de renaturalización. Se utilizó una red de parcelas pareadas (en áreas cultivadas abandonas hace más de 20 años y en controles sin historia de cultivo) en 40 municipios de Aragón que han perdido población en las últimas décadas. Específicamente, se evaluó el efecto que factores ambientales, a escala local y regional, tienen sobre la diversidad de productores primarios (plantas), herbívoros (ortópteros) y depredadores (arañas), censados en dichas parcelas. El abandono agrícola no tuvo un efecto significativo sobre la riqueza de especies, aunque sí moduló el efecto que los factores ambientales tenían sobre ella. Cada grupo trófico presentó diferentes respuestas al ambiente, con mayor importancia de los factores locales (edáficos) en plantas y arañas, y de los factores regionales (población humana) en ortópteros. El trabajo sugiere que tanto factores locales como regionales influyen en el proceso de renaturalización multi-trófica, mostrando la complejidad que conlleva la gestión de las consecuencias de la despoblación sobre el medio natural.

Palabras clave: Araneae; biodiversidad multi-trófica; Orthoptera; Plantae; renaturalización

Characterization of multi-trophic biodiversity associated with the renaturalization of abandoned rural areas

Abstract: In the current process of widespread depopulation in Mediterranean rural ecosystems, agroecosystems are undergoing a process of passive rewilding due to the abandonment of agricultural practices. This study evaluates the effect of the factors involved in multi-trophic biodiversity changes associated with the rewilding process. A network of paired plots (areas abandoned more than 20 years ago and controls with no history of cultivation) in 40 municipalities in Aragon that have lost population in recent decades was used. Specifically, the effect of environmental factors, at local and regional scale, on the diversity of primary producers (plants), herbivores (orthoptera) and predators (spiders) measured in these plots was evaluated. Agricultural abandonment did not have a significant effect on species richness, although it did modulate the effect that environmental factors had on it. Each trophic group showed different responses to the environment, with local (soil) factors being more important for plants and spiders, and regional factors (human population) being more important for orthoptera. The study suggests that both local and regional factors influence the process of multi-trophic rewilding, highlighting the complexity involved in managing the consequences of depopulation on the natural environment.

Keywords: Aragón; Araneae; multi-trophic biodiversity; Orthoptera, Plantae; rewilding


Introducción

El cambio en los usos del suelo es el impulsor de cambio global que tiene un mayor efecto sobre la biodiversidad(Brondizio et al., 2019). Los cambios de uso están directamente relacionados con las necesidades del ser humano, que normalmente altera el medio natural maximizando determinados servicios ecosistémicos, como los de aprovisionamiento(Millenium Ecosystems Assessment, 2005). Esto es particularmente evidente en las áreas rurales, donde las prácticas agrícolas priorizan la producción agrícola a expensas del resto de servicios(Cumming et al., 2014). En las últimas décadas, en Europa se está viviendo un proceso de despoblación en el medio ruralmotivado por razones socio-económicas(Rey-Benayas et al., 2007). Este proceso de despoblación es particularmente relevante en zonas Mediterráneas(García-Ruiz et al., 1996), caracterizadas por una alta biodiversidad(Cowling et al., 1996) y donde el cese de las actividades humanas tiene un impacto directo sobre los usos de suelo(Kosmas et al., 2002) y los paisajes agrarios. Por una parte, el abandono de las prácticas agrarias a nivel local desemboca en un proceso de revegetación natural(Malandra et al., 2019). Por otra, este proceso de renaturalización pasiva altera de forma integral el paisaje, modificando la relación entre hábitats con mayor o menor grado de antropización o naturalidad(Kosmas et al., 2002). En general, aunque existe un amplio conocimiento sobre las consecuencias del cambio de uso de suelos sobre la biodiversidad(Kleijn et al., 2009; Le Provost et al., 2021), los efectos sobre el medio rural asociados a la despoblación y el abandono agrícola no están bien estudiados, a pesar de comprometer el futuro de los servicios proporcionados por las áreas rurales (Bruno et al., 2021).       

A nivel local, los efectos del abandono de las prácticas agrícolas sobre la biodiversidad son variados. El abandono de los sistemas agrarios pone en marcha el proceso de sucesión natural de los ecosistemas(Malandra et al., 2019). En general, a lo largo de los procesos de renaturalización existen especies que se ven beneficiadas y especies que se ven perjudicadas (especies ‘ganadoras’ y ‘perdedoras’)(Pereira y Navarro, 2015). Así, el abandono puede tener efectos positivos sobre la biodiversidad, aumentándola a escala local(Plieninger et al., 2015). Sin embargo, estos efectos positivos sobre la biodiversidad local no son generales y existen zonas donde el abandono reduce la biodiversidad(Bignal y McCracken, 2000; Plieninger et al., 2015). Por otra parte, el legado de los usos agrarios pasados puede tener también efectos sobre el proceso de renaturalización, ya que los cambios en las propiedades del suelo asociadas a las prácticas agrícolas pueden condicionar la composición de la comunidad vegetal durante décadas(Helm et al., 2019). Además, estos efectos de legado unidos a la estocasticidad propia de los ambientes mediterráneos (i.e. alta variabilidad climática, incendios) pueden tener consecuencias imprevisibles sobre la renaturalización de las zonas abandonadas(Acácio et al., 2007; Romero-Calcerrada y Perry, 2004). En un proceso de despoblación generalizado en los sistemas rurales mediterráneos, es necesario conocer el efecto que el abandono de las prácticas agrícolas tiene sobre la renaturalización de los ecosistemas para entender las consecuencias que ello conlleva sobre la biodiversidad.   

A escala regional, la biodiversidad en zonas rurales suele estar asociada a la presencia de heterogeneidad de hábitats en el paisaje(Benton et al., 2003). Esta heterogeneidad afecta principalmente a los organismos más móviles, que son capaces de colonizar hábitats aislados dentro del mosaico de usos de suelo típico de los agroecosistemas (Le Provost et al., 2021). Tradicionalmente, en los ecosistemas mediterráneos el abandono agrícola se ha centrado en los terrenos menos productivos. Este abandono selectivo aumenta la heterogeneidad de hábitats a escala regional, aumentando la presencia de especies especialistas y la biodiversidad regional(Le Provost et al., 2021). Sin embargo, este paisaje heterogéneo se puede ver comprometido por el cese total de las prácticas agrícolas, generándose una homogenización del paisaje con la consecuente pérdida regional de biodiversidad(Rey-Benayas et al., 2007). Por ello, para evaluar los cambios generales de biodiversidad, no es suficiente con considerar los factores locales, sino también es conveniente incluir diferentes escalas espaciales para obtener una visión general de la respuesta del ecosistema.

Debido a que distintos organismos responden a factores ambientales actuando en escalas espaciales particulares, a la hora de evaluar los efectos del abandono sobre la biodiversidad es necesario considerar múltiples grupos tróficos. Por ejemplo, se ha observado que la intensificación agraria afecta de forma diferente a distintos grupos tróficos(Allan et al., 2015). Además, debido a que los distintos grupos tróficos interaccionan entre sí, los cambios que experimenta un grupo pueden propagarse a aquellos otros con los que interacciona(Møller, 2019). Por ejemplo, en ecosistemas mediterráneos la presencia de grandes herbívoros puede incrementar la diversidad de plantas en campos abandonados (Dvorský et al., 2022). Ignorar las interacciones entre los organismos limita nuestro conocimiento sobre las consecuencias de la despoblación y el abandono de las prácticas agrícolas, subestimando sus efectos sobre los ecosistemas rurales y poniendo en riesgo la conservación de la biodiversidad que albergan.

