ecosistemas

ISSN 1697-2473

Open access / CC BY-NC 4.0

© 2025 Los autores [ECOSISTEMAS no se hace responsable del uso indebido de material sujeto a derecho de autor] / © 2025 The authors [ECOSISTEMAS is not responsible for the misuse of copyrighted material]

 

Ecosistemas 34(1): 2867 [enero - abril / January - April, 2025]: https://doi.org/10.7818/ECOS.2867

 

MONOGRÁFICO: Fototrampeo en ecología / MONOGRAPHIC: Camera Trapping in Ecology

Editores invitados / Guest editors: Lara Naves-Alegre, Adrián Orihuela Torres y Roberto Pascual-Rico

 

ARTÍCULO DE INVESTIGACIÓN / RESEARCH ARTICLE

 


Evaluación del fototrampeo como método de estimación de abundancias en el tejón europeo Meles meles (Linnaeus, 1758)

Jesús López Angulo1,2* ORCID logo, Xosé Pardavila Rodríguez3 ORCID logo, Emilio Virgós2 ORCID logo

(1)  Instituto de Investigación en Cambio Global (IICG-URJC), Universidad Rey Juan Carlos, Tulipán s/n, 28933 Móstoles, España.

(2)  Departamento de Biología y Geología, Física y Química Inorgánica, Universidad Rey Juan Carlos (URJC), Tulipán s/n, 28933 Móstoles, España.

(3)  Sorex Ecoloxía e Medio Ambiente S.L., Travesa de Picaños 20, 15702, Santiago de Compostela, A Coruña, España.

* Autor para correspondencia / Correspondig author: Jesús López-Angulo [jesus.lopez.angulo@urjc.es]  

 

> Recibido / Received: 27/09/2024 – Aceptado / Accepted: 04/02/2025

Cómo citar / How to cite: López-Angulo, J., Pardavila Rodríguez, X., Virgós, E. 2025. Evaluación del fototrampeo como método de estimación de abundancias en el tejón europeo Meles meles (Linnaeus, 1758). Ecosistemas 34(1): 2867. https://doi.org/10.7818/ECOS.2867

Evaluación del fototrampeo como método de estimación de abundancias en el tejón europeo Meles meles (Linnaeus, 1758)

Resumen: La conservación de la vida silvestre requiere métodos precisos para evaluar poblaciones. El recuento de letrinas es común para estimar poblaciones de tejón europeo (Meles meles), pero puede ser ineficaz en áreas de baja densidad. Este trabajo evaluó el fototrampeo como alternativa mediante dos experimentos en tres regiones con diferente densidad de tejones. En el norte de Madrid (alta densidad), se comparó la eficacia de cuatro atrayentes (colonia, sardina, orina de lince ibérico y esencia de valeriana), encontrando diferencias marginalmente significativas en la detectabilidad. Los resultados indicaron una tendencia que sugiere una mayor eficacia de las cámaras con colonia y sardina para detectar tejones. En Galicia (alta densidad) y el sureste de Madrid (baja densidad), se utilizaron estos dos atrayentes (colonia y sardina) para comparar las abundancias relativas obtenidas del fototrampeo y del recuento de letrinas. No se encontró relación entre las estimas de abundancia derivadas de ambos métodos y su eficacia varió según la región. El fototrampeo, en combinación con atrayentes, parece ser un buen método para detectar tejones en áreas de baja densidad, donde el recuento de letrinas no es eficaz. Nuestros resultados enfatizan la importancia de adaptar los métodos de monitoreo a las características ecológicas y a las densidades poblacionales específicas de las especies objetivo. Asimismo, subrayan la necesidad de considerar las variaciones ambientales y del hábitat, que pueden influir significativamente en la eficacia y precisión de las estimaciones.

Palabras clave: atrayentes; baja densidad; detectabilidad; fototrampeo; recuento de letrinas; tejón europeo

Evaluation of camera trapping as a method for estimating abundances in the European badger Meles meles (Linnaeus, 1758)

Abstract: Wildlife conservation requires accurate methods to assess populations. Latrine counts are commonly used to estimate European badger (Meles meles) populations but may be ineffective in low-density areas. This study evaluated camera trapping as an alternative through two experiments in three regions with different badger densities. In northern Madrid (high density), the effectiveness of four attractants (cologne, sardines, Iberian lynx urine, and valerian extract) was compared, revealing marginally significant differences in detectability. The results suggested a trend indicating that cologne and sardines were the most effective attractants for detecting badgers. In Galicia (high density) and southeastern Madrid (low density), these two attractants (cologne and sardines) were used to compare relative abundances obtained from camera trapping and latrine counts. No correlation was found between the abundance estimates derived from both methods, and their effectiveness varied by region. Camera trapping, in combination with attractants, appears to be a useful method for detecting badgers in low-density areas where latrine counts are ineffective. Our results highlight the importance of adapting monitoring methods to the ecological characteristics and population densities of target species. Additionally, they underscore the need to consider environmental and habitat variations, which may significantly influence the accuracy and effectiveness of abundance estimates.

