ecosistemas

ISSN 1697-2473

Open access / CC BY-NC 4.0

© 2025 Los autores [ECOSISTEMAS no se hace responsable del uso indebido de material sujeto a derecho de autor] / © 2025 The authors [ECOSISTEMAS is not responsible for the misuse of copyrighted material]

 

Ecosistemas 34(3): 2909 [septiembre-diciembre / September-December, 2025]: https://doi.org/10.7818/ECOS.2909

 

Editora asociada / Associate editor: Raquel Benavides

 

ARTÍCULO DE INVESTIGACIÓN / RESEARCH ARTICLE

 


Variabilidad estructural y respuesta a la sequía en encinares (Quercus ilex) con diferente densidad de arbolado del sur de España: un enfoque multitemporal basado en teledetección

Antonio Velasco-Rodríguez1,* ORCID logo, Rafael Villar1 ORCID logo, Aurelio D. Herraiz2 ORCID logo, Pablo César Salazar-Zarzosa1 ORCID logo, Joselyn Karina Castro Castro1 ORCID logo, Salvador Arenas-Castro1 ORCID logo

(1)   Área de Ecología, Dpto. de Botánica, Ecología y Fisiología Vegetal, Facultad de Ciencias, Campus de Rabanales, s/n, 14014, Universidad de Córdoba (España).

(2)   Instituto Federal de Educação, Ciência e Tecnologia do Amazonas, Campus Humaitá, 69800.000, Amazonas (Brasil).

* Autor de correspondencia / Corresponding author: Antonio Velasco-Rodríguez [a62veroa@uco.es]

> Recibido / Received: 14/11/2024 – Aceptado / Accepted: 08/07/2025

Cómo citar / How to cite: Velasco Rodríguez, A., Villar, R., Herráiz, A.D., Salazar-Zarzosa, P.C., Castro Castro, J.K., Arenas-Castro, S. 2025. Variabilidad estructural y respuesta a la sequía en encinares (Quercus ilex) con diferente densidad de arbolado del sur de España: un enfoque multitemporal basado en teledetección. Ecosistemas 34(3): 2909. https://doi.org/10.7818/ECOS.2909  

Variabilidad estructural y respuesta a la sequía en encinares (Quercus ilex) con diferente densidad de arbolado del sur de España: un enfoque multitemporal basado en teledetección

Resumen: A pesar de su gran valor ecológico y socioeconómico, la exposición del bosque mediterráneo de encinas (Quercus ilex subsp. ballota) a factores adversos como el manejo intensivo, los puede hacer más vulnerables a eventos como el cambio global. En este estudio, analizamos las características estructurales, de composición y funcionales de diferentes tipos de encinares según su densidad de arbolado (abierto-ABI, intermedio-INT y denso-DEN) a escala regional (Andalucía, España). Para ello, aplicamos un enfoque estadístico-descriptivo y analítico a través de modelos lineales generalizados (GLMs), así como análisis de tendencias espaciales y temporales mediante el uso de datos recogidos in-situ de parcelas del Inventario Forestal Nacional (IFN) e Índices de Vegetación (IVs) derivados de imágenes de satélite (Landsat). Aridez, elevación y los valores mínimos del índice de diferencia normalizada de vegetación (NDVImin) fueron las variables más importantes en la explicación de los tres tipos de bosque. Los GLMs mostraron una relación significativa entre los valores máximos del NDVI con las variables medidas en campo (R2 adj. ~ 0.2). Además, el análisis multitemporal del máximo del índice de vegetación mejorado (EVImáx) para un periodo de 23 años (2001-2023) mostró una relación significativa entre las dinámicas de los IVs y la precipitación, siendo la respuesta de los distintos tipos de bosque similar a los eventos de sequía. Confirmamos, además, las ventajas de la combinación de datos del IFN con teledetección en el análisis de la dinámica forestal.

Palabras clave: Andalucía; bosque mediterráneo; Inventario Forestal Nacional; Landsat; teledetección

Structural variability and response to drought in holm oak (Quercus ilex) forests with different tree density in southern Spain: a multitemporal approach based on remote sensing

Abstract: Despite their high ecological and socioeconomic value, the Mediterranean holm oak forest (Quercus ilex subsp. ballota) is becoming more vulnerable to global change due to exposure to adverse factors, such as intensive management. This study examines the structural, compositional, and functional characteristics of different types of holm oak forests based on tree density (open-ABI, intermediate-INT, and dense-DEN) at a regional scale (Andalucía, Spain). We applied a combined descriptive and analytical statistical approach using generalized linear models (GLMs), as well as spatial and temporal trend analyses with in-situ data from National Forest Inventory (NFI) plots and Vegetation Indices (VIs) derived from satellite imagery (Landsat). Aridity, elevation and minimum NDVI values (NDVImin) were the most important variables explaining the three forest types. GLM analyses revealed significant associations between maximum NDVI values and field-measured variables (R² adj. ~ 0.2). Additionally, multitemporal analysis of the maximum of enhanced vegetation index (EVImax) over a 23-year period (2001–2023) demonstrated a significant relationship between VI dynamics and precipitation, with forest types responding similarly to drought events. This study further confirms the advantages of combining NFI data with remote sensing for forest dynamics analysis.

Keywords: Andalucía; holm oak; Landsat; mediterranean forest; NDVI; National Forest Inventory


Introducción

Los bosques albergan alrededor del 80% de la biodiversidad terrestre global, a pesar de ocupar solamente el 31% de la superficie emergida (FAO 2020). Dentro de esta extensión forestal, aproximadamente la mitad se mantiene en un estado relativamente intacto, de la cual, más de un tercio está constituido por bosques primarios. En España, la superficie forestal abarca más del 55% del territorio, con un total de 28 millones de hectáreas (ha), de las cuales 18.5 millones son bosques (González Díaz et al. 2020). De forma aún más concreta, el 56% se corresponde a frondosas, 37% coníferas y un 7% a bosque mixto (González Díaz et al. 2020). En Andalucía, a escala regional, predominan los bosques mediterráneos del género Quercus (encina, alcornoque, quejigo y roble melojo). Como ecosistema forestal abierto en España y sobre todo en Andalucía, destacan las dehesas, que representan sistemas silvopastoriles de bosque de dosel abierto donde se mezclan árboles (del género Quercus principalmente en la zona mediterránea) con pastizales u otras especies de matorrales (Ferraz-de-Oliveira et al. 2016). A escala nacional las dehesas cubren una superficie de 3.5 millones de ha aproximadamente (7% del territorio español), de las cuáles 1.2 millones se encuentran en la comunidad andaluza (14% del territorio andaluz) (Moreno y Pulido 2009). Por lo tanto, la degradación de estas áreas más abiertas, por distintos motivos como el cambio climático y/o la pérdida de biodiversidad, provocaría una pérdida irreversible de funciones y servicios ecosistémicos (Marañón et al. 2012; Requena-Mullor et al. 2023). Por ejemplo, una disminución de los sumideros de carbono de los bosques comprometería su papel como solución basada en la naturaleza para la mitigación del cambio climático (Anderegg et al. 2020).

Entre los factores que determinan la estructura de un bosque, definida como la manera en que la vegetación está organizada en el espacio, teniendo en cuenta la variación y dimensión de los individuos (Franklin et al. 2002), destaca el manejo humano (Franklin et al. 2002; Rendón-Pérez et al. 2021). Así, diferenciamos bosques sin manejo como aquéllos que carecen de gestión formal, permitiendo un desarrollo natural del mismo (FAO 2003), de los bosques con manejo donde diferentes técnicas de gestión, producción y/o conservación son aplicadas intensivamente (Hernández-Silva et al. 2018). Concretamente, el grado de intervención humana en los bosques de encina o encinares (Quercus ilex) influye de manera significativa en su estructura, funcionamiento y capacidad de resiliencia frente a eventos de sequía. En bosques densos, donde la intervención es mínima, el sotobosque y la cubierta forestal suelen ser más complejos, favoreciendo la retención de humedad y la resiliencia frente a la escasez hídrica (Ellison et al. 2017). Sin embargo, estos bosques también pueden sufrir una mayor competencia por recursos, lo que los hace más vulnerables durante sequías prolongadas. Por otro lado, en los sistemas normalmente más manejados, como las dehesas, donde se aclaran árboles y se combina el uso agrícola o ganadero, la estructura del bosque cambia de forma drástica. Aunque la menor densidad de árboles permite una mayor penetración de luz y reduce la competencia por agua, la capacidad de estos ecosistemas para resistir la sequía puede verse comprometida por la pérdida de la alta biodiversidad que albergan (Moreno et al. 2018; Parra-López et al. 2023), la disminución de la humedad edáfica y la simplificación del paisaje. Los bosques intermedios, suelen tener un grado de manejo moderado, y generalmente se sitúan en un punto medio en cuanto a resiliencia, ya que presentan beneficios de ambos extremos, pero también riesgos asociados con la alteración de su estructura natural (Pardos et al. 2021). En resumen, la intervención humana modifica el funcionamiento ecológico del bosque mediterráneo, afectando tanto su capacidad de adaptación al cambio climático como su estructura, lo que determina su respuesta a la sequía y otros fenómenos climáticos extremos. Por ejemplo, el abandono del uso tradicional para leña y carbón vegetal ha derivado en superficies de monte bajo con altas espesuras, cuya competencia compromete el vigor y desarrollo de los árboles, implicando una mayor vulnerabilidad a factores de estrés abióticos (sequía) o bióticos (la seca, enfermedad causada por el hongo Phytophtora cinnamomi Rands.) (Mantero et al. 2020). También se ha incrementado el adehesamiento de los bosques densos originales por la actividad humana, influyendo, además, en alteraciones de la diversidad en sus componentes α, β y γ (Valladares et al. 2014). Otro factor a tener en cuenta es la aridez y sequía intensificadas por el cambio climático, presentándose como factores importantes de perturbación en los bosques mediterráneos andaluces, aumentando el deterioro fisiológico de los árboles, los incendios y las enfermedades forestales (Kim et al. 2017).

Comprender los procesos y dinámicas de los tipos de bosque, en este caso de encina (Quercus ilex subsp. ballota), proporcionará ventaja a la hora de anticipar, gestionar o mitigar, posibles eventos futuros adversos que derivarán en estrategias de manejo más robustas. Para afrontar estos desafíos de manera eficiente y rápida, es necesario hacer uso de enfoques de modelación y monitoreo capaces de anticipar y guiar las respuestas de los bosques al cambio global (López-Tirado y Hidalgo 2016). La combinación de datos medidos en campo, como las parcelas de los inventarios forestales, junto a datos de teledetección satelital, puede presentarse como una alternativa dinámica crucial ante datos tradicionales más estáticos (Ruiz-Benito et al. 2017; Herraiz et al. 2025). Entre otras ventajas, la teledetección permite un análisis retrospectivo de las respuestas a la sequía, proporcionando información sobre los cambios temporales en la productividad primaria del bosque y el contenido de agua del dosel en grandes extensiones del territorio (Jiao et al. 2021). Entre otros productos derivados de la teledetección, los índices espectrales de vegetación (IVs) como el Índice de Vegetación de Diferencia Normalizada o NDVI por sus siglas en inglés, así como el Índice de Salud de la Vegetación (VHI, Vegetation Health Index), informan sobre su estado incluso durante eventos de cambio climático extremos (Alcaraz-Segura et al. 2008; Bento et al. 2018; Vila-Viçosa et al. 2020).