En este estudio presentamos la primera evaluación de los efectos del abandono rural asociado a la despoblación sobre la biodiversidad multi-trófica en ecosistemas mediterráneos de Aragón. Para ello, utilizamos una red que incluye parcelas agrícolas abandonadas hace al menos 20 años y parcelas naturales, localizada en municipios que han perdido población en un periodo similar. Dentro de cada parcela obtenemos información ambiental a múltiples escalas (local: suelo; regional: clima, población humana, usos de suelo adyacentes) y evaluamos la biodiversidad multi-trófica (productores primarios, herbívoros y depredadores). En base a este diseño, planteamos las siguientes hipótesis: 1) el abandono de las prácticas agrícolas asociado a la despoblación tiene efectos sobre la biodiversidad multi-trófica; 2) estos efectos están modulados por factores ambientales locales y regionales; y 3) el efecto de estos factores dependerá del grupo trófico considerado. Específicamente, esperamos que los productores primarios se vean más afectado por factores locales y los herbívoros y depredadores por factores regionales. 

Métodos

Área de estudio

El estudio tuvo lugar en el valle medio del Ebro (Aragón), considerando un gradiente de despoblación en municipios rurales. Aragón es uno de los focos activos de despoblación en Europa (28 habitantes/km2) y más de la mitad de sus municipios han sufrido despoblación en el último siglo(Ayuda-Bosque et al., 2000). Para cuantificar la despoblación, usamos datos del Instituto Aragonés de Estadística (IAEST) sobre tendencias poblacionales en todos los municipios de la zona de estudio. Específicamente, seleccionamos 40 municipios que han sufrido pérdida de población en los últimos 50 años, pero con diferente intensidad.

En cada uno de estos municipios se seleccionaron dos zonas: una zona donde las prácticas agrícolas cesaron hace al menos 20 años (abandono), y otra donde no hay registro de actividad agrícola (control). Para ello, utilizamos ortofotos de los vuelos Americano B (1956-1957), SIGPAC (1997-2003) y PNOA 2021. Específicamente, denominamos a una zona como abandono cuando en el vuelo Americano tenía campos de cultivo, pero en los vuelos de SIGPAC y PNOA éstos se encontraban abandonados. Del mismo modo, denominamos a una zona control cuando se observaba un ecosistema sin signos de cultivo u otras perturbaciones antrópicas intensas (natural, a efectos de este estudio) en todos los vuelos. Los ecosistemas control representan una selección de ecosistemas típicos mediterráneos incluyendo tomillares, romerales y encinares. Todas las ortofotos se obtuvieron del IGN. La clasificación de los usos de suelo en las ortofotos se hizo de forma visual, y se comprobó en el campo mediante visitas previas al establecimiento de las parcelas de muestreo. Este diseño experimental permite evaluar los efectos del abandono rural a escala regional y a escala local.

Variables y toma de datos

En el año 2023, en cada una de las zonas se estableció una parcela de 10 x 10 m donde se cuantificaron las variables ambientales locales (i.e. suelo) y se usó como referencia para las variables regionales (i.e. clima, población humana, usos de suelo adyacentes) (Fig. 1). En total se establecieron 80 parcelas (2 por municipio), 40 en zonas abandonadas y 40 en zonas control. La mayoría de las parcelas abandonadas (38 de 40, 95%) se ubicaron en cultivos abandonados de herbáceas, siendo los restantes de leñosas. Dentro de cada municipio, las parcelas de abandono y de control se separaron en la medida de lo posible un mínimo de 50 m y un máximo de 500 m. De esta forma, procuramos mantener las variables regionales lo más homogéneas posibles entre ambas parcelas. Las variables climáticas incluyeron el índice de aridez (Zomer et al., 2008) y la estacionalidad de las precipitaciones, y se obtuvieron a partir de las coordenadas geográficas en Worldclim (Fick y Hijmans, 2017). Las variables de población humana fueron la población promedio y la tasa de despoblación en el municipio respectivo durante los últimos 50 años, y se obtuvieron de IAEST. Las variables de uso de suelo adyacentes se obtuvieron a partir de un buffer circular de un kilómetro de radio alrededor de la parcela abandonada. En este buffer se calculó manualmente la superficie de hábitat natural a partir de las ortofotos del PNOA 2021, y la permanencia de área natural, entendida como la superficie de hábitat natural en las ortofotos del vuelo Americano B que sigue siendo natural en las ortofotos del PNOA. Debido al solapamiento entre los buffers por la cercanía entre las parcelas, para cada municipio se usó como referencia el buffer de la parcela abandono. Para las variables de suelo, en cada parcela se tomaron 4 muestras de suelo a 0-5 cm de profundidad que se unieron en una muestra compuesta. Todas las muestras compuestas fueron homogeneizadas y tamizadas hasta 2 mm para los análisis de laboratorio posteriores. De cada muestra compuesta se obtuvo la textura mediante difracción láser, el pH siguiendo (Rayment y Higginson, 1992), el C orgánico total mediante calcinación (Schulte y Hopkins, 2015) y N total mediante el método de Dumas (Ebeling, 1968). Los análisis se realizaron mediante el servicio de laboratorio del Instituto Pirenaico de Ecología-CSIC. La metodología concreta y las hipótesis asociadas a cada variable ambiental aparecen recogidas en la Tabla 1.

Tabla 1. Variables ambientales muestreadas en el estudio y su efecto sobre la biodiversidad.

Table 1. Environmental variables sampled in the study and their effect on biodiversity.

Variable

Categoría

Descripción

Hipótesis

Índice de aridez

Climática

1 – (Precipitación Media Anual / Evapotranspiración Media Anual) (Zomer et al., 2008)

El estrés hídrico asociado a la aridez reduce la biodiversidad (Maestre et al., 2016)

Estacionalidad

Climática

Coeficiente de variación de la precipitación mensual intra-anual (BIO15) (Fick & Hijmans, 2017)

La variabilidad de las precipitaciones limita la dominancia competitiva, aumentando la biodiversidad (Doležal et al., 2019)

Población

Población humana

Población promedio durante el periodo 1970-2020 (IAEST)

El impacto humano asociado a la población reduce la biodiversidad (Kerr & Currie, 1995)

Tasa de despoblación

Población humana

-1 * log(Población 2019 / Población 1970) (IAEST)

La desaparición del ser humano aumenta la biodiversidad (Martínez-Abraín et al., 2020)

Área natural

Usos de suelo adyacentes

Dentro del buffer de 1 km, área relativa clasificada como terreno natural en la ortofoto del PNOA 2021

El aumento de colonización asociado a hábitats naturales en el entorno aumenta la biodiversidad (Janišová et al., 2014)

Permanencia

Usos de suelo adyacentes

Dentro del buffer, área relativa clasificada como terreno natural que ha permanecido como tal desde 1956-1957 (vuelo Americano) hasta 2021 (PNOA)

Paisajes naturales más antiguos actúan como fuentes de colonizadores durante más tiempo aumentando la diversidad (Le Provost et al., 2020)

Textura

Suelo

Proporción relativa de arena en la muestra mediante difracción láser, usando un Coulter Mastersizer 2000

Suelos más arenosos son más propensos a la erosión y tienen menos humedad, reduciendo la biodiversidad (Antonelli et al., 2018)

pH

Suelo

pH calculado siguiendo (Rayment & Higginson, 1992)

Suelos más básicos presentan mayor biodiversidad (Ewald, 2003)

C orgánico total*

Suelo

Masa de C orgánica mediante el método de calcinación (Schulte & Hopkins, 2015).

Suelos con mayor cantidad de C orgánica está asociado a sistemas más biodiversos (Nielsen et al., 2011)

N total*

Suelo

Masa de N mediante el método de Dumas (Ebeling, 1968) usando un analizador LECO 928 CNS.

En ambientes mediterráneos, suelos con mayor N cuentan con mayor biodiversidad (Dias et al., 2011)

*Los valores de C y N fueron calculados considerando la densidad aparente de la muestra.

Por otra parte, se recogió información sobre biodiversidad de tres grupos tróficos: productores primarios (vegetación), herbívoros (ortópteros) y depredadores (arañas del orden araneae) (Fig. 1). La vegetación se caracterizó mediante 5 cuadrantes de 1 x 1 m dentro de la parcela. Se midió la identidad taxonómica y la cobertura de cada especie vegetal dentro de los cuadrantes durante el pico de producción vegetal (mayo-junio). Los invertebrados se cuantificaron mediante 2 muestreos a lo largo de la primavera y verano (abril y julio). En estos muestreos se capturaron los individuos mediante una combinación de técnicas incluyendo trampas de caída (5 por parcela) y mangas entomológicas (200 batidas por parcela), manteniendo el esfuerzo de muestreo constante entre parcelas. A partir de los datos de los organismos estudiados, se calculó en cada parcela y para cada grupo trófico la riqueza de especies (S, número total de especies muestreadas) y la presencia de especies dominantes en cuanto a su abundancia mediante la uniformidad de Pielou (E=H’/Ln(S), donde H’ es el índice de diversidad de Shannon).

Finalmente, para cada parcela se calcularon versiones compuestas de ambos índices de diversidad (Smulti y Emulti). Estos índices permiten evaluar la respuesta de la biodiversidad multi-trófica a las variables ambientales. Primero, los valores de diversidad para cada grupo trófico se estandarizaron (se sustrajo la media y se dividió por la desviación estándar) para poner los tres grupos en la misma escala. Después, los índices multi-tróficos se calcularon como el promedio de los índices de diversidad estandarizado correspondiente a los tres grupos tróficos (Joint Research Centre, 2008). De esta forma, valores más altos de Smulti y Emulti se asocian con parcelas que presentan valores más altos de diversidad para todos los grupos.

 

Diseño experimental del estudio. A) localización de los 40 municipios despoblados. B) en cada municipio se establecieron dos parcelas: una en una zona aterrazada de abandono agrícola (izquierda) y otra en una zona sin historia de cultivo (natural) (derecha). C) En cada parcela se tomaron muestras de suelo (X), cobertura vegetal en cuadrantes de 1m x 1m (□), biomasa vegetal (-), y artrópodos mediante trampas pitfall (●) y captura directa con manga a lo largo de transectos (- -)

Figura 1. Diseño experimental del estudio. A) localización de los 40 municipios despoblados. B) en cada municipio se establecieron dos parcelas: una en una zona aterrazada de abandono agrícola (izquierda) y otra en una zona sin historia de cultivo (natural) (derecha). C) En cada parcela se tomaron muestras de suelo (X), cobertura vegetal en cuadrantes de 1m x 1m (□), biomasa vegetal (-), y artrópodos mediante trampas pitfall (●) y captura directa con manga a lo largo de transectos (- -).

Figure 1. Experimental design of the study. A) Location of the 40 depopulated municipalities. B) Two plots were established in each municipality: one in a terraced area of abandoned agricultural land (left) and another in an area with no cultivation history (natural) (right). C) In each plot, soil samples (X), vegetation cover in 1m x 1m quadrants (□), plant biomass (-), and arthropods using pitfall traps (●) and direct capture with a sweep net along transects (- -) were sampled.

Análisis estadísticos

Evaluamos el efecto de la renaturalización y las variables ambientales sobre la biodiversidad utilizando modelos de regresión de mínimos cuadrados generalizados (función gls en R) (Pinheiro, 2011). Antes de hacer los modelos, comprobamos la correlación entre todas las variables de la Tabla 1 y descartamos aquellas que presentaban mayor correlación (|r| > 0.7), para N total y permanencia). Finalmente, en cada modelo incluimos variables explicativas de clima (aridez, estacionalidad), población humana (población, tasa de despoblación), usos de suelo adyacentes (área natural) y suelo (textura, pH, materia orgánica total), y variables respuesta de biodiversidad (Splant, Sortop, Saraña, Smulti, Eplant, Eortop, Earaña, Emulti), en un total de 8 modelos. Además, todos los modelos incluyeron la interacción entre tipo de parcela (abandono o control) y el resto de variables explicativas. Todos los modelos incluyeron una matriz de distancia entre las parcelas, construida a partir de sus coordenadas geográficas, para controlar posibles efectos de autocorrelación espacial. Además, tres variables (población, área natural y C orgánico total) se transformaron mediante logaritmo o raíz cuadrada para que tuvieran una distribución lo más normal posible. Todas las variables fueron estandarizadas antes del análisis.    

Durante el análisis se aplicó un procedimiento de selección automática de modelos mediante la función stepAIC de R. Esta función compara el modelo original con otros modelos más simples donde se van eliminando progresivamente variables explicativas, hasta alcanzar el modelo con el valor de AIC más bajo (i.e. el modelo más parsimonioso). Este modelo se utilizó para evaluar el efecto y la contribución de las variables explicativas, calculada a partir de los F-valores del modelo obtenidos con la función anova, sobre la biodiversidad. Todos los análisis se realizaron en R 4.2.3. (R Development Core Team, 2014).

Resultados

Los resultados de los modelos seleccionados muestran que, en los ecosistemas mediterráneos estudiados, la biodiversidad multi-trófica depende de múltiples factores ambientales (Tabla 2). Estos efectos, que pueden ser directos o estar mediados por la historia de usos del suelo en la zona, se observan principalmente para la riqueza de especies, mientras que la uniformidad de especies en la comunidad apenas se ve afectada. De hecho, se observó un único efecto positivo significativo de la estacionalidad de precipitaciones sobre la uniformidad de los ortópteros (Tabla 2).

Tabla 2. Efecto de las variables ambientales sobre la biodiversidad de las parcelas en el área de estudio. El valor de las celdas indica el estimador para la variable explicativa dentro del modelo final seleccionado. – indica que la variable no fue seleccionada en el modelo final. El estimador de ‘Tipo de parcela’ es para la parcela control en relación con la parcela de abandono. 0.1 > . > 0.05 > * > 0.01 > ** > 0.001 > ***.

Table 2. Effect of environmental variables on the plots biodiversity in the study area. The value in the cells indicates the estimator for the explanatory variable within the selected final model. – indicates that the variable was not selected in the final model. The estimator for ‘Plot type’ is for the control plot in relation to the abandoned plot. 0.1 > . > 0.05 > * > 0.01 > ** > 0.001 > ***.

 

Riqueza Plantas

Riqueza Ortópteros

Riqueza Arañas

Riqueza Multi-trófica

Uniformidad Plantas

Uniformidad Ortópteros

Uniformidad Arañas

Uniformidad Multi-trófica

Tipo de parcela

-0.05

0.63

-0.27.

-0.72.

-

-

0.02

0.21

Índice de aridez

-0.36***

-

-0.31

-

-

-

0.004

-

Estacionalidad

-

-0.15

0.32

-

-

0.06**

-

0.13.

Población

-

0.47*

-

-

-

-

-0.01

-

Tasa de despoblación

-

3.85*

-

3.27.

-

-0.27.

-

-0.88

Área natural

-

-0.24.

-

-0.35

-

-

-

-

pH

0.31*

-0.2

-0.14

-0.41

-

0.04.

-

-

Textura

-

-0.22.

-

-

-

-

-0.01

-

Materia orgánica total

0.06

-

-

-

-

-

-

-

Tipo de parcela

*Índice de aridez

-

-

-

-

-

-

-0.02.