En este sentido, si bien la mayoría de los estudios sobre las respuestas de los ecosistemas forestales a la sequía se han centrado en las respuestas de especies individuales (López-Tirado y Hidalgo 2016; Herraiz et al. 2023), es necesario conocer su respuesta, y resiliencia, a los eventos extremos desde un punto de vista estructural y de gestión, y a nivel de paisaje más amplio para periodos de tiempo más largos. Para ello, los bosques de encina de Andalucía, definidos como densos (DEN), intermedios (INT) y abiertos (ABI)), y con diferentes grados de gestión, constituyen un contexto geográfico idóneo para testar nuestra investigación. Bajo estas premisas, en este trabajo pretendemos mejorar la comprensión de las respuestas de los tipos de bosque de encina en base a sus diferencias en estructura y composición de la vegetación y características ambientales. De este modo, podemos analizar en un plazo amplio de tiempo, las posibles y diferentes respuestas de cada tipo de bosque a eventos adversos. De manera específica pretendemos: 1) conocer y examinar las variables (bióticas, abióticas y espectrales) que caracterizan a cada tipo de bosque de encina; 2) investigar las relaciones entre variables bióticas y abióticas medidas en campo y los índices multiespectrales derivados de datos de satélite; y 3) realizar un análisis multitemporal de los índices espectrales para cada tipo de bosque y evaluar su relación con eventos climáticos destacados. Las hipótesis que planteamos son: H1: existen diferencias significativas entre los distintos tipos de bosque de encina detectables con variables biofísicas medidas en campo e IVs obtenidos por teledetección satelital; H2: Considerando que los IVs dependen principalmente de factores climáticos (precipitación y temperatura) y topográficos, la respuesta espectral de cada tipo de bosque estará influenciada también por su estructura y gestión, reflejando una combinación única de factores ambientales que influyen en ella; y H3: El análisis interanual de los índices de vegetación permitirá observar una respuesta diferente de cada tipo de bosque a eventos extremos producidos por el cambio climático.

Materiales y métodos

Área y especie de estudio

El área de estudio abarca toda la comunidad autónoma de Andalucía, situada en el sur de España con una extensión de 87 609 km2. Andalucía está influenciada por la región atlántica y mediterránea, predominando esta última, y presenta un rango marcado de precipitación que coincide con un rango de sequía que se incrementa de este a oeste de la comunidad. La temperatura media anual es suave (16 °C) y con una elevada radiación solar (300 días soleados de media por año). En cuanto a la elevación, Andalucía tiene un rango de 0 hasta 3500 m sobre el nivel del mar (Sierra Nevada), con una elevación media de 1000 m. El relieve no sólo ejerce efectos significativos en las condiciones climáticas, sino que también influye notablemente en la vegetación presente y el tipo de ocupación del suelo, dando lugar a una amplia variedad de tipos de coberturas vegetales con distintos ciclos fenológicos y dinámicas (Caparros-Santiago y Rodríguez-Galiano 2020). Toda esta variabilidad a lo largo de la región resulta en una gran variedad de especies, hábitats y ecosistemas. Tanto es así, que hasta el 60% de todas las especies de flora y fauna existentes en la península ibérica se pueden encontrar en Andalucía. Toda esta riqueza medioambiental hace que más del 30% de la superficie de Andalucía presente algún tipo de figura de protección para su conservación (Hernández et al. 2014).

En Andalucía hay una gran área ocupada por actividades agrícolas de cultivos herbáceos y leñosos, destacando las áreas bajas del Guadalquivir, así como depresiones entre montañas y las franjas costeras no urbanizadas (Naranjo Ramírez 2003). Por el contrario, encontramos áreas en Sierra Morena y en las cordilleras Béticas donde prevalecen las zonas boscosas con gran presencia de quercíneas y coníferas respectivamente (Araque Jiménez y Sánchez Martínez 2009).

De entre todas las especies del género Quercus, la encina (Quercus ilex subsp. ballota) es la más abundante en la península ibérica y en Andalucía. Los encinares, por tanto, tienen una gran importancia tanto funcional como de aportación de servicios ecosistémicos (suministro, regulación, culturales) (Marañón et al. 2012; Kim et al. 2017; Bastias et al. 2025). Por ende, se hace indispensable profundizar en el análisis y estudio de la relación entre tipos de bosque de encina y las características del medio que los rodea. No todos los bosques mediterráneos de encina presentan la misma estructura y, por lo tanto, pueden tener dinámicas muy distintas a pesar de que la especie dominante sea la misma. Pueden clasificarse de manera simplificada en tres categorías en función de su densidad: abierto, intermedio y denso (Fig. 1). Los bosques con estructura abierta o adehesados, se caracterizarían por presentar una densidad de árboles y regeneración muy baja, y por consiguiente una biomasa escasa, aunque el crecimiento relativo de los árboles podría ser mayor al haber menos competencia. Además, se suelen encontrar en zonas llanas con baja elevación, facilitando la intervención humana. Por el contrario, en el otro extremo tendríamos el bosque denso, caracterizado normalmente por aparecer en zonas de elevada altura y pendiente, con una cobertura de vegetación densa, y con escasa intervención humana. Los bosques de tipo intermedio tendrían características intermedias entre el abierto y el bosque denso (Fig. 1). Por lo tanto, sería de gran utilidad poder distinguir qué características bióticas y abióticas previamente relacionadas con datos de teledetección caracterizan cada tipo de bosque para optimizar el desarrollo de estudios y/o trabajos de conservación y monitoreo.

Características asociadas a encinares
ibéricos dependiendo de su densidad de arbolado: Abierto (ABI); Intermedio (INT) y Denso (DEN)

 

Figura 1.Características asociadas a encinares ibéricos dependiendo de su densidad de arbolado: Abierto (ABI); Intermedio (INT) y Denso (DEN).

Figure 1. Associated properties to Iberian holm oaks forests based on tree density. Open (ABI); Medium (INT) and Dense (DEN).

Datos y variables seleccionadas

Inventario Forestal Nacional

El Inventario Forestal Nacional (IFN) establece parcelas permanentes en una cuadrícula de 1 km2 en todo el territorio forestal de España (Alberdi et al. 2016). Las parcelas suelen muestrearse siguiendo subparcelas concéntricas de 5, 10, 15 y 25 m de radio, en las cuales se miden los diámetros y alturas de todos los árboles que presenten un diámetro a la altura del pecho (DAP) superior a 7.5, 12.5, 22.5 y 42.5 cm, respectivamente en cada subparcela (Durante et al. 2019). Para el presente estudio se usó información del conjunto de datos del IFN2, comprendido entre 1995 y 1997, y del IFN3 comprendido entre 2006 y 2008. Se seleccionaron parcelas de clase “A”, y las subclases “1”, “3C” y “N”, las cuales corresponden con parcelas analizadas durante el IFN2 y el IFN3, siendo además comparables entre ellas. Esto nos permitió tener en cuenta las parcelas que existen en ambas ediciones del inventario para calcular la productividad forestal. Además, se seleccionaron las parcelas dentro del área de estudio (Andalucía) clasificadas por tipo de bosque (Fig. 2). En nuestro caso, la clasificación de tipos de bosque se realizó según la densidad de arbolado de la parcela. Definiéndose como bosque abierto (ABI) aquellas parcelas que presentan entre >20 y <50 árboles/ha, bosque intermedio (INT) entre >150 y <350 árboles/ha, y bosque denso (DEN) con un número de árboles igual o superior a 400 árboles/ha (Fig. A1 del Anexo). Estos intervalos de densidad se hicieron en base al número de pies en formaciones de bosque abierto y bosque denso en Q. ilex, incluyéndose una clase intermedia que no solapase con los extremos. El IFN clasifica morfo-estructuralmente las parcelas según sean “Bosques”, “Bosques de plantación”, o “Bosques adehesados”. El 70% de las parcelas clasificadas como “bosque adehesado” en el IFN corresponden con nuestra clasificación de “bosque abierto”, el 81% de las parcelas clasificadas como “bosques” en el IFN corresponden con nuestra clasificación de “bosque intermedio” o “bosque denso”, mientras que los “bosques de plantación” son muy escasos (sólo un 2%). En total, 1180 parcelas (563 ABI, 361 INT y 256 DEN) de encina coincidentes en ambos IFNs fueron seleccionadas para su estudio en toda la región de Andalucía (España).

Se usó el DAP para calcular la biomasa por árbol (kg·árbol-1) mediante una ecuación alométrica descrita en Ruiz-Peinado et al. (2012). La biomasa forestal (Mg·ha-1) fue calculada para cada parcela como la suma de la biomasa individual de cada árbol dentro de cada subparcela (Ruiz-Benito et al. 2014; Herraiz et al. 2023). Se seleccionaron aquellas parcelas donde la especie de estudio (Q. ilex subsp. ballota) es la especie dominante, es decir, presentaba más del 85% de la biomasa de la parcela.

A partir de la biomasa del IFN3 y del IFN2 se calculó la productividad como la diferencia de ambos valores dividido entre el tiempo transcurrido entre ambos inventarios, estimándose como el crecimiento corriente basado en los dos IFNs. También se calculó la densidad de árboles de cada subparcela como la suma de árboles por ha.

 

Área de estudio (Andalucía) dentro de la península Ibérica (A); y ubicación de parcelas del tercer Inventario Forestal Nacional (IFN3) clasificadas en Abierto (ABI), Intermedio (INT) y Denso (DEN) dentro de Andalucía (B)

 

Figura 2. Área de estudio (Andalucía) dentro de la península Ibérica (A); y ubicación de parcelas del tercer Inventario Forestal Nacional (IFN3) clasificadas en Abierto (ABI), Intermedio (INT) y Denso (DEN) dentro de Andalucía (B).

Figure 2. Study area (Andalucía) inside the península Ibérica (A); and location of third National Forest Inventory (IFN3) plots classified as Open (ABI), Medium (INT) and Dense (DEN) inside Andalucía (B).

Clima y topografía

También se tomaron datos de variables abióticas (climáticas, topográficas, etc.) que podrían influir en los encinares. A partir de modelos digitales de elevación en formato ráster con resolución de 30 m, y usando el paquete “elevatr” en R, se calculó la pendiente (%) para todas las parcelas como el máximo cambio de elevación entre una celda y sus celdas colindantes. Por otra parte, se obtuvieron los datos de temperatura media anual (MAT) y de precipitación (MAP) de la base de datos de WorldClim 1.2 (Hijmans 2012) para el mismo año de la toma de datos del IFN3 (2007). Además, se obtuvieron los datos de precipitación del mes más seco (DMP) y temperatura del mes más seco (DMT), para calcular el índice de aridez modificado de Martonne (AIm) atendiendo a la siguiente fórmula (temperatura siempre en grados Celsius y precipitación en milímetros) (Stadler 2005):

AIm = {[MAP] / [MAT + 10]} + {[12 ×DMP] / [DMT+10] / 2}

Dado que los valores más altos del AIm indican una alta disponibilidad de agua, transformamos esta variable de la siguiente manera: AI = 100-AIm. La transformación de AI (100 − AIm) es completamente lineal y no afecta a los resultados (Salazar-Zarzosa et al. 2021). Así, los valores más altos del índice se corresponden con zonas con menor humedad y viceversa.