-

Tipo de parcela

*Estacionalidad

-

0.45

-

-

-

-

-

-

Tipo de parcela

*Población

-

-0.6*

-

-

-

-

0.02

-

Tipo de parcela

*Tasa de despoblación

-

-3.05

-

-

-

-

-

-

Tipo de parcela

*Área natural

-

-

-

-

-

-

-

-

Tipo de parcela

*pH

0.46*

0.53*

0.28.

1.12**

-

-

-

-

Tipo de parcela

*Textura

-

-

-

-

-

-

-

-

Tipo de parcela

*Materia orgánica total

-0.29

-

-

-

-

-

-

-

 

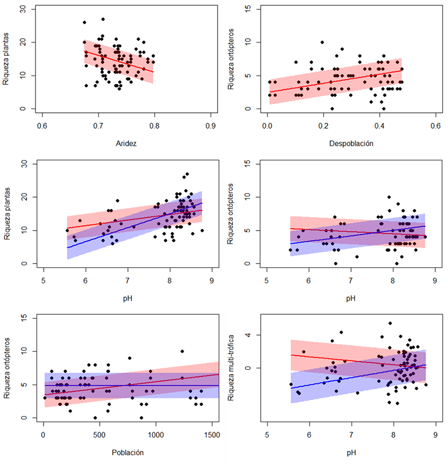
Además, la biodiversidad de cada grupo trófico presentó diferentes respuestas (Figs. 2-3). Para los productores primarios, los factores locales fueron los más importante (72% de la varianza explicada por el modelo depende de factores locales, Fig. 2, Tabla A1), con un efecto positivo del pH del suelo sobre la riqueza en las parcelas control (Fig. 3). Además, también se observó un efecto negativo de la aridez (Fig. 3). Por otra parte, para los herbívoros (ortópteros) los factores regionales fueron muy relevantes (53% de la varianza explicada por el modelo depende de factores regionales, Fig. 2, Tabla A1). Así, los municipios con mayor tasa de despoblación presentaron mayor riqueza de ortópteros (Fig. 3). También se observaron interacciones; las parcelas abandonadas presentaron más riqueza de ortópteros en municipios con mayor población. El pH tuvo un efecto positivo sobre la riqueza en las parcelas control. En cuanto a los depredadores, los efectos locales fueron los más importantes, aunque los efectos fueron marginalmente significativos. Las parcelas control presentaron valores menores de riqueza y efectos negativos del pH menores que en parcelas abandonada (Tabla 2). Finalmente, para la riqueza multi-trófica los factores regionales y locales fueron relevantes (Fig. 2, Tabla A1). El pH tuvo un efecto negativo en las parcelas abandonadas y positivo en las parcelas control (Fig. 3), la tasa de despoblación tuvo un efecto marginalmente positivo y las parcelas control presentaron valores marginalmente menores que las parcelas de abandono (Tabla 2). Los resultados no cambiaron al excluir del modelo los municipios con parcelas abandonadas que se habían cultivado con especies leñosas (Tabla A2).   

 

Proporción de varianza explicada asociada a cada grupo de variables explicativas en los modelos seleccionados para riqueza. Amarillo, clima; Azul, población humana; Verde, usos de suelo adyacentes; Marrón, suelo; Gris, tipo de parcela (abandono/control). Encima de cada barra aparece el R2 total del modelo en cuestión. Las zonas con trama representan la varianza explicada por la interacción entre tipo de parcela y el grupo correspondiente de variables.

Figura 2. Proporción de varianza explicada asociada a cada grupo de variables explicativas en los modelos seleccionados para riqueza. Amarillo, clima; Azul, población humana; Verde, usos de suelo adyacentes; Marrón, suelo; Gris, tipo de parcela (abandono/control). Encima de cada barra aparece el R2 total del modelo en cuestión. Las zonas con trama representan la varianza explicada por la interacción entre tipo de parcela y el grupo correspondiente de variables. Los valores exactos por grupo de variable aparecen incluidos en la Tabla A1 del Anexo.

Figure 2. Proportion of explained variance associated with each group of explanatory variables in the models selected for richness. Yellow, climate; Blue, human population; Green, landscape land uses; Brown, soil; Gray, plot type (abandoned/control). R2 of the model is presented above each bar. Shaded areas represent the explained variance by the interaction between plot type and the corresponding group of variables. The exact values per variable group are included in Table A1 of the Annex.

 

Respuesta de la riqueza de los distintos grupos tróficos a las variables ambientales en el área de estudio. Solo aparecen representadas aquellas variables seleccionadas en el modelo final y que presentaron resultados significativos. Los gráficos mostrados son regresiones parciales. En los gráficos con interacción, el ajuste rojo corresponde a las parcelas de abandono y el azul a las parcelas control.

Figura 3. Respuesta de la riqueza de los distintos grupos tróficos a las variables ambientales en el área de estudio. Solo aparecen representadas aquellas variables seleccionadas en el modelo final y que presentaron resultados significativos. Los gráficos mostrados son regresiones parciales. En los gráficos con interacción, el ajuste rojo corresponde a las parcelas de abandono y el azul a las parcelas control.

Figure 3. Different trophic groups richness response to environmental variables in the study area. Only those significant variables selected in the final model are shown. Plots are based on partial regressions. In the graphs with interaction, red line represents abandoned plots and blue line control plots.

Discusión

Los cambios socio-económicos de las últimas décadas en las zonas rurales mediterráneas están produciendo un proceso de renaturalización de los campos de cultivos abandonados, provocando cambios en los ecosistemas con consecuencias para su biodiversidad, funciones y, en definitiva, los servicios que ofrecen (Daskalova y Kamp, 2023). Nuestros resultados indican que al menos 20 años después del abandono de las prácticas agrícolas, la biodiversidad de varios grupos tróficos responde a las condiciones ambientales de forma distinta que las comunidades que no habían sido cultivadas. Además, cada uno de estos grupos presenta respuestas particulares, ligadas a factores ambientales que operan a múltiples escalas espaciales. Esta variabilidad en las respuestas muestra la complejidad del proceso de renaturalización en ambientes mediterráneos, destacando la dificultad de una gestión sostenible en los territorios rurales que experimentan despoblación.

Todos los modelos encontraron un efecto significativo del tipo de parcela (i.e. abandono o control) sobre la riqueza de especies, tanto a través de efectos directos como de interacciones con variables ambientales. Diferentes estudios han encontrado efectos del abandono agrícola sobre la riqueza de especies, mostrando en general un efecto negativo sobre la diversidad, particularmente en Europa (Isbell et al., 2013; Queiroz et al., 2014). Sin embargo, el efecto del abandono en zonas mediterráneas es variable, incluso resultando en efectos positivos sobre la biodiversidad (Plieninger et al., 2014). Nuestros resultados van en esta línea, indicando que el efecto del abandono sobre la diversidad puede variar según el grupo trófico. Las especies responden ante los cambios ambientales, ya sean de origen natural o antrópico, resultando en cambios en la composición de las comunidades. Así, tenemos especies que se ven favorecidas y especies que se ven perjudicadas (Pereira y Navarro, 2015), y la suma de las respuestas de todas ellas resultarán en los cambios de la diversidad. Por ello, es necesario entender cómo el abandono agrícola afecta a los distintos grupos tróficos para tener una visión completa de lo que ocurre en el ecosistema.

La vegetación es el grupo más estudiado en relación al abandono agrícola (Plieninger et al., 2014). En general, tras el cese de las prácticas agrícolas se produce una colonización por parte de especies pioneras de crecimiento rápido que se ven beneficiadas por la limitada competencia (Prévosto et al., 2011). Estas especies pueden dominar la comunidad en las primeras etapas de la sucesión, y limitar la colonización de otras especies mediante efectos de prioridad (Fukami, 2015). En nuestro caso, aunque tipo de parcela fue seleccionado en el modelo, no se observaron diferencias entre la riqueza de las parcelas de abandono y los controles (Tabla 2). Puede haber dos interpretaciones. Por un lado, que la comunidad haya recuperado la diversidad tras 20 años de abandono, aunque hay evidencias que sugieren que los efectos de las prácticas agrícolas persisten por más tiempo (Abadie et al., 2021). Por otro, que las comunidades de parcelas abandonadas presentan una diversidad similar a la de las parcelas naturales. A lo largo del proceso de sucesión las especies más adaptadas van excluyendo a las especies pioneras, lo que produce cambios en la composición, pero no necesariamente en la riqueza de especies. Este parece ser el caso, ya que la renaturalización en parcelas agrícolas abandonadas es un proceso largo (Abadie et al., 2021). En cuanto a los factores ambientales, la aridez tuvo efectos negativos sobre la diversidad. Estos efectos negativos se observan principalmente en niveles de aridez similares a los que encontramos en nuestro estudio y se asocian con la falta de fertilidad del suelo (Berdugo et al., 2020). También se observaron efectos del pH del suelo, con suelos más básicos presentando más diversidad, un patrón común en Europa (Ewald, 2003). Sin embargo, este efecto se ve reducido en las parcelas abandonadas. La aplicación continuada de fertilizantes en ambientes mediterráneos altera el ciclo de N en el suelo, modificando la disponibilidad del mismo para los organismos (Ochoa-Hueso et al., 2013), lo que podría limitar el efecto del pH. Este efecto sobre el suelo podría ser el responsable de la persistencia de las características de un suelo agrícola y de su comunidad vegetal tras 20 años de abandono.  

Los ortópteros fueron el grupo más afectado por las variables de población humana (Fig. 2). Por una parte, se observó una relación positiva entre la riqueza de especies y la despoblación del municipio. Este resultado coincide con estudios que muestran que la huella humana tiene un efecto negativo sobre la diversidad de ortópteros (Penone et al., 2013). Sin embargo, también observamos un efecto positivo de la población promedio sobre la riqueza. Puede haber varias explicaciones para este resultado aparentemente contradictorio. Por una parte, ortópteros generalistas se ven beneficiados por paisajes más heterogéneos (Jonsen y Fahrig, 1997), lo que puede sugerir que sea el grupo dominante en nuestro muestreo. Por otra, algunas evidencias sugieren que la diversidad funcional de ortópteros puede beneficiarse por cambios en la vegetación asociados a carreteras (Rebrina et al., 2022), más comunes en poblaciones más grandes. Esta explicación iría en línea con el efecto negativo del área natural en torno a las parcelas abandonadas, que sugiere que la diversidad de ortópteros se ve beneficiada por entornos no exclusivamente naturales (de Paz et al., 2023) - aunque el efecto es marginalmente significativo -. Además, este efecto positivo de la población se observa principalmente en parcelas abandonadas, que presentan una vegetación asociada a ambientes antropizados, mientras en las parcelas control no se aprecia un efecto significativo. La relación entre ortópteros y vegetación se observa también en la interacción entre tipo de parcela y pH, con la misma respuesta que para la vegetación. De hecho, este fue el único efecto significativo del modelo para la riqueza multi-trófica (Tabla 2). Los artrópodos herbívoros y las plantas están intensamente relacionados a través de procesos bottom-up y top-down (Vidal y Murphy, 2018), y se ha observado que los cambios en diversidad de un grupo afectan a la diversidad del otro (Scherber et al., 2010). En conjunto, nuestros resultados sugieren que el proceso de abandono agrícola afecta a la comunidad multi-trófica a través de las interacciones entre los distintos grupos.

La diversidad de arañas mostró una respuesta muy débil tanto al abandono como a las condiciones ambientales (Tabla 2). Los ecosistemas agrarios reducen la diversidad de las comunidades de arañas, y este efecto se observa también tras su abandono (Prieto-Benítez y Méndez, 2011). Por otra parte, este grupo responde más rápido a cambios en usos de suelo que la vegetación (Perner y Malt, 2003), lo que podría explicar la ausencia de diferencias entre el control y las parcelas abandonadas. Además, al combinar diferentes métodos de muestreo, los valores de biodiversidad no distinguen entre diferentes grupos de arañas que podrían presentar respuestas diferenciadas, Hay que destacar que los resultados muestran que el impacto del abandono sobre la diversidad es bajo a lo largo de la cadena trófica (varianza explicada por tipo de parcela (varianza total explicada por el modelo) en plantas = 0.09 (0.43); en ortópteros = 0.11 (0.29); en arañas = 0.08 (0.17), Tabla A1). En general, en ecosistemas mediterráneos la respuesta de la riqueza de plantas y artrópodos al abandono no está clara, con efectos positivos o negativos dependiendo del grupo (Plieninger et al., 2014). Sería conveniente incluir en futuros análisis el efecto de niveles tróficos superiores, así como de omnívoros, los cuales a través de otras interacciones bióticas (e.g. alimentación, refugio) podrían afectar a la diversidad de los grupos estudiados. Así, obtendríamos una visión más completa del proceso de renaturalización en los territorios despoblados y sus implicaciones para la conservación de la biodiversidad.

Por último, cabe destacar el papel que juega la escala espacial sobre la biodiversidad de los ecosistemas abandonados. En general, en agroecosistemas se ha observado que la diversidad de la vegetación depende de factores a escala local, mientras que la de los ortópteros depende también de factores a escala regional (Le Provost et al., 2021). Este efecto de factores regionales también se ha observado en ambientes mediterráneos (Betina et al., 2017). Por tanto, para abordar los desafíos de gestión de los procesos de renaturalización asociados a la despoblación es necesario aplicar un enfoque integral del ecosistema, donde múltiples componentes del medio natural contribuyen al proceso de sucesión secundaria y determinan la trayectoria de la comunidad. Hay que destacar que esta renaturalización lleva asociada cambios de composición, donde unas especies son sustituidas por otras a lo largo de un proceso que puede prolongarse décadas (Uchida y Ushimaru, 2014). Además, la ausencia de efectos significativos sobre la dominancia de las especies sugiere que todas las comunidades presentan una estructura similar. El único efecto observado sobre la uniformidad de la comunidad es la relación positiva entre la variabilidad en las precipitaciones y la uniformidad de los ortópteros (Fig. 3), la cual puede explicarse por mecanismos de segregación de nicho (Joern, 1979). Aunque el régimen de perturbaciones es una de las causas fundamentales del cambio en la estructura de las comunidades (Horn, 1974), es posible que, tras 20 años, las comunidades de parcelas de abandono hayan tenido tiempo a organizarse en un estado distinto a las comunidades control, y que este nuevo estado pueda persistir durante décadas. Si este fuera el caso, la renaturalización de las zonas despobladas podría dar lugar a nuevos ecosistemas con una semejanza reducida respecto a los ecosistemas naturales.

La despoblación de los ambientes mediterráneos lleva asociado un proceso de recuperación de la naturaleza por el descenso de la actividad humana. Nuestro estudia revela que el cese de la actividad agrícola pone en marcha un proceso de renaturalización, donde la diversidad multi-trófica se va organizando en nuevas comunidades. Tras al menos 20 años de abandono, estas comunidades presentan una riqueza de especies diferente a la de los ecosistemas naturales de su entorno, con factores locales, como el pH del suelo, y regionales, como la población del municipio, influyendo sobre los distintos grupos tróficos. Por ello, en un contexto de despoblación, para entender la evolución de los ecosistemas rurales, la biodiversidad que albergarán y los servicios que podrán proveer, es necesario un enfoque integral de los ecosistemas. Este enfoque debe incluir múltiples escalas y componentes del ecosistema para garantizar un conocimiento que permita el desarrollo sostenible de estas zonas.