También se obtuvieron los valores de precipitación media anuales en Andalucía a partir de la Red de Información Ambiental de Andalucía (REDIAM), para el periodo de tiempo del presente trabajo (2001-2023). A diferencia de WorldClim, la REDIAM contiene todos los datos de precipitación para este periodo con una mayor resolución temporal. Seguidamente, se realizó una extracción de los valores de precipitación para cada parcela del IFN.

Índices de vegetación (IVs)

La obtención de los IVs se realizó mediante la plataforma computacional basada en la nube Google Earth Engine (GEE) (Gorelick et al. 2017). Se usó una serie temporal de datos de imágenes satelitales de Landsat 7 (Level 2, Collection 2, Tier 1), ya corregidas atmosféricamente, que cubrían el periodo de estudio (2001-2023). Este satélite fue seleccionado debido a su resolución temporal (15 días) y espacial (30 m de tamaño de píxel). Los IVs seleccionados para el presente trabajo fueron el índice de vegetación de diferencia normalizada (normalized difference vegetation index, NDVI) y el índice de vegetación mejorado (enhanced vegetation idex, EVI). El cálculo de los IVs se hizo siguiendo las fórmulas siguientes, creando una composición con todas las imágenes para cada año, y extrayendo el valor del píxel donde se ubica el centro de cada parcela del IFN.

NDVI = (NIR-R)/ (NIR+R)

EVI =G * ((NIR-R)/(NIR+C1*R-C2*B+L))

donde B, R y NIR corresponden a la reflexión espectral propias del azul, rojo, e infrarrojo cercano, respectivamente. G es un factor de ganancia con valor de 2,5. L es el ajuste de fondo de la cubierta vegetal equivalente a 1. C1 y C2 son coeficientes de la resistencia de aerosol, con valor de 6 y 7,5 respectivamente (Rouse et al. 1973; Huete et al. 2002).

En un trabajo preliminar (Herraiz et al. 2023) se comprobó que el valor del NDVI del píxel donde estaba localizada la parcela se correlacionó fuertemente (R² = 0.93, P<0.001) con el valor de NDVI de los 9 píxeles alrededor del punto de la parcela.

Seguidamente, se calculó la media anual de todos los años del periodo de estudio, para todas las imágenes de la colección. Para estimar cuantitativamente la salud vegetal a nivel de píxel y su dinámica en una serie temporal, donde la sequía puede afectar, se empleó, además del NDVI y del EVI, el índice de salud de la vegetación (vegetation health index, VHI). Se incorporaron estos índices para cubrir las limitaciones ya conocidas del NDVI en cuanto a la interferencia por la señal del suelo y en elevadas coberturas vegetales (Huang et al. 2021; Mutanga et al. 2023). Por su parte, el VHI fue calculado para cuantificar e identificar la sequía sobre todo en plantaciones agrícolas en base a la salud de la vegetación (Kogan 1995; Dalezios et al. 2014). Es un índice calculado a partir del NDVI y de la temperatura superficial terrestre. Todos ellos (NDVI, EVI y VHI) tienen un rango de valores entre -1 y 1, representando un mejor estado de la vegetación cuanto mayor sea el valor (Kogan 1995). El VHI mide el estado de la salud de la vegetación partiendo del propio NDVI, e incluyendo en su fórmula la temperatura superficial de la tierra (LST) para tener en cuenta las condiciones térmicas. Para obtener el VHI, primero se calcula el índice de condición de la vegetación (VCI) y después el índice de condición térmica (TCI) de la siguiente manera:

VCI = (NDVI - NDVImin)/(NDVImax -NDVImin)

TCI = (LSTmax - LST) / (LSTmax - LSTmin); siendo LST el valor de temperatura de la superficie, LSTmax el valor máximo del mismo y LSTmin el mínimo.

VHI =a*VCI + (1- a)*TCI,

siendo “a” el coeficiente de la contribución de cada índice (VCI y TCI) entre 0 y 1. En este caso, se consideró el valor de 0.5 para ambos.

Para el NDVI se obtuvieron los valores medios (NDVImedio), mínimos (NDVImin) y máximos (NDVImáx) anuales, necesarios en el cálculo del VHI, y porque representan las dinámicas fenológicas a lo largo del año. De igual forma para el EVI se calcularon los valores medios (EVImedio), mínimos (EVImin) y máximos (EVImáx). En ambos IVs, se consideran estas tres métricas por su importancia a la hora de monitorizar la vegetación y por su capacidad de diferir entre tipos de bosque (Torres et al. 2021).

En resumen, se obtuvo una base de datos con todas las variables medidas en campo a partir del IFN, y los IVs correspondientes al mismo año de muestreo (2007).

Para el tercer objetivo, se obtuvo una base de datos multitemporal con los valores de todos los IVs calculados anualmente (valores medios, mínimos y máximos anuales) y la precipitación anual acumulada para cada parcela en el periodo de tiempo 2001-2023.

Análisis de datos

Para evaluar las diferencias entre los distintos tipos de bosque (ABI, INT, y DEN) (Objetivo 1), con el paquete “stats” de R base, se realizó una prueba no paramétrica de Kruskal-Wallis (K-W) de las variables de interés (aridez, precipitación, elevación, Biomasa IFN3, Productividad, Nº de especies matorral IFN3 y NDVImin), dado que los datos no seguían una distribución normal. Se usó el valor mínimo de uno de los IVs para tratar de disminuir la influencia de pastos o matorrales en la señal espectral de las parcelas, sobre todo en las de bosque abierto (Wang y Tenhunen 2004; Hoek van Dijke et al. 2023). Posteriormente, se aplicó una prueba de comparación de medias por pares (test de Wilcoxon) para saber qué grupos eran significativamente diferentes entre sí. Además, con la finalidad de saber qué variables son diferenciadoras del tipo de bosque, se realizó un modelo multinomial con los tipos de bosque como variable respuesta y las variables mencionadas anteriormente como predictoras. Para ver si las variables de nuestra base de datos (IFN e IVs) estaban correlacionadas, se realizó un análisis de correlación (test de Spearman) con el paquete “corrplot” (Fig. A2 del Anexo), y posteriormente un análisis de componentes principales (PCA) usando el paquete “FactoMineR” (Figs. A3 – A5 del Anexo). Las variables incluidas en el PCA fueron: aridez, precipitación, pendiente, biomasa IFN3, productividad, EVImin, NDVImin, VHI. Los mínimos de los IVs fueron seleccionados por el mismo motivo que anteriormente (eliminar ruido del resto de vegetación). Se hizo además un test de ANOVA (paquete “stats”) entre los datos de todas las variables de los tres tipos de bosque para buscar diferencias significativas entre sus medias en el primer y segundo componente.

Posteriormente, para la consecución del Objetivo 2 se realizaron modelos lineales generalizados (GLMs) (función glm, paquete “stats”) donde la variable dependiente fueron los IVs (NDVImedio, NDVImax, NDVImin, EVImedio, EVImax, EVImin y VHI), y las variables independientes fueron: precipitación, aridez, biomasa del IFN3 y pendiente. Los GLMs se llevaron a cabo marcando la familia “gamma” por el tipo de distribución que seguían los datos de los IVs. Para ajustar la presencia de valores negativos se escalaron todos los valores de los IVs mínimos, para poder usar así dicha distribución en todos los GLMs. Las variables independientes fueron seleccionadas evitando la correlación entre ellas tras el correspondiente análisis (Fig. A2 del Anexo) y seleccionando aquellas que intervienen de manera más directa en la estructura y dinámica de los bosques (Bolstad et al. 2018). Los GLMs son métodos estadísticos flexibles para analizar las relaciones ecológicas, ya que tienen en cuenta el comportamiento interactivo de variables que pueden estar vagamente representadas por distribuciones gaussianas (lineales) clásicas. Para conocer el rendimiento de los modelos se usaron diferentes métricas e indicadores como el criterio de información de Akaike corregido (AICc), el R2 ajustado (R2 adj.) o el pseudo-R2 de Nagelkerke (Tablas A2-A4 del Anexo). Además, se realizó una prueba de verosimilitud para comparar nuestros modelos y determinar si nuestras variables tienen mayor poder explicativo que un modelo vacío (IVs ~ 1). A todos los modelos se les realizó un ANOVA, usando la prueba de Chi cuadrado, para compararlos y conocer así si nuestros modelos eran significativos. Los valores de AICc de estos modelos vacíos también fueron comparados con los de los modelos reales para detectar los modelos con mejor rendimiento según esta métrica de rendimiento (menor valor de AICc).

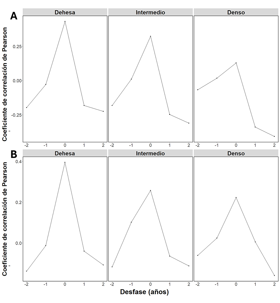
Para abordar el Objetivo 3, relacionado con la variabilidad interanual de los IVs por tipo de bosque, se seleccionaron los índices con mejor rendimiento en los GLMs, es decir, aquellos cuyas métricas de rendimiento son mejores (menor AICc en comparación con su modelo vacío y mayor R2 adj. y pseudo-R2 de Nagelkerke). A partir de los promedios anuales de los IVs seleccionados (NDVImax y EVImax), se midió la correlación entre estos índices con el coeficiente de correlación de Spearman (ρ). Posteriormente, calculamos las tendencias (pendiente) de estos IVs para una serie temporal de 23 años (2001-2023) mediante el test de Mann-Kendall (Mann 1945; Kendall 1975) para cada tipo de parcela del IFN (paquete “Kendall”). Una vez calculadas las tendencias, fueron representadas espacialmente (paquetes “sf” y “ggplot2”) (Fig. 5). Para conocer la respuesta en el índice de verdor de cada tipo de bosque frente a periodos de baja precipitación o sequía, se realizaron análisis de correlación de Pearson entre los IVs y los valores de precipitación anual. Además, se realizó una prueba de correlación cruzada que consiste en analizar si la correlación entre las variables se da con un efecto de retardo, temprano o tardío (Vio y Wamsteker 2001); en este caso, analizamos si el retardo del valor de los IVs ocurría hasta 2 años antes o después de cada valor de precipitación.

Todos los análisis fueron llevados a cabo en el entorno de programación de R (versión 4.2.2).

Resultados

Diferencias entre los tipos de bosque de encina

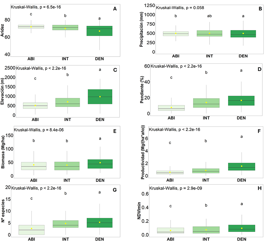
Se observaron diferencias significativas (p < 0.05) entre los tipos de bosque para todas las variables estudiadas (Fig. 3), excepto para la precipitación (K-W p-value = 0.06). Concretamente, las mayores diferencias fueron para la aridez, la elevación, la pendiente, la productividad, el número de especies del matorral y el NDVImin. Los bosques DEN son los que mostraron una menor aridez (Fig. 3A), mayor precipitación, elevación y pendiente (Figs. 3B, C y D), mayor biomasa y productividad (Figs. 3E y F), mayor número de especies de matorral (Fig. 3G), y mayor NDVImin (Fig. 3H), mientras que para el ABI ocurrió lo opuesto. Los valores de los bosques INT se encuentran entre los DEN y ABI. También hubo variables que muestran diferencias significativas sólo entre dos tipos de bosque, y no entre los tres. Es el caso de la biomasa (Fig. 3E), donde los valores más altos se dieron para el DEN diferenciándose significativamente del INT y del ABI, respectivamente.

 

style='margin-top:8.0pt'

 

Figura 3. Comparación de las variables de estudio, bióticas y abióticas, entre los diferentes tipos de bosque: Abierto (ABI), Intermedio (INT) y Denso (DEN). Límite inferior de la caja como primer cuartil (Q1), límite superior como tercer cuartil (Q3), línea divisoria como mediana o segundo cuartil (Q2) y punto amarillo como la media. Las barras indican la desviación estándar. Diferentes letras indican una diferencia estadística (P<0.05) entre grupos.

Figure 3. Comparison of biotic and abiotic study variables between forest types: Open (ABI), Intermedio (INT) y Denso (DEN). Lower boundary of the box as first quartile (Q1), upper boundary as third quartile (Q3), dividing line as median or second quartile (Q2) and yellow dot as the mean. The whiskers indicate the standard deviation. Different letters indicate a statistical difference (P<0.05) between groups.

En el análisis de ordenación (PCA), la varianza absorbida por el componente 1 y 2 fue de un 30.4% y un 17.1%, respectivamente (Fig. A3 del Anexo). Las variables más relacionadas con el componente 1 fueron la elevación y la aridez (Fig. A4 del Anexo), mientras que para el componente 2 fueron los mínimos del NDVI y EVI (Fig. A4 del Anexo). Se observó que no existen diferencias significativas en las medias de los tres grupos, tampoco en el componente principal 1 ni en el componente principal 2, aunque se puede ver que el espacio ocupado es mayor en los bosques DEN frente al ABI e INT, mostrando los primeros una mayor variabilidad.

Modelos lineales generalizados

Los resultados de los GLMs realizados por tipo de bosque mostraron que, de las tres métricas de cada índice de verdor además del VHI, la mejor relación se da en el NDVImax y EVImax (Tabla 1, Tablas A2-A4 del Anexo), siendo los modelos significativos para los tres tipos de bosque (p-value < 0.05). Independientemente del tipo de bosque, esta métrica es la que mejor se relacionó con las variables biofísicas (R2 adj. NDVImax medio = 0.17; R2 adj. EVImax medio = 0.15). Tras los valores máximos, es la media la que presentó un mejor rendimiento en los modelos.

Con respecto a los coeficientes significativos de los modelos (Tabla 1, Tabla A1 del Anexo), el “intercept” fue significativo en todos los modelos de todos los tipos de bosque, excepto en los valores mínimos. Las únicas variables que aparecieron como significativas en algunos modelos fueron la biomasa (7 de 21) y la aridez (2 de 21) (Tabla A1 del Anexo). El resto de variables (precipitación y pendiente) no presentaron significancia en ninguno de los modelos. 

Tabla 1. Aportación de las variables a los GLMs con mejor rendimiento para los tres tipos de bosque (ABI, abierto; INT, intermedio; DEN, denso). Grado de significancia representado por *** (p-value <0.001), ** (0.001 < p-value < 0.01), ** (0.001 < p-value < 0.01), * (0.01 < p-value < 0.05). NDVImáx: Índice de Diferencia Normalizada de la Vegetación (máximo anual); EVImáx: Índice de Vegetación Mejorado (máximo anual).

Table 1. Contribution of the variables to the GLMs with best performance for the three types of forests (ABI, open; INT, intermediate; DEN, dense). Degree of significance represented by: *** (p-value < 0.001), ** (0.001 < p-value < 0.01), * (0.01 < p-value < 0.05). NDVImax: Normalized Difference Vegetation Index (annual maximum); EVImax: Enhanced Vegetation Index (annual maximum).

 

Tipo bosque

Biomasa

Precipitación

Pendiente

Aridez

R2 adj.

 

NDVImáx

ABI

0.0005

-2.65E+09

-0.0019

-0.0013*

0.108

INT

0.0006

-3.50E+09

-0.0002

-0.0031

0.200

DEN

0.0006

1.88E+09

0.0004

-0.0026

0.185

 

EVImáx

ABI

0.0008

-4.46E+09

-0.0035

-0.0017

0.112

INT

0.0009

-4.92E+09

-0.0002

-0.0049

0.180

DEN

0.0009

4.11E+09

0.0005

-0.0040

0.171

Análisis multitemporal de IVs

Se realizó un análisis multitemporal para el periodo 2001-2023 de sus valores anuales por cada tipo de bosque, superponiendo a la vez los valores anuales de precipitación media (Fig. 4). El NDVImax mostró unos valores mayores en ABI durante toda la serie con respecto a los demás tipos de bosque, pero siempre manteniendo las mismas tendencias temporales entre los tres tipos de bosque (Fig. 4). El NDVImax mantuvo valores inferiores a los del EVImax en todo el periodo de tiempo. Por su parte, el EVImax mostró más variación entre los valores de los distintos tipos de bosque a lo largo de la serie temporal, aunque para ambos índices, los valores mayores correspondieron con el bosque ABI. El NDVImax presentó un coeficiente de correlación de Pearson no significativo con la precipitación de 0.22 (p-value = 0.07), mientras que el EVImax presentó un coeficiente de correlación de Pearson significativo y mayor (0.28; p-value = 0.02). También se realizó un análisis de correlación cruzada para analizar si la precipitación tenía un efecto retardado en los IVs. Tanto el NDVImax como el EVImax presentaron una mayor correlación con el retardo = 0 (Fig. A6 del Anexo).

En relación con los valores de precipitación, hay años donde se dieron eventos de sequía extremos, como en los años 2015, 2017 o 2023, destacando el año 2005. Para los años de sequía, los valores de precipitación de los tres tipos de bosque son prácticamente similares.

Tomando NDVImax y EVImax como indicadores de referencia según los resultados de los GLMs, la tendencia de los índices en el periodo 2001-2023 para las parcelas según el tipo de bosque fue representada espacialmente (Fig. 5). El EVImax presenta una tendencia negativa casi en la totalidad de las parcelas de los tres tipos de bosque. El NDVImax muestra zonas donde se concentra el signo de la tendencia (ya sea positiva o negativa). Los puntos más al este presentan una tendencia positiva sobre todo en el DEN y en el INT, mientras que los del norte de Andalucía en el tipo ABI muestran todos una tendencia negativa.

 

Análisis multitemporal de NDVImax, EVImax y de la precipitación media por tipo de bosque clasificado en Abierto (ABI), Intermedio (INT) y Denso (DEN) entre 2001 y 2023

Figura 4. Análisis multitemporal de NDVImax, EVImax y de la precipitación media por tipo de bosque clasificado en Abierto (ABI), Intermedio (INT) y Denso (DEN) entre 2001 y 2023.

Figure 4. Multitemporal analysis of NDVImax, EVImax and mean precipitation by forest type classified as Open (ABI), Medium (INT) and Dense (DEN) between 2001 and 2023.

 

Representación espacial de la tendencia temporal del NDVImax y del EVImax por parcela del IFN de cada tipo de bosque clasificado en Abierto (ABI), Intermedio (INT) y Denso (DEN) entre 2001 y 2023

Figura 5. Representación espacial de la tendencia temporal del NDVImax y del EVImax por parcela del IFN de cada tipo de bosque clasificado en Abierto (ABI), Intermedio (INT) y Denso (DEN) entre 2001 y 2023.

Figure 5. Spatial representation of the temporal trend of the NDVImax and EVImax by forest type classified as Open (ABI), Medium (INT) and Dense (DEN) between 2001 and 2023.

Discusión

Diferencias entre los tipos de bosque según su densidad

Nuestros resultados muestran que los bosques mediterráneos de encina en Andalucía presentan diferencias en su estructura y dinámica funcional. Aunque la densidad de arbolado no es la única indicadora de la gestión, es cierto que los bosques abiertos suelen haber sufrido un aclarado mayor a lo largo de la historia y por lo tanto una mayor intervención humana (Pulido et al. 2010). Los bosques densos tienen una biomasa superior que los bosques intermedios, y todavía mayor que los abiertos, cómo es lógico debido a su mayor densidad de árboles, mostrando además una mayor productividad (Fig. 3). Los bosques más densos suelen ubicarse en áreas de mayor pendiente y altitud, donde la implantación de sistemas agrícolas ha resultado históricamente más difícil. Estas zonas, por su inaccesibilidad o menor aptitud para la agricultura intensiva, han sido menos transformadas por la actividad humana, lo que ha favorecido la conservación de coberturas forestales más cerradas. Aunque podría pensarse que estas áreas son menos productivas —lo cual justificaría su menor uso agrícola—, diversos estudios han mostrado que en ciertos contextos presentan niveles de productividad relativamente altos (Laamrani et al. 2014; Spasojevic et al. 2015). No obstante, la relación entre productividad y topografía tiende a ser indirecta (Helman et al. 2017), ya que factores como la retención de agua, la exposición solar o la acumulación de materia orgánica —todos ellos influenciados por la topografía— son los que afectan realmente la productividad, más que la altitud o pendiente por sí solas. La edad de la encina, al igual que la densidad del arbolado, es un factor determinante en la productividad (Wang et al. 2011). Esto se debe a que, en zonas de menor pendiente, donde se suelen encontrar los bosques más abiertos y/o dehesas, los árboles tienden a ser más longevos en comparación con áreas montañosas de pendiente más pronunciada, donde además los árboles se cortan para la producción de leña o carbón (Gea-Izquierdo et al. 2008; Salazar-Zarzosa et al. 2021).

La aridez es una variable relevante para diferenciar entre los tres tipos de bosque, presentando valores más altos en los encinares abiertos (ABI) y disminuyendo gradualmente a medida que aumenta la densidad del arbolado. Esta distribución tiene sentido si consideramos que los ABI se localizan predominantemente en zonas más bajas, caracterizadas por menores precipitaciones y temperaturas más elevadas, es decir, en contextos climáticamente más áridos. No es que la estructura abierta de estos bosques cause una mayor aridez, sino que estos tipos de bosque se desarrollan en entornos más secos. Además, la gestión más intensiva en estos sistemas puede reducir la cobertura del sotobosque, lo que limita aún más la capacidad de retención de humedad del ecosistema (Díaz et al. 2021). Aunque en algunos contextos una menor densidad de arbolado puede reducir la competencia por recursos como el agua —lo cual resulta beneficioso en entornos áridos—, también se ha observado que una mayor separación entre individuos puede incrementar la vulnerabilidad de los ecosistemas forestales frente al cambio climático, especialmente en lo que respecta a la pérdida de conectividad estructural y funcional, la mayor exposición de los suelos y la reducción del microclima generado por la cubierta arbórea (Young et al. 2023). Esta vulnerabilidad no se limita exclusivamente a los bosques abiertos, pero en ellos puede ser más pronunciada debido a la menor resiliencia estructural frente a perturbaciones externas. Este patrón también se observa a través del EVImin, aumentando el índice de verdor a medida que aumenta la densidad del arbolado. Además, los valores mínimos permitieron distinguir significativamente los diferentes tipos de bosque según su señal espectral como demuestran nuestros resultados (Fig. 3H). Al tratarse de valores mínimos, podemos disminuir la señal de especies no arbóreas que pueden tener picos elevados de verdor e influir en los datos (Wang y Tenhunen 2004). Así lo vemos en los resultados obtenidos (Fig. A7 del Anexo). En este contexto, y con el objetivo de mitigar los efectos del cambio global, concretamente con anomalías climáticas provocadas por el cambio climático, existen alternativas para reducir o mitigar la pérdida de biodiversidad y de los servicios ecosistémicos asociados a este tipo de ecosistemas. Entre otras, conservar un sotobosque que minimice la pérdida de agua (Rasoanaivo et al. 2024) o crear zonas abiertas alternadas con áreas de alta densidad de matorral, que se vayan rotando de manera periódica (Oksuz et al. 2020).