Contribución de los autores

Hugo Saiz: conceptualization, methodology, research, data curation, formal analysis, writing - initial draft, review and editing; Alba Romero-del Moral: research, data curation, writing - review and editing; Silvia Roy: research, data curation, writing - review and editing; José Daniel Anadón: conceptualization, methodology, writing - review and editing; Lydia de la Cruz: research, data curation, writing - review and editing; Violeta Lalmolda: research, data curation, writing - review and editing; Clara Castellano: methodology, research, data curation, writing - review and editing.

Disponibilidad de datos y código

Los datos se encuentran en el repositorio figshare (https://doi.org/10.6084/m9.figshare.30260542).

Financiación, permisos requeridos, potenciales conflictos de interés y agradecimientos

Esta investigación fue financiada a través del programa Leonardo de la Fundación BBVA y de la Ayuda CNS2022-135372 financiada por MICIU/AEI/10.13039/501100011033 y la “Unión Europea NextGenerationEU”. HS es financiado por una ayuda María Zambrano del MICIU y la “Unión Europea NextGenerationEU”. LdC es financiada por una ayuda pre-doctoral de la Diputación General de Aragón.

La captura de artrópodos fue autorizada por el Instituto Aragones de Gestión Ambiental mediante el trámite 24A “Autorización para dar muerte, dañar, molestar o inquietar intencionadamente a especies de fauna silvestre”.

Los autores/as declaran no tener ningún conflicto de intereses.

Queremos agradecer a Antonio Arroyo por su colaboración en el trabajo de campo, y al servicio de laboratorio del Instituto Pirenaico de Ecología-CSIC por la realización de los análisis de suelo.

Referencias

Abadie, J., Dupouey, J.-L., Salvaudon, A., Gachet, S., Videau, N., Avon, C., Dumont, J., Tatoni, T., & Bergès, L. (2021). Historical ecology of Mediterranean forests: Land use legacies on current understorey plants differ with time since abandonment and former agricultural use. Journal of Vegetation Science, 32(1), e12860. https://doi.org/10.1111/jvs.12860

Acácio, V., Holmgren, M., Jansen, P. A., & Schrotter, O. (2007). Multiple Recruitment Limitation Causes Arrested Succession in Mediterranean Cork Oak Systems. Ecosystems, 10(7), 1220-1230. https://doi.org/10.1007/s10021-007-9089-9

Allan, E., Manning, P., Alt, F., Binkenstein, J., Blaser, S., Blüthgen, N., … Fischer, M. (2015). Land use intensification alters ecosystem multifunctionality via loss of biodiversity and changes to functional composition. Ecology Letters, 18(8), 834-843. https://doi.org/10.1111/ele.12469

Antonelli, A., Kissling, W. D., Flantua, S. G. A., Bermúdez, M. A., Mulch, A., Muellner-Riehl, A. N., … Hoorn, C. (2018). Geological and climatic influences on mountain biodiversity. Nature Geoscience, 11(10), 718-725. https://doi.org/10.1038/s41561-018-0236-z

Ayuda-Bosque, M. I., Navarro, V. J. P., & Pérez, L. A. S. (2000). El problema de la despoblación en Aragón: Causas, características y perspectivas. Revista de Demografía Histórica-Journal of Iberoamerican Population Studies, 18(1), 137-173.

Benton, T. G., Vickery, J. A., & Wilson, J. D. (2003). Farmland biodiversity: Is habitat heterogeneity the key? Trends in ecology & evolution, 18(4), 182-188. https://doi.org/10.1016/S0169-5347(03)00011-9

Berdugo, M., Delgado-Baquerizo, M., Soliveres, S., Hernández-Clemente, R., Zhao, Y., Gaitán, J. J., … Maestre, F. T. (2020). Global ecosystem thresholds driven by aridity. Science, 367(6479), 787-790. https://doi.org/10.1126/science.aay5958

Betina, S. I., Harrat, A., & Petit, D. (2017). Analysis grasshopper diversity and associated factors involved in grasshopper diversity in arid Aurès mountains (Batna, Algeria). Journal of Entomology and Zoology Studies, 5(5), 339-348.

Bignal, E. M., & McCracken, D. I. (2000). The nature conservation value of European traditional farming systems. Environmental Reviews, 8(3), 149-171. https://doi.org/10.1139/a00-009

Brondizio, E., Díaz, S. M., Settele, J., Ngo, H., Gueze, M., Aumeeruddy-Thomas, Y., … & Niamir, A. (2019). Assessing a planet in transformation: Rationale and approach of the IPBES Global Assessment on Biodiversity and Ecosystem Services. https://ri.conicet.gov.ar/handle/11336/151345

Bruno, D., Sorando, R., Álvarez-Farizo, B., Castellano, C., Céspedes, V., Gallardo, B., … & Moret-Fernández, D. (2021). Depopulation impacts on ecosystem services in Mediterranean rural areas. Ecosystem Services, 52, 101369. https://doi.org/10.1016/j.ecoser.2021.101369

Cowling, R. M., Rundel, P. W., Lamont, B. B., Arroyo, M. K., & Arianoutsou, M. (1996). Plant diversity in Mediterranean-climate regions. Trends in Ecology & Evolution, 11(9), 362-366. https://doi.org/10.1016/0169-5347(96)10044-6

Cumming, G. S., Buerkert, A., Hoffmann, E. M., Schlecht, E., von Cramon-Taubadel, S., & Tscharntke, T. (2014). Implications of agricultural transitions and urbanization for ecosystem services. Nature, 515(7525), 50-57. https://doi.org/10.1038/nature13945

Daskalova, G. N., & Kamp, J. (2023). Abandoning land transforms biodiversity. Science, 380(6645), 581-583. https://doi.org/10.1126/science.adf1099

de Paz, V., Asís, J. D., Holzschuh, A., & Baños-Picón, L. (2023). Effects of Traditional Orchard Abandonment and Landscape Context on the Beneficial Arthropod Community in a Mediterranean Agroecosystem. Insects, 14(3), Article 3. https://doi.org/10.3390/insects14030277

Dias, T., Malveiro, S., Martins-Loução, M. A., Sheppard, L. J., & Cruz, C. (2011). Linking N-driven biodiversity changes with soil N availability in a Mediterranean ecosystem. Plant and Soil, 341(1), 125-136. https://doi.org/10.1007/s11104-010-0628-3

Doležal, J., Lanta, V., Mudrák, O., & Lepš, J. (2019). Seasonality promotes grassland diversity: Interactions with mowing, fertilization and removal of dominant species. Journal of Ecology, 107(1), 203-215. https://doi.org/10.1111/1365-2745.13007

Dvorský, M., Mudrák, O., Doležal, J., & Jirků, M. (2022). Reintroduction of large herbivores restored plant species richness in abandoned dry temperate grassland. Plant Ecology, 223(5), 525-535. https://doi.org/10.1007/s11258-022-01225-w

Ebeling, M. E. (1968). The Dumas method for nitrogen in feeds. Journal of the Association of Official Analytical Chemists, 51(4), 766-770. https://doi.org/10.1093/jaoac/51.4.766

Ewald, J. (2003). The calcareous riddle: Why are there so many calciphilous species in the Central European flora? Folia Geobotanica, 38(4), 357-366. https://doi.org/10.1007/BF02803244