El uso de índices espectrales de vegetación (IVs) para caracterizar los tipos de bosque

En general, las diferencias entre los tres tipos de bosque fueron explicadas por la relación entre los IVs y las variables tanto abióticas como bióticas medidas en las parcelas del IFN. Según los modelos lineales generalizados, la variabilidad de los valores máximos de NDVI y EVI se explica parcialmente por la aridez y la biomasa en más de un 15% (R2 adjust. > 0.15) excepto para el bosque abierto donde sólo explican un 10 % de estos valores (R2 adjust. > 0.10). La significancia muestra que tan sólo la aridez es significativa en un tercio de los modelos. Estos resultados coinciden además con el análisis de componentes principales en el que se utilizan estas mismas variables, donde las medias de los tipos de bosque no son significativamente diferentes cuando se incluyen estas variables en dicho análisis (Fig. A5 del Anexo). Por lo tanto, en base a esto y a las métricas de rendimiento de los GLMs (Tablas A2-A4 del Anexo), de todas las métricas analizadas (media, máximos y mínimos) se pueden considerar el NDVImax y EVImax, como los indicadores más idóneos a la hora de describir ciertas características biofísicas de los tipos de bosque estudiados (Freitas et al. 2005).

Nuestros resultados muestran que, a pesar de que la especie dominante es la encina, la respuesta espectral basada en los IVs de los tres tipos de bosque dependería en parte, a falta de análisis más específicos, de la densidad de árboles y de determinadas variables ambientales de cada parcela estudiada del IFN (Herraiz et al. 2023). Estos efectos podrían reflejarse en los valores más altos de ciertos índices de verdor (valores máximos del EVI y NDVI; Fig. A7 del Anexo) observados en los bosques ABI en comparación con los DEN. Sin embargo, es importante matizar que no todos los índices siguen el mismo patrón; por ejemplo, en el caso del EVImin, ya se ha señalado previamente que presenta una tendencia distinta, lo que subraya la necesidad de considerar cada métrica por separado al interpretar estas diferencias, ya que podrían estar condicionadas por otros factores además de la densidad de arbolado. Estos efectos se tendrán en cuenta en futuros trabajos mediante la aplicación de filtros correctores.

Esta respuesta diferente tiene, por tanto, un efecto en la provisión de diferentes funciones y servicios ecosistémicos de este tipo de bosques, como reservas de carbono, productividad o floración, así como en la biodiversidad que albergan (Bölöni et al. 2021; Bastias et al. 2025). Por lo tanto, aunque los datos obtenidos por satélite no pueden reemplazar a los datos de campo, sí los complementan, lo que aporta una serie de importantes ventajas. Nuestros resultados confirman, además, el uso de datos de teledetección como método alternativo para la realización de mapas de cobertura del suelo con más detalle (Wang et al. 2023).

El análisis de las tendencias de índices espectrales de vegetación como herramienta de monitoreo del estrés climático en los tipos de bosque

Nuestros resultados se alinean en gran medida con aquellos que usan IVs obtenidos a partir de datos de satélite para analizar la evolución de las masas vegetales con el tiempo. Dichos estudios han puesto de manifiesto un predominio de las tendencias positivas en el reverdecimiento tanto a escala de Andalucía (Gutiérrez Hernández 2022; Herraiz et al. 2025), como de la península ibérica (Vicente-Serrano et al. 2020), continental (Cortés et al. 2021) y global (Chen et al. 2019). Sin embargo, la mayoría de estos estudios se basan en el análisis de las tendencias de IVs, principalmente NDVI, a nivel de píxel, con una resolución espacial (tamaño de píxel) baja (MODIS a 250m y NOAA-AVHR a 1km). En nuestro caso, proporcionamos un análisis espacial y temporal con más detalle del reverdecimiento basado en la gestión de las parcelas del IFN (~30m), lo cual ofrece grandes ventajas al combinar la precisión y detalle del tamaño de la parcela con la información espectral de la estructura y composición del tipo de bosque a lo largo del tiempo.

Los resultados del análisis multitemporal para un periodo de 23 años (2001-2023) muestran que existe una relación entre la dinámica de los IVs y la precipitación para cada tipo de bosque (Aksoy y Sertel 2021). Esto demuestra que la precipitación juega un papel importante como reguladora de los IVs, pudiendo ayudar a predecir o explicar la respuesta a futuros eventos de cambio climático (Li et al. 2018). De manera específica, existe una mayor correlación entre la precipitación y el EVI, lo cual puede deberse al parámetro corrector de la señal del suelo que introduce el cálculo de este índice. Aun así, es necesario un avance más profundo en la aplicación de filtros y correcciones que permitan eliminar la reflectancia del suelo, sobre todo en zonas más abiertas. Además, el hecho de que en los años de mayor sequía (por ejemplo 2005) se produzca un descenso notable de los valores de los IVs para los tres tipos de bosque (Fig. 4), y sobre todo para el EVI (años 2015 y 2017, Fig. 4), con una recuperación tras el periodo de sequía (2018, Fig. 4), indica que el análisis de series temporales de IVs permite una alerta temprana de las respuestas de la vegetación a los impactos de eventos climáticos extremos, como la sequía (Zellou et al. 2023; Kladny et al. 2024). Para abordar más en profundidad estas cuestiones en futuros trabajos, se podrían seleccionar aquellas parcelas cuya biomasa no varía sustancialmente de forma natural y asociar de manera más directa un cambio en éstas con el estrés climático. Respecto a los valores más altos del bosque abierto, pueden venir condicionados por la existencia de otras cubiertas de vegetación como pasto o matorral disperso, que podría influir en la señal espectral de los IVs, lo cual requiere de un análisis más detallado (por ejemplo, usando los valores mínimos de los IVs).

Según nuestros resultados existen “hotspots” de parcelas con tendencia positiva y “coldspots” de parcelas con tendencia negativa en base al reverdecimiento dependiendo del tipo de bosque. Pueden venir derivados de la diferencia de manejo entre los tipos de bosque. Las parcelas de tipo ABI presentan un mayor control que limita el incremento de masa forestal, sucediendo todo lo contrario en los INT y DEN (Bartušková et al. 2015). En estos últimos, el aumento de la masa forestal es producido, entre otros factores, por el abandono, lo que hace que la masa forestal aumente y la tendencia sea positiva (Herraiz et al. 2025). Dependiendo del tiempo y/o grado de este abandono, podrían crearse zonas donde la tendencia sea más acentuada.

Integración de la información de los inventarios forestales con la teledetección satelital para mejorar el monitoreo de los bosques mediterráneos

En general, nuestro estudio demuestra que el uso combinado de parcelas del IFN y de IVs obtenidos a partir de imágenes satelitales ofrece ventajas e inconvenientes en la evaluación y monitoreo de los encinares en Andalucía. Entre las ventajas, el uso de parcelas del IFN permite obtener datos precisos y detallados in-situ sobre la estructura y composición del bosque en un momento específico del tiempo, lo que facilita un análisis riguroso a nivel local. Sin embargo, los muestreos en las parcelas de inventario son costosos y requieren mucho tiempo, lo que limita su cobertura espacial y temporal. En contraposición, los IVs derivados de imágenes satelitales se relacionan de manera aceptable con los datos de campo, siendo extrapolables a una escala temporal mayor, en este caso mediante un análisis interanual. Estos análisis multitemporales nos permiten además monitorear grandes extensiones de terreno de manera rápida y frecuente proporcionando información sobre la salud y dinámica de la vegetación a escala regional o global. Por lo tanto, ambos enfoques se complementan, permitiendo una visión más completa cuando se utilizan conjuntamente (Nesha et al. 2022).

No obstante, las imágenes satelitales pueden presentar limitaciones en la precisión espacial o la resolución temporal, además de no ofrecer detalles específicos sobre la estructura interna del bosque, lo cual requiere del uso de imágenes con un mayor detalle. En este sentido, es necesario explorar la componente temporal de manera más fina, por ejemplo, a través de análisis intra-anuales, lo cual es factible mediante el uso de sensores satelitales con una resolución temporal más alta. Además de proporcionar información detallada, una mayor resolución espacial permitiría estudiar la fenología o estacionalidad de los tipos de bosque, detectando su capacidad de respuesta y recuperación ante eventos extremos como la sequía.

Conclusiones

A la luz de los resultados obtenidos en este estudio, podemos considerar válidas las tres hipótesis planteadas. Determinadas variables biofísicas (estructurales, funcionales y de composición) medidas en campo (a través de las parcelas del IFN) tienen un rol muy importante en la estructura y composición de los tipos de bosque de encina. Además, la señal espectral de los IVs está condicionada, principalmente, por la aridez. Por lo tanto, aunque los datos satelitales no sustituyen a los datos de campo, sí complementan el análisis, facilitando la evaluación de cómo factores como la densidad de árboles y la gestión pueden influir en los servicios ecosistémicos de este tipo de bosques. Nuestro estudio confirma el potencial de la combinación de los datos de las parcelas del IFN a escala espacial fina, con los valores de los IVs obtenidos a partir de series temporales de imágenes de satélite, para informar sobre la dinámica forestal y los tipos de encina en Andalucía. Este enfoque integrado proporciona un análisis más detallado de la dinámica forestal, y establece una base sólida para futuros estudios orientados a examinar con mayor precisión, espacial y temporal, la capacidad de recuperación de los bosques mediterráneos ante eventos extremos.

Contribución de los autores

Velasco-Rodríguez, A.: Análisis formal, conceptualización, curaduría de datos, metodología, software, validación, redacción del borrador original, revisión y edición. Villar, R.: Administración del proyecto, adquisición de fondos, conceptualización, metodología, recursos, supervisión, validación, redacción, revisión y edición. Herraiz, A.D.: Curaduría de datos, software, recursos, redacción, revisión y edición. Salazar-Zarzosa, P.: Curaduría de datos, software, recursos, redacción, revisión y edición. Castro, J.: Curaduría de datos, metodología, redacción, revisión y edición. Arenas-Castro, S.: Administración del proyecto, adquisición de fondos, conceptualización, metodología, recursos, supervisión, validación, redacción, revisión y edición.

Disponibilidad de datos y código

Los datos originales de este trabajo se encuentran depositados en el repositorio Zenodo.org y son accesibles a través del siguiente enlace: https://doi.org/10.5281/zenodo.15100338.

Financiación, permisos requeridos, potenciales conflictos de interés y agradecimientos

Este estudio está financiado por el proyecto FORMEDY (TED2021-131722B-IOO), financiado por el MCIN/AEVl0.13039/501100011033 y por la Unión Europea ''NextGenerationEU "/PRTR. Plan de Recuperación, Transformación y Resiliencia - Unión Europea -NextGenerationEU. Así mismo, es parte del proyecto FOR_FUN (PID2020-115809RB-I00) del MEC (Gobierno de España) y fondos FEDER. Esta investigación también contó con el apoyo del proyecto BOSQUES (BIOD22_0003_21_PPCB) a través del “Plan Complementario de I+D+i en el área de Biodiversidad (PCBIO)” financiado por la Unión Europea en el marco del Plan de Recuperación, Transformación y Resiliencia - NextGenerationEU y por la Junta de Andalucía. Parte de este estudio fue llevado a cabo dentro del contexto del Trabajo Fin de Máster realizado por Joselyn Castro en el Máster en Geomática, Teledetección y Modelos espaciales aplicado a la gestión forestal (Universidad de Córdoba, España).

Referencias

Aksoy, S., Sertel, E. 2021. Comparison of Landsat and Modis derived vegetation health indices for drought monitoring using google earth engine platform. In: Proccedings of the International Symposium on Applied Geoinformatics 2021, Riga, Latvia, (ISAG2021). https://doi.org/10.15659/isag2021.12604

Alberdi, I., Sandoval, V., Condés, S., Cañellas, I., Vallejo, R. 2016. El Inventario Forestal Nacional español, una herramienta para el conocimiento, la gestión y la conservación de los ecosistemas forestales arbolados. Ecosistemas 25: 88-97. https://doi.org/10.7818/ECOS.2016.25-3.10

Alcaraz-Segura, D., Baldi, G., Durante, P., Garbulsky, M.F. 2008. Análisis de la dinámica temporal del NDVI en áreas protegidas: tres casos de estudio a distintas escalas espaciales, temporales y de gestión. Ecosistemas 17(3):108-117. Retrieved from https://www.revistaecosistemas.net/index.php/ecosistemas/article/view/82

Anderegg, W.R.L., Trugman, A.T., Badgley, G., Anderson, C.M., Bartuska, A., Ciais, P., Cullenward, D., et al. 2020. Climate-driven risks to the climate mitigation potential of forests. Science 368. https://doi.org/10.1126/science.aaz7005

Araque Jiménez, E., Sánchez Martínez, J.D. 2009. Repoblación forestal en Andalucía. Universidad de Jaén (ed.). Jaén, España.

Bartušková, A., Doležal, J., Janeček, Š., Lanta, V., Klimešová, J. 2015. Changes in biomass allocation in species rich meadow after abandonment: Ecological strategy or allometry? Perspectives in Plant Ecology, Evolution and Systematics 17: 379-387. https://doi.org/10.1016/j.ppees.2015.06.003

Bastias, C.C., Rodríguez Castilla, G., Salazar Zarzosa, P., Díaz Herraiz, A., González Herranz, N., Ruiz-Benito, P., Barrón, V., et al. 2025. Differential aridity-induced variations in ecosystem multifunctionality between Iberian Pinus and Quercus Mediterranean forests. Ecological Indicators 173, 113411. https://doi.org/10.1016/j.ecolind.2025.113411

Bento, V.A., Gouveia, C.M., DaCamara, C.C., Trigo, I.F. 2018. A climatological assessment of drought impact on vegetation health index. Agricultural and Forest Meteorology 259: 286-295. https://doi.org/10.1016/j.agrformet.2018.05.014

Bölöni, J., Aszalós, R., Frank, T., Ódor, P. 2021. Forest type matters: Global review about the structure of oak dominated old-growth temperate forests. Forest Ecology and Management 500. https://doi.org/10.1016/j.foreco.2021.119629

Bolstad, P. V., Elliott, K.J., Miniat, C.F. 2018. Forests, shrubs, and terrain: top-down and bottom-up controls on forest structure. Ecosphere 9. https://doi.org/10.1002/ecs2.2185

Caparros-Santiago, J.A., Rodríguez-Galiano, V.F. 2020. Vegetation phenology from satellite imagery: The case of the iberian peninsula and balearic islands (2001-2017). Revista de Teledeteccion 2020: 25-36.

Chen, C., Park, T., Wang, X., Piao, S., Xu, B., Chaturvedi, R.K., Fuchs, R., et al. 2019. China and India lead in greening of the world through land-use management. Nature Sustainability 2: 122-129. https://doi.org/10.1038/s41893-019-0220-7

Cortés, J., Mahecha, M.D., Reichstein, M., Myneni, R.B., Chen, C., Brenning, A. 2021. Where Are Global Vegetation Greening and Browning Trends Significant? Geophysical Research Letters 48. https://doi.org/10.1029/2020GL091496

Dalezios, N.R., Blanta, A., Spyropoulos, N. V., Tarquis, A.M. 2014. Risk identification of agricultural drought for sustainable Agroecosystems. Natural Hazards and Earth System Sciences 14: 2435-2448. https://doi.org/10.5194/nhess-14-2435-2014

Díaz, M., Sánchez-Mejía, T., Morán-López, T. 2021. Long-Term Tree Regeneration of Fragmented Agroforestry Systems Under Varying Climatic Conditions. Frontiers in Ecology and Evolution 9. https://doi.org/10.3389/fevo.2021.640143

Durante, P., Martín-Alcón, S., Gil-Tena, A., Algeet, N., Tomé, J.L., Recuero, L., Palacios-Orueta, A., et al. 2019. Improving aboveground forest biomass maps: From high-resolution to national scale. Remote Sensing 11. https://doi.org/10.3390/rs11070795

Ellison, D., Morris, C.E., Locatelli, B., Sheil, D., Cohen, J., Murdiyarso, D., Gutierrez, V., et al. 2017. Trees, forests and water: Cool insights for a hot world. Global Environmental Change 43: 51-61. https://doi.org/10.1016/j.gloenvcha.2017.01.002

FAO. 2003. State of the World´s Forests 2003 Management, conservation and sustainable development of forests. Role of planted trees in developing countries with low forest cover: findings from six case studies. https://www.fao.org/docrep/pdf/005/y7581e/y7581e02.pdf

FAO. 2020. Global Forest Resources Assessment 2020 – Key findings. Rome. https://doi.org/10.4060/ca8753en

Ferraz-de-Oliveira, M.I., Azeda, C., Pinto-Correia, T. 2016. Management of Montados and Dehesas for High Nature Value: an interdisciplinary pathway. Agroforestry Systems 90: 1-6. https://doi.org/10.1007/s10457-016-9900-8

Franklin, J.F., Spies, T.A., Van Pelt, R., Carey, A.B., Thornburgh, D.A., Berg, R., Lindenmayer, D.B., et al. 2002. Disturbances and structural development of natural forest ecosystems with silvicultural implications, using Douglas-fir forests as an example. Forest Ecology and Management 155(1-3): 399-423. https://doi.org/10.1016/s0378-1127(01)00575-8

Freitas, S.R., Mello, M.C.S., Cruz, C.B.M. 2005. Relationships between forest structure and vegetation indices in Atlantic Rainforest. Forest Ecology and Management 218: 353-362. https://doi.org/10.1016/j.foreco.2005.08.036

Gea-Izquierdo, G., Cañellas, I., Montero, G. 2008. Site index in agroforestry systems: Age-dependent and age-independent dynamic diameter growth models for Quercus ilex in Iberian open oak woodlands. Canadian Journal of Forest Research 38: 101-113. https://doi.org/10.1139/X07-142

González Díaz, P., Ruiz Benito, P., Astigarraga Urcelay, J., Cruz Alonso, V., Moreno Fernández, D., Herrero Méndez, A., Gosálbez Ruiz, J., et al. 2020. Los bosques españoles como soluciones naturales frente al cambio climático: herramientas de análisis y modelización. Madrid.

Gorelick, N., Hancher, M., Dixon, M., Ilyushchenko, S., Thau, D., Moore, R. 2017. Google Earth Engine: Planetary-scale geospatial analysis for everyone. Remote Sensing of Environment 202: 18-27. https://doi.org/10.1016/j.rse.2017.06.031

Gutiérrez Hernández, O. 2022. Recent NDVI trends in Andalusia (southern Spain): the limits of vegetation greening. Boletín de la Asociación de Geógrafos Españoles, 94. https://doi.org/10.21138/bage.3246

Helman, D., Lensky, I.M., Osem, Y., Rohatyn, S., Rotenberg, E., Yakir, D. 2017. A biophysical approach using water deficit factor for daily estimations of evapotranspiration and CO2 uptake in Mediterranean environments. Biogeosciences 14: 3909-3926. https://doi.org/10.5194/bg-14-3909-2017

Hernández, L., Alberdi, I., Cañellas, I., Barrera, M. 2014. The forest biodiversity of Andalusia: estimation based on the Spanish NFI data analysis.

Hernández-Silva, D.A., Pulido, M.T., Zuria, I., Gallina Tessaro, S.A., Sánchez-Rojas, G. 2018. El manejo como herramienta para la conservación y aprovechamiento de la fauna silvestre: acceso a la sustentabilidad en México. Acta Universitaria 28: 31-41. https://doi.org/10.15174/au.2018.2171

Herraiz, A.D., Salazar-Zarzosa, P.C., Mesas, F.J., Arenas-Castro, S., Ruiz-Benito, P., Villar, R. 2023. Modelling aboveground biomass and productivity and the impact of climate change in Mediterranean forests of South Spain. Agricultural and Forest Meteorology 337. https://doi.org/10.1016/j.agrformet.2023.109498

Herraiz, A.D., Salazar-Zarzosa, P., Acosta-Muñoz, C., Hernández-Clemente, R., Villar, R. 2025. Aridity-induced phenological shifts and greening trends in Mediterranean forest species: Insights from 28 years of Landsat data in southern Spain. Ecological Indicators 171. https://doi.org/10.1016/j.ecolind.2025.113115

Hijmans, R.J. 2012. Cross-validation of species distribution models: removing spatial sorting bias and calibration with a null model. Ecology 93: 679-688. https://doi.org/10.1890/11-0826.1

Hoek van Dijke, A.J., Orth, R., Teuling, A.J., Herold, M., Schlerf, M., Migliavacca, M., Machwitz, M., et al. 2023. Comparing forest and grassland drought responses inferred from eddy covariance and Earth observation. Agricultural and Forest Meteorology 341. https://doi.org/10.1016/j.agrformet.2023.109635

Huang, S., Tang, L., Hupy, J.P., Wang, Y., Shao, G. 2021. A commentary review on the use of normalized difference vegetation index (NDVI) in the era of popular remote sensing. Journal of Forestry Research 32. https://doi.org/10.1007/s11676-020-01155-1

Huete, A., Didan, K., Miura, T., Rodriguez, E.P., Gao, X., Ferreira, L.G. 2002. Overview of the radiometric and biophysical performance of the MODIS vegetation indices. Remote Sensing of Environment 83(1-2): 195-213. https://doi.org/10.1016/S0034-4257(02)00096-2

Jiao, W., Wang, L., McCabe, M.F. 2021. Multi-sensor remote sensing for drought characterization: current status, opportunities and a roadmap for the future. Remote Sensing of Environment 256. https://doi.org/10.1016/j.rse.2021.112313

Kendall, M.G. 1975. Rank Correlation Methods. 4th ed. Charles Griffin, London.