Fick, S. E., & Hijmans, R. J. (2017). WorldClim 2: New 1-km spatial resolution climate surfaces for global land areas. International Journal of Climatology, 37(12), 4302-4315. https://doi.org/10.1002/joc.5086

Fukami, T. (2015). Historical Contingency in Community Assembly: Integrating Niches, Species Pools, and Priority Effects. Annual Review of Ecology, Evolution, and Systematics, 46(1), 1-23. https://doi.org/10.1146/annurev-ecolsys-110411-160340

García-Ruiz, J. M., Lasanta, T., Ruiz-Flano, P., Ortigosa, L., White, S., González, C., & Martí, C. (1996). Land-use changes and sustainable development in mountain areas: A case study in the Spanish Pyrenees. Landscape Ecology, 11(5), 267-277. https://doi.org/10.1007/BF02059854

Helm, J., Dutoit, T., Saatkamp, A., Bucher, S. F., Leiterer, M., & Römermann, C. (2019). Recovery of Mediterranean steppe vegetation after cultivation: Legacy effects on plant composition, soil properties and functional traits. Applied Vegetation Science, 22(1), 71-84. https://doi.org/10.1111/avsc.12415

Horn, H. S. (1974). The Ecology of Secondary Succession. Annual Review of Ecology and Systematics, 5, 25-37. https://doi.org/10.1146/annurev.es.05.110174.000325

Isbell, F., Tilman, D., Polasky, S., Binder, S., & Hawthorne, P. (2013). Low biodiversity state persists two decades after cessation of nutrient enrichment. Ecology Letters, 16(4), 454-460. https://doi.org/10.1111/ele.12066

Janišová, M., Michalcová, D., Bacaro, G., & Ghisla, A. (2014). Landscape effects on diversity of semi-natural grasslands. Agriculture, Ecosystems & Environment, 182, 47-58. https://doi.org/10.1016/j.agee.2013.05.022

Joern, A. (1979). Resource Utilization and Community Structure in Assemblages of Arid Grassland Grasshoppers (Orthoptera: Acrididae). Transactions of the American Entomological Society (1890-), 105(3), 253-300.

Joint Research Centre. (2008). Handbook on constructing composite indicators: Methodology and user guide. OECD publishing, Paris, France. https://doi.org/10.1787/9789264043466-en

Jonsen, I. D., & Fahrig, L. (1997). Response of generalist and specialist insect herbivores to landscape spatial structure. Landscape Ecology, 12(3), 185-197. https://doi.org/10.1023/A:1007961006232

Kerr, J. T., & Currie, D. J. (1995). Effects of Human Activity on Global Extinction Risk. Conservation Biology, 9(6), 1528-1538. https://doi.org/10.1046/j.1523-1739.1995.09061528.x

Kleijn, D., Kohler, F., Báldi, A., Batáry, P., Concepción, E. D, Clough, Y., … Verhulst, J. (2009). On the relationship between farmland biodiversity and land-use intensity in Europe. Proceedings of the Royal Society B: Biological Sciences, 276(1658), 903-909. https://doi.org/10.1098/rspb.2008.1509

Kosmas, C., Danalatos, N. G., López-Bermúdez, F., & Romero-Díaz, M. A. (2002). The effect of land use on soil erosion and land degradation under Mediterranean conditions. Mediterranean desertification: a mosaic of processes and responses, 57-70.

Le Provost, G., Badenhausser, I., Le Bagousse-Pinguet, Y., Clough, Y., Henckel, L., Violle, C., … Gross, N. (2020). Land-use history impacts functional diversity across multiple trophic groups. Proceedings of the National Academy of Sciences, 117(3), 1573-1579. https://doi.org/10.1073/pnas.1910023117

Le Provost, G., Thiele, J., Westphal, C., Penone, C., Allan, E., Neyret, M., … Birkhofer, K. (2021). Contrasting responses of above-and belowground diversity to multiple components of land-use intensity. Nature Communications, 12(1), 3918. https://doi.org/10.1038/s41467-021-23931-1

Maestre, F. T., Eldridge, D. J., Soliveres, S., Kéfi, S., Delgado-Baquerizo, M., Bowker, M. A., … Berdugo, M. (2016). Structure and Functioning of Dryland Ecosystems in a Changing World. Annual Review of Ecology, Evolution, and Systematics, 47(1), 215-237. https://doi.org/10.1146/annurev-ecolsys-121415-032311

Malandra, F., Vitali, A., Urbinati, C., Weisberg, P. J., & Garbarino, M. (2019). Patterns and drivers of forest landscape change in the Apennines range, Italy. Regional Environmental Change, 19(7), 1973-1985. https://doi.org/10.1007/s10113-019-01531-6

Martínez-Abraín, A., Jiménez, J., Jiménez, I., Ferrer, X., Llaneza, L., Ferrer, M., … Oro, D. (2020). Ecological consequences of human depopulation of rural areas on wildlife: A unifying perspective. Biological Conservation, 252, 108860. https://doi.org/10.1016/j.biocon.2020.108860

Millenium Ecosystems Assessment. (2005). Ecosystems and human well-being (Vol. 5). Island Press Washington, DC. http://www.who.int/entity/globalchange/ecosystems/ecosys.pdf

Møller, A. P. (2019). Parallel declines in abundance of insects and insectivorous birds in Denmark over 22 years. Ecology and Evolution, 9(11), 6581-6587. https://doi.org/10.1002/ece3.5236

Nielsen, U. N., Ayres, E., Wall, D. H., & Bardgett, R. D. (2011). Soil biodiversity and carbon cycling: A review and synthesis of studies examining diversity–function relationships. European Journal of Soil Science, 62(1), 105-116. https://doi.org/10.1111/j.1365-2389.2010.01314.x

Ochoa-Hueso, R., Stevens, C. J., Ortiz-Llorente, M. J., & Manrique, E. (2013). Soil chemistry and fertility alterations in response to N application in a semiarid Mediterranean shrubland. Science of The Total Environment, 452-453, 78-86. https://doi.org/10.1016/j.scitotenv.2013.02.049

Penone, C., Le Viol, I., Pellissier, V., Julien, J., Bas, Y., & Kerbiriou, C. (2013). Use of LargeScale Acoustic Monitoring to Assess Anthropogenic Pressures on Orthoptera Communities. Conservation Biology, 27(5), 979-987. https://doi.org/10.1111/cobi.12083

Pereira, H. M., & Navarro, L. M. (2015). Rewilding european landscapes. Springer Nature. https://library.oapen.org/bitstream/handle/20.500.12657/28102/1/1001892.pdf

Perner, J., & Malt, S. (2003). Assessment of changing agricultural land use: Response of vegetation, ground-dwelling spiders and beetles to the conversion of arable land into grassland. Agriculture, Ecosystems & Environment, 98(1), 169-181. https://doi.org/10.1016/S0167-8809(03)00079-3

Pinheiro, J. (2011). nlme: Linear and nonlinear mixed effects models. R package version, 3, 1. https://svn.r-project.org/R-packages/trunk/nlme/

Plieninger, T., Hui, C., Gaertner, M., & Huntsinger, L. (2014). The Impact of Land Abandonment on Species Richness and Abundance in the Mediterranean Basin: A Meta-Analysis. PLOS ONE, 9(5), e98355. https://doi.org/10.1371/journal.pone.0098355

Plieninger, T., Levers, C., Mantel, M., Costa, A., Schaich, H., & Kuemmerle, T. (2015). Patterns and drivers of scattered tree loss in agricultural landscapes: Orchard meadows in Germany (1968-2009). PLoS One, 10(5), e0126178. https://doi.org/10.1371/journal.pone.0126178

Prévosto, B., Kuiters, L., Bernhardt-Römermann, M., Dölle, M., Schmidt, W., Hoffmann, M., … Brandl, R. (2011). Impacts of Land Abandonment on Vegetation: Successional Pathways in European Habitats. Folia Geobotanica, 46(4), 303-325. https://doi.org/10.1007/s12224-010-9096-z

Prieto-Benítez, S., & Méndez, M. (2011). Effects of land management on the abundance and richness of spiders (Araneae): A meta-analysis. Biological Conservation, 144(2), 683-691. https://doi.org/10.1016/j.biocon.2010.11.024

Queiroz, C., Beilin, R., Folke, C., & Lindborg, R. (2014). Farmland abandonment: Threat or opportunity for biodiversity conservation? A global review. Frontiers in Ecology and the Environment, 12(5), 288-296. https://doi.org/10.1890/120348

R Development Core Team. (2014). R: A language and environment for statistical computing. R Foundation for Statistical Computing, Vienna, Austria, 2012. ISBN 3-900051-07-0.