Kim, H.N., Jin, H.Y., Kwak, M.J., Khaine, I., You, H.N., Lee, T.Y., Ahn, T.H., et al. 2017. Why does Quercus suber species decline in Mediterranean areas? Journal of Asia-Pacific Biodiversity 10: 337-341. https://doi.org/10.1016/j.japb.2017.05.004

Kladny, K.R., Milanta, M., Mraz, O., Hufkens, K., Stocker, B.D. 2024. Enhanced prediction of vegetation responses to extreme drought using deep learning and Earth observation data. Ecological Informatics 80. https://doi.org/10.1016/j.ecoinf.2024.102474

Kogan, F.N. 1995. Application of vegetation index and brightness temperature for drought detection. Advances in Space Research 15(11), 91-100. https://doi.org/10.1016/0273-1177(95)00079-T

Laamrani, A., Valeria, O., Bergeron, Y., Fenton, N., Cheng, L.Z., Anyomi, K. 2014. Effects of topography and thickness of organic layer on productivity of black spruce boreal forests of the canadian clay belt region. Forest Ecology and Management 330: 144-157. https://doi.org/10.1016/j.foreco.2014.07.013

Li, A., Yin, G., Zhang, Z., Tan, J., Nan, X., Ma, K., Guo, Q. 2018. Space-air-field integrated biodiversity monitoring based on experimental station. Biodiversity Science 26: 819-827. https://doi.org/10.17520/biods.2018052

López-Tirado, J., Hidalgo, P.J. 2016. Predictive modelling of climax oak trees in southern Spain: insights in a scenario of global change. Plant Ecology 217: 451-463. https://doi.org/10.1007/s11258-016-0589-6

Mann, H.B. 1945. Nonparametric Tests Against Trend. Econometrica 13, 3 (1945): 245–59. https://doi.org/10.2307/1907187

Mantero, G., Morresi, D., Marzano, R., Motta, R., Mladenoff, D.J., Garbarino, M. 2020. The influence of land abandonment on forest disturbance regimes: a global review. Landscape Ecology 35: 2723-2744. https://doi.org/10.1007/s10980-020-01147-w

Marañón, T., Ibáñez, B., Anaya-Romero, M., Muñoz-Rojas, M., Pérez-Ramos, I.M. 2012. Trees beyond the wood conference proceedings Oak trees and woodlands providing ecosystem services in Southern Spain.

Moreno, G., Pulido, F.J. 2009. The Functioning, Management and Persistence of Dehesas. In: Rigueiro-Rodríguez, A. et al. (eds.), Agroforestry in Europe, pp. 127-160. Springer Science + Business Media B.V. https://doi.org/10.1007/978-1-4020-8272-6_7

Moreno, G., Aviron, S., Berg, S., Crous-Duran, J., Franca, A., de Jalón, S.G., Hartel, T., et al. 2018. Agroforestry systems of high nature and cultural value in Europe: provision of commercial goods and other ecosystem services. Agroforestry Systems 92: 877-891. https://doi.org/10.1007/s10457-017-0126-1

Mutanga, O., Masenyama, A., Sibanda, M. 2023. Spectral saturation in the remote sensing of high-density vegetation traits: A systematic review of progress, challenges, and prospects. ISPRS Journal of Photogrammetry and Remote Sensing 198: 297-309. https://doi.org/10.1016/j.isprsjprs.2023.03.010

Naranjo Ramírez, J. 2003. El campo andaluz. En: López Ontiveros, A. (coord.), Geografía de Andalucía, pp. 523-548. Ariel. Barcelona, España.

Nesha, K., Herold, M., De Sy, V., de Bruin, S., Araza, A., Málaga, N., Gamarra, J.G.P., et al. 2022. Exploring characteristics of national forest inventories for integration with global space-based forest biomass data. Science of the Total Environment 850. https://doi.org/10.1016/j.scitotenv.2022.157788

Oksuz, D.P., Aguiar, C.A.S., Tápia, S., Llop, E., Lopes, P., Serrano, A.R.M., Leal, A.I., et al. 2020. Increasing biodiversity in wood-pastures by protecting small shrubby patches. Forest Ecology and Management 464. https://doi.org/10.1016/j.foreco.2020.118041

Pardos, M., del Río, M., Pretzsch, H., Jactel, H., Bielak, K., Bravo, F., Brazaitis, G. et al. 2021. The greater resilience of mixed forests to drought mainly depends on their composition: Analysis along a climate gradient across Europe. Forest Ecology and Management 481. https://doi.org/10.1016/j.foreco.2020.118687

Parra-López, C., Sayadi, S., Garcia-Garcia, G., Ben Abdallah, S., Carmona-Torres, C. 2023. Prioritising conservation actions towards the sustainability of the dehesa by integrating the demands of society. Agricultural Systems 206. https://doi.org/10.1016/j.agsy.2023.103613

Pulido, F., Picardo, Á., Campos, P., Carranza, J., Coleto, J.M., Díaz, M., Diéguez, E., et al. 2010. Libro Verde de la Dehesa. Documento para el debate hacia un Estrategia Ibérica de gestión. Consejería de Medio Ambiente, Junta de Castilla y León; SECF; SEEP; AEET y SEO. España.

Rasoanaivo, A., Mekontchou, C.G., Rochon, P., Nolet, P., Maheu, A. 2024. Increased tree water use with the development of a dense understory layer in a North American hardwood forest. Ecohydrology 17. https://doi.org/10.1002/eco.2648

Rendón-Pérez, M.A., Hernández-De la Rosa, P., Velázquez-Martínez, A., Alcántara-Carbajal, J.L., Reyes-Hernández, V.J. 2021. Composition, diversity, and structure of a managed forest in central mexico. Madera y Bosques 27. https://doi.org/10.21829/myb.2021.2712127

Requena-Mullor, J.M., Steiner, A., Keppel-Aleks, G., Ibáñez, I. 2023. Tradeoffs in forest resilience to satellite-based estimates of water and productivity losses. Remote Sensing of Environment 285. https://doi.org/10.1016/j.rse.2022.113414

Rouse, J.W., Haas, R.H., Schell, J.A., Deering, D.W. 1973. Monitoring Vegetation Systems in the Great Plains with ERTS (Earth Resources Technology Satellite). In:
Third Earth Resources Technology Satellite-1 Symposium. Volume 1: Technical Presentations, section A, Paper A20. (Work
19740022614). NASA, US Goverment. https://ntrs.nasa.gov/api/citations/19740022614/downloads/19740022614.pdf

Ruiz-Benito, P., Gómez-Aparicio, L., Paquette, A., Messier, C., Kattge, J., Zavala, M.A. 2014. Diversity increases carbon storage and tree productivity in Spanish forests. Global Ecology and Biogeography 23: 311-322. https://doi.org/10.1111/geb.12126

Ruiz-Benito, P., Ratcliffe, S., Jump, A.S., Gómez-Aparicio, L., Madrigal-González, J., Wirth, C., Kändler, G., et al. 2017. Functional diversity underlies demographic responses to environmental variation in European forests. Global Ecology and Biogeography 26: 128-141. https://doi.org/10.1111/geb.12515

Ruiz-Peinado, R., Montero, G., del Rio, M. 2012. Ecuaciones para la estimación de biomasa de frondosas en España. Forest Systems 21: 42-52. https://doi.org/10.5424/fs/2112211-02193

Salazar-Zarzosa, P., Diaz Herraiz, A., Olmo, M., Ruiz-Benito, P., Barrón, V., Bastias, C.C., de la Riva, E.G., et al. 2021. Linking functional traits with tree growth and forest productivity in Quercus ilex forests along a climatic gradient. Science of the Total Environment 786. https://doi.org/10.1016/j.scitotenv.2021.147468

Spasojevic, M., Shprits, Y.Y., Orlova, K. 2015. Global empirical models of plasmaspheric hiss using Van Allen Probes. Journal of Geophysical Research: Space Physics 120: 10370-10383. https://doi.org/10.1002/2015JA021803

Stadler, S.J. 2005. Aridity Indexes. In: Oliver, J.E. (Ed.), Encyclopedia of World Climatology. Encyclopedia of Earth Sciences Series, pp. 89-94. Springer, Dordrecht. The Netherlands.

Torres, P., Rodesblanco, M., Vianasoto, A., Nieto, H., García, M. 2021. The role of remote sensing for the assessment and monitoring of forest health: A systematic evidence synthesis. Forests 12. https://doi.org/10.3390/f12081134

Valladares, F., Matesanz, S., Guilhaumon, F., Araújo, M.B., Balaguer, L., Benito-Garzón, M., Cornwell, W., et al. 2014. The effects of phenotypic plasticity and local adaptation on forecasts of species range shifts under climate change. Ecology Letters 17: 1351-1364. https://doi.org/10.1111/ele.12348

Vicente-Serrano, S.M., Martín-Hernández, N., Camarero, J.J., Gazol, A., Sánchez- Salguero, R., Peña-Gallardo, M., El Kenawy, A., et al. 2020. Linking tree-ring growth and satellite-derived gross primary growth in multiple forest biomes. Temporal-scale matters. Ecological Indicators. 108. https://doi.org/10.1016/j.ecolind.2019.105753

Vila-Viçosa, C., Arenas-Castro, S., Marcos, B., Honrado, J., García, C., Vázquez, F.M., Almeida, R., Gonçalves J. 2020. Combining Remote Sensing and Climate Data in Species Distribution Models to improve the conservation of the Iberian white oaks (Quercus L.). ISPRS International Journal of Geo-Information, 9:735. https://doi.org/10.3390/ijgi9120735

Vio, R., Wamsteker, W. 2001. Limits of the Cross-Correlation Function in the Analysis of Short Time Series. PASP 113, 86-97. https://doi.org/10.1086/317967

Wang, Q., Tenhunen, J.D. 2004. Vegetation mapping with multitemporal NDVI in North Eastern China Transect (NECT). International Journal of Applied Earth Observation and Geoinformation 6: 17-31. https://doi.org/10.1016/j.jag.2004.07.002

Wang, S., Zhou, L., Chen, J., Ju, W., Feng, X., Wu, W. 2011. Relationships between net primary productivity and stand age for several forest types and their influence on China’s carbon balance. Journal of Environmental Management 92: 1651-1662. https://doi.org/10.1016/j.jenvman.2011.01.024

Wang, Y., Sun, Y., Cao, X., Wang, Y., Zhang, W., Cheng, X. 2023. A review of regional and Global scale Land Use/Land Cover (LULC) mapping products generated from satellite remote sensing. ISPRS Journal of Photogrammetry and Remote Sensing 206: 311-334. https://doi.org/10.1016/j.isprsjprs.2023.11.014

Young, D.J.N., Estes, B.L., Gross, S., Wuenschel, A., Restaino, C., Meyer, M.D. 2023. Effectiveness of forest density reduction treatments for increasing drought resistance of ponderosa pine growth. Ecological Applications 33. https://doi.org/10.1002/eap.2854

Zellou, B., El Moçayd, N., EL Houcine, B. 2023. Review article: Towards improved drought prediction in the Mediterranean region - Modeling approaches and future directions. Natural Hazards and Earth System Sciences 23: 3543-3583. https://doi.org/10.5194/nhess-23-3543-2023


 


Anexo / Appendix

Figuras A1-A7 / Figures A1-A7

 

Clasificación de tipos de bosque

 

Figura A1.  Clasificación de los tipos de bosque de Q. ilex en base a la densidad de arbolado.