Rayment, G. E., & Higginson, F. R. (1992). Australian laboratory handbook of soil and water chemical methods. https://www.cabidigitallibrary.org/doi/full/10.5555/19921973446

Rebrina, F., Reinhold, K., Tvrtković, N., Gulin, V., & Brigić, A. (2022). Vegetation Height as the Primary Driver of Functional Changes in Orthopteran Assemblages in a Roadside Habitat. Insects, 13(7), Article 7. https://doi.org/10.3390/insects13070572

Rey-Benayas, J. M., Martins, A., Nicolau, J. M., & Schulz, J. (2007). Abandonment of agricultural land: An overview of drivers and consequences, CAB Reviews, 2, 1–14. https://doi.org/10.1079/PAVSNNR20072057

Romero-Calcerrada, R., & Perry, G. L. (2004). The role of land abandonment in landscape dynamics in the SPA ‘Encinares del rı́o Alberche y Cofio, Central Spain, 1984–1999. Landscape and Urban Planning, 66(4), 217-232. https://doi.org/10.1016/S0169-2046(03)00112-9

Scherber, C., Eisenhauer, N., Weisser, W. W., Schmid, B., Voigt, W., Fischer, M., … Tscharntke, T. (2010). Bottom-up effects of plant diversity on multitrophic interactions in a biodiversity experiment. Nature, 468(7323), 553-556. https://doi.org/10.1038/nature09492

Schulte, E. E., & Hopkins, B. G. (2015). Estimation of Soil Organic Matter by Weight Loss-On-Ignition. En F. R. Magdoff, M. A. Tabatabai, & E. A. Hanlon (Eds.), SSSA Special Publications (pp. 21-31). Soil Science Society of America. https://doi.org/10.2136/sssaspecpub46.c3

Uchida, K., & Ushimaru, A. (2014). Biodiversity declines due to abandonment and intensification of agricultural lands: Patterns and mechanisms. Ecological Monographs, 84(4), 637-658. https://doi.org/10.1890/13-2170.1

Vidal, M. C., & Murphy, S. M. (2018). Bottom-up vs. top-down effects on terrestrial insect herbivores: A meta-analysis. Ecology Letters, 21(1), 138-150. https://doi.org/10.1111/ele.12874

Zomer, R. J., Trabucco, A., Bossio, D. A., & Verchot, L. V. (2008). Climate change mitigation: A spatial analysis of global land suitability for clean development mechanism afforestation and reforestation. Agriculture, Ecosystems & Environment, 126(1), 67-80. https://doi.org/10.1016/j.agee.2008.01.014


 


Anexo / Annex

Tabla A1. Proporción de la varianza explicada por las variables ambientales sobre la riqueza en las parcelas en el área de estudio. – indica que las variables no fueron seleccionadas en el modelo final. ‘R2 Tipo de parcela (R2 total)’ indica la varianza explicada por la suma del efecto simple de tipo de parcela junto con el efecto asociado a las variables con las que interacciona, con la varianza total del modelo entre paréntesis.

Table A1. Relative explained variance by environmental variables on richness for plots in the study area. – indicates that those variables were not selected in the final model. ‘R2 Plot type (total R2)’ indicates the explained variance including plot type simple effect and its interaction with other variables, with the total explained variance of the model in parentheses.

Variable

Escala

Riqueza plantas

Riqueza ortópteros

Riqueza arañas

Riqueza muti-trófica

Tipo de parcela

-

0.01

0.1

0.24

0.16

Suelo

Local

0.53

0.15

0.25

0.13

Tipo de parcela*Suelo

Local

0.19

0.22

0.22

0.37

Usos de suelo adyacentes

Regional

-

0.14

-

0.11

Tipo de parcela*Usos de suelo adyacentes

Regional

-

-

-

-

Población humana

Regional

-

0.18

-

0.23

Tipo de parcela*Población humana

Regional

-

0.14

-

-

Clima

Regional

0.27

0.06

0.29

-

Tipo de parcela*Clima

Regional

-

0.01

-

-

R2 Tipo de parcela

(R2 total)

-

0.09 (0.43)

0.11 (0.29)

0.08 (0.17)

0.11 (0.21)

 


 

Tabla A2. Efecto de las variables ambientales sobre la biodiversidad de las parcelas en el área de estudio considerando los municipios con parcelas abandonadas con cultivos herbáceos previos. El valor de las celdas indica el estimador para la variable explicativa dentro del modelo final seleccionado. – indica que la variable no fue seleccionada en el modelo final. El estimador de ‘Tipo de parcela’ es para la parcela control en relación con la parcela de abandono. 0.1 > . > 0.05 > * > 0.01 > ** > 0.001 > ***.

Table A2. Effect of environmental variables on plots biodiversity in the study area, considering plots with abandoned herbaceous crops. The value in the cells indicates the estimator for the explanatory variable within the selected final model. – indicates that the variable was not selected in the final model. The estimator for ‘Plot type’ is for the control plot in relation to the abandoned plot. 0.1 > . > 0.05 > * > 0.01 > ** > 0.001 > ***.

 

Riqueza Plantas

Riqueza Ortópteros

Riqueza Arañas

Riqueza

Multi-trófica

Uniformidad Plantas

Uniformidad Ortópteros

Uniformidad Arañas

Uniformidad Multi-trófica

Tipo de parcela

0.02

0.31

-0.29.

-0.54

-

-

0.02

0.18

Índice de aridez

-0.36 ***

-

-0.31

-

-

-

0.004

-

Estacionalidad

-

-0.16

0.31

-

-

0.06**

-

0.13.

Población

-

0.51**

-

-

-

-

-0.01

-

Tasa de despoblación

-

3.45*

-

3.45.

-

-0.22

-

-0.92

Área natural

-

-0.22.

-

-0.28

-

-

-

-

pH

0.29*

-0.23

-0.14

-0.31

-

0.05*

-

-

Textura

-

-0.2

-

-

-

-

-0.01

-

Materia orgánica total

0.06

-

-

-

-

-

-

-

Tipo de parcela

*Índice de aridez

-

-

-

-

-

-

-0.02.

-

Tipo de parcela

*Estacionalidad

-

0.43.

-

-

-

-

-

-

Tipo de parcela

*Población

-

-0.53*

-

-

-

-

0.02

-

Tipo de parcela

*Tasa de despoblación

-

-1.63

-

-

-

-

-

-

Tipo de parcela

*Área natural

-

-

-

-

-

-

-

-

Tipo de parcela*pH

0.5**

0.59*

0.27

1.21***

-

-

-

-

Tipo de parcela

*Textura

-

-

-

-

-

-

-

-

Tipo de parcela

*Materia orgánica total

-0.25

-

-

-

-

-

-

-