Figure A1. Classification of Q. ilex forest type based on tree density.

 

 

Coeficiente de correlación de Spearman de todas las variables

 

Figura A2. Coeficiente de correlación de Spearman de todas las variables. AIm: Índice de Aridez de Martonne; NDVImax: Índice de Diferencia Normalizada de la Vegetación (máximo anual); NDVImedio: Índice de Diferencia Normalizada de la Vegetación (media anual); NDVImin: Índice de Diferencia Normalizada de la Vegetación (mínimo anual); LSTmax: Temperatura Superficial (máxima anual); LSTmean: Temperatura superficial (media anual); LSTmin: Temperatura Superficial (mínima anual); VCI: Índice de las Condiciones de la Vegetación; TCI: Índice de las Condiciones de Temperatura; VHI: Índice de Salud de la Vegetación; EVImax: Índice de Vegetación Mejorado (máximo anual); EVImedio: Índice de Vegetación Mejorado (media anual);     ;  EVImin: Índice de Vegetación Mejorado (mínimo anual).

Figure A2. Spearman rank correlation for the variables. AIm: Martonne Aridity Index; NDVImax: Normalized Difference Vegetation Index (annual maximum); NDVImedio: Normalized Difference Vegetation Index (annual mean); NDVImin: Normalized Difference Vegetation Index (annual minimum); LSTmax: Land Surface Temperature (annual maximum); LSTmean: Land Surface Temperature (annual mean); LSTmin: Land Surface Temperature (annual minimum); VCI: Vegetation Condition Index; TCI: Temperature Condition Index; VHI: Vegetation Health Index.  EVImax: Enhanced Vegetation Index (annual maximum);      EVImedio: Enhanced Vegetation Index (annual mean);      EVImin: Enhanced Vegetation Index (annual minimum); VHI: Vegetation Health Index.

 

 

Porcentaje explicado de los componentes del análisis PCA

Figura A3. Porcentaje explicado de los componentes principales del análisis PCA realizado.

Figure A3. Explained percentage of the principal components from the performed PCA analysis.

 

Contribución de las variables a los dos principañes componentes del análisis

Figura A4. Contribución de las variables a los dos principales componentes del análisis.

Figure A4. Contribution of the variables to the first two principal components of the analysis.

 

 

Análisis de componentes principales
de las variables seleccionadas para la diferenciación de tipos de bosque

Figura A5. Análisis de componentes principales de las variables seleccionadas para la diferenciación de tipos de bosque. Diferentes letras indican una diferencia estadística (P<0.05) entre grupos.

Figure A5. Principal components analysis (PCA) of the selected variables for forest type differentiation. Different letters indicate a statistical difference (P<0.05) between groups.

 

 

Análisis de correlación cruzada del NDVI y EVI

Figura A6. Análisis de correlación cruzada del NDVImáx (A) y EVImáx (B) con respecto a la precipitación por tipo de bosque.

Figure A6. Cross-correlation analysis of maximum of NDVI and maximum of EVI with respect to precipitation by forest type.

 

 

Comparación de las métricas (máximos, mínimos y media) de los IVs

Figura A7. Comparación de las métricas (máximos, mínimos y media) de los IVs. Límite inferior de la caja como primer cuartil (Q1), límite superior como tercer cuartil (Q3) y línea divisoria como mediana o segundo cuartil (Q2). Las barras indican la desviación estándar. Los asteriscos (***) indican una diferencia estadística (P<0.05) entre grupos.

Figure A7. Comparison of IVs metrics (maximums, minimums and mean). Lower boundary of the box as first quartile (Q1), upper boundary as third quartile (Q3) and dividing line as median or second quartile (Q2). The whiskers indicate the standard deviation. The asterisks (****) indicate a statistical difference (P<0.05) between groups.


 


Tablas A1-A4 / Tables A1-A4

 

Tabla A1. Aportación de las variables del resto de los GLMs para los tres tipos de bosque (ABI, abierto; INT, intermedio; DEN, denso). Grado de significancia representado por: *** (p-value <0.001), ** (0.001 < p-value < 0.01), ** (0.001 < p-value < 0.01), * (0.01 < p-value < 0.05).       NDVImedio: Índice de Diferencia Normalizada de la Vegetación (media anual); EVImedio: Índice de Vegetación Mejorado (media anual); NDVImin: Índice de Diferencia Normalizada de la Vegetación (mínimo anual); EVImín: Índice de Vegetación Mejorado (mínimo anual).

Table A1. Contribution of the variables from the rest of the GLMs for the three forest types (ABI, open; INT, intermediate; DEN, dense). Degree of significance represented by: *** (p-value < 0.001), ** (0.001 < p-value < 0.01), * (0.01 < p-value < 0.05).      NDVImedio: Normalized Difference Vegetation Index (annual mean); EVImedio: Enhanced Vegetation Index (annual mean); NDVImin: Normalized Difference Vegetation Index (annual minimum); EVImin: Enhanced Vegetation Index (annual minimum); VHI: Vegetation Health Index.

 

Tipo bosque

Biomasa

Precipitación

Pendiente

Aridez

R2 adj.

NDVImedio

ABI

0.0004

-3.63E+08

-0.0001

0.0007

0.090

INT

0.0004

-1.41E+09

0.0003

-0.0011***

0.101

DEN

0.0005

1.21E+09

0.0002

-0.0012***

0.151

NDVImin

ABI

-8.04E+09

2.59E+09

-0.0012

0.0029*

0.007

INT

0.0003

-6.79E+07

0.0018*

-0.0012

0.013

DEN

1.61E+09

-4.36E+09

0.0003

-0.0005

0.000

EVImedio

ABI

0.0009

-4.94E+09

0.0005

0.0002

0.058

INT

0.0005**

-2.64E+09

-0.0004

-0.0021*

0.044

DEN

0.0007

6.03E+09

-0.0003

-0.0015*

0.083

EVImin

ABI

0.0002

-1.31E+09

-0.0004

0.0022**

0.018

INT

0.0001

-2.05E+09

0.0005

-0.0016

0.011

DEN

0.0001

4.88E+08

-0.0011

-0.0004

0.017

VHI

ABI

0.0423

-0.0005

0.3534

-0.2561

0.036

INT

0.0501**

0.00057

-0.0659

0.1745*

0.038

DEN

0.0254

0.0010

-0.0371

0.1259

0.030

Tabla A2. Métricas de rendimiento de los modelos lineales generalizados (GLMs) con distinto índice espectral como variable respuesta para el ABI. NDVImax: Índice de Diferencia Normalizada de la Vegetación (máximo anual); EVImax: Índice de Vegetación Mejorado (máximo anual); NDVImedio: Índice de Diferencia Normalizada de la Vegetación (media anual); EVImedio: Índice de Vegetación Mejorado (media anual); NDVImin: Índice de Diferencia Normalizada de la Vegetación (mínimo anual); EVImin: Índice de Vegetación Mejorado (mínimo anual); VHI: Índice de salud de la vegetación.

Table A2. Generalized linear model (GLMs) performance metrics from each spectral index as response variable for ABI. NDVImax: Normalized Difference Vegetation Index (annual maximum); EVImax: Enhanced Vegetation Index (annual maximum); NDVImedio: Normalized Difference Vegetation Index (annual mean); EVImedio: Enhanced Vegetation Index (annual mean); NDVImin: Normalized Difference Vegetation Index (annual minimum); EVImin: Enhanced Vegetation Index (annual minimum); VHI: Vegetation Health Index.

ABIERTO

Variables

AICc

AICcvacío

R2 adj.

Nagelkerke’s R2

VHI

4096.688

4111.813

0.03618765

0.041

NDVImax

-1705.615

-1646.522

0.1081001

0.114

NDVImedio

-2173.758

-2126.066

0.08990608

0.096

NDVImin

-884.348

-886.404

0.00651

0.011

EVImax

-1091.804

-1030.042

0.112044

0.119

EVImedio

-1129.913

-1101.402

0.058057

0.065

EVImin

-1413.846

-1409.093

0.018460

0.023

Tabla A3. Métricas de rendimiento de los modelos lineales generalizados (GLMs) con distinto índice espectral como variable respuesta para el INT. NDVImax: Índice de Diferencia Normalizada de la Vegetación (máximo anual); EVImax: Índice de Vegetación Mejorado (máximo anual); NDVImedio: Índice de Diferencia Normalizada de la Vegetación (media anual), EVImedio: Índice de Vegetación Mejorado (media anual); NDVImin: Índice de Diferencia Normalizada de la Vegetación (mínimo anual); EVImin: Índice de Vegetación Mejorado (mínimo anual); VHI: Índice de salud de la vegetación.

Table A3. Generalized linear model (GLMs) performance metrics from each spectral index as response variable for INT. NDVImax: Normalized Difference Vegetation Index (annual maximum); EVImax: Enhanced Vegetation Index (annual maximum); NDVImedio: Normalized Difference Vegetation Index (annual mean); EVImedio: Enhanced Vegetation Index (annual mean); NDVImin: Normalized Difference Vegetation Index (annual minimum); EVImin: Enhanced Vegetation Index (annual minimum); VHI: Vegetation Health Index.

INTERMEDIO

Variables

AICc

AICcvacío

R2 adj.

Nagelkerke’s R2

VHI

2575.529

2582.718

0.03750261

0.042

NDVImax

-1173.452

-1098.791

0.2004442

0.208

NDVImedio

-1332.971

-1300.817

0.1010875

0.108

NDVImin

-521.015

-522.979

0.01294995

0.017

EVImax

-815.532

-749.855

0.18015

0.188

EVImedio

-778.368

-768.730

0.04346708

0.050

EVImin

-778.889

-781.758

0.01047249

0.015

Tabla A4. Métricas de rendimiento de los modelos lineales generalizados (GLMs) con distinto índice espectral como variable respuesta para el DEN. NDVImax: Índice de Diferencia Normalizada de la Vegetación (máximo anual); EVImax: Índice de Vegetación Mejorado (máximo anual); NDVImedio: Índice de Diferencia Normalizada de la Vegetación (media anual), EVImedio: Índice de Vegetación Mejorado (media anual); NDVImin: Índice de Diferencia Normalizada de la Vegetación (mínimo anual); EVImin: Índice de Vegetación Mejorado (mínimo anual); VHI: Índice de salud de la vegetación.

Table A4. Generalized linear model (GLMs) performance metrics from each spectral index as response variable for DEN. NDVImax: Normalized Difference Vegetation Index (annual maximum); EVImax: Enhanced Vegetation Index (annual maximum); NDVImedio: Normalized Difference Vegetation Index (annual mean); EVImedio: Enhanced Vegetation Index (annual mean); NDVImin: Normalized Difference Vegetation Index (annual minimum); EVImin: Enhanced Vegetation Index (annual minimum); VHI: Vegetation Health Index.

DENSO

Variables

AICc

AICcvacío

R2 adj.

Nagelkerke’s R2

VHI

1784.661

1785.262

0.02990616

0.034

NDVImax

-801.239

-755.520

0.185347

0.193

NDVImedio

-910.678

-875.585

0.150954

0.159

NDVImin

-353.268

-360.367

0.0004025552

0.005

EVImax

-558.147

-516.851

0.1710202

0.179

EVImedio

-523.091

-548.849

0.08310863

0.087

EVImin

-499.749

-502.652

0.01665497

0.021