Keywords: attractants; camera trapping; detectability; European badger; latrine counts; low density


Introducción

Una adecuada gestión y conservación de la vida silvestre depende en gran medida de la evaluación precisa de las abundancias y tendencias poblacionales de las especies (Williams et al. 2002). Sin embargo, el comportamiento esquivo y nocturno de muchos carnívoros dificulta la estimación precisa de sus poblaciones, al limitar la efectividad de métodos tradicionales, como los basados en la observación directa o el análisis de distancias (Bull et al. 1992). Otros métodos más eficaces como la captura-marcaje-recaptura mediante captura directa, además de invasivos son más complejos y costosos. La curiosidad innata de los carnívoros junto con sus comportamientos territoriales y de marcaje los convierten en candidatos ideales para el uso de métodos no invasivos, como el registro de rastros (Sargeant et al. 1998; MacKay et al. 2008) o el uso de cámaras de fototrampeo (Kays y Slauson 2008; O’Connell et al. 2011). Estos métodos no invasivos son sencillos de aplicar al tratarse por lo general de sistemas menos costosos y más rápidos que los basados en la captura directa. Además, no representan molestias severas a los individuos objeto de estudio que, en muchos casos, son especies amenazadas.

El fototrampeo comenzó a utilizarse en los años 90 para estimar la densidad poblacional del tigre Panthera tigris L. (Karanth 1995) y hoy en día se emplea ampliamente en el estudio de mamíferos carnívoros, tanto grandes como pequeños (Gese 2001), a lo largo de todo el mundo (Garrote et al. 2011; Negroes et al. 2012; Martin-Garcia et al. 2023; Miles et al. 2024). Este método a menudo recurre al uso de atrayentes o señuelos olfativos para estimular la curiosidad de los animales, y aumentar las probabilidades de detección (Kucera et al. 1995; Gese 2001; Schlexer 2008; Ferreras et al. 2018). No obstante, existe un debate sobre si el uso de atrayentes mejora la fiabilidad de los datos o si, por el contrario, introduce sesgos específicos en la detección (Long et al. 2008). En este sentido, aunque algunos estudios reportan que los atrayentes aumentan la detectabilidad (Monterroso et al. 2011; Ferreras et al. 2018), su efectividad no solo depende del tipo de atrayente y la especie objetivo, sino también de otros factores, como el contexto ambiental o los comportamientos individuales. Además, como señalan Palencia et al. (2022), siempre que se disponga de los recursos adecuados, la mejor estrategia podría ser aumentar el número de cámaras y el esfuerzo de muestreo. Aun así, cuando se utilicen atrayentes, se debe prestar especial atención a su selección, considerando estos factores para maximizar las probabilidades de detección sin comprometer la calidad de los datos obtenidos.

Tradicionalmente, se ha utilizado el fototrampeo para determinar abundancias de especies cuyos individuos pueden ser identificados mediante características naturales (por ejemplo, características de pelaje) o marcas artificiales (por ejemplo, marcas auriculares). Las identificaciones permiten la construcción de matrices de presencia-ausencia, que pueden ser analizadas con los modelos de captura-marcaje-recaptura (Karanth 1995; Heilbrun et al. 2006). Si bien los sistemas de cámaras se utilizan sobre todo para detectar la presencia de carnívoros (Kucera et al. 1995; Naves et al. 1996; Foresman y Pearson 1998) ya que en la mayoría de los casos la identificación individual es muy complicada y la identificación errónea puede producir sesgos significativos en las estimaciones de población (Trolle et al. 2008; Yoshizaki et al. 2009). En este sentido, en los últimos años se ha avanzado en este aspecto (Steenweg et al. 2017), desarrollándose diversos sistemas que permiten aproximarse a la estimación de abundancias absolutas sin necesidad de reconocimiento individual (Rowcliffe et al. 2008; Moeller et al. 2018; Miles et al. 2024). Por tanto, el fototrampeo puede utilizarse tanto para estimar la densidad poblacional usando métodos basados en la captura-recaptura como para derivar índices de abundancia relativa, en función de la cantidad de capturas por unidad de esfuerzo.

El muestreo de tejón Meles meles (Linnaeus, 1758), es un claro ejemplo de la dificultad que conlleva el censo poblacional de carnívoros. Se trata de uno de los carnívoros más elusivos y desconfiados de la península ibérica, cuyo estudio y censo mediante métodos tradicionales basados en la observación directa de individuos es muy complicado (Sadlier et al. 2004). Por esta razón, los métodos de censo más comunes para la especie se basan en el recuento de tejoneras y letrinas, asumiendo que el número de estas se correlaciona con la densidad de la especie (Wilson et al. 1997; Schley et al. 2004; Newton et al. 2011; Lara-Romero et al. 2012). Sin embargo, las densidades de la especie en la región Mediterránea, y particularmente en la península ibérica, generalmente son mucho menores respecto a las densidades del resto de Europa (Griffiths y Thomas 1997). Esto conlleva que, tanto letrinas como tejoneras, sean difíciles de encontrar, y a su vez, dificulta su uso como método indirecto de censo o incluso como método de detección de la especie. Un estudio realizado en distintos puntos de España indicó que la detección de la especie usando letrinas es muy improbable en densidades por debajo de los 0,4 tejones/km2 (Virgós, datos propios no publicados). Por tanto, el uso de estos métodos puede estar limitado en muchas áreas mediterráneas, precisamente donde la especie puede encontrase ante mayores retos de conservación dada su baja densidad.

En el presente trabajo se pretende evaluar la adecuación del fototrampeo como método de estimación de abundancias en el tejón europeo Meles meles, con énfasis en las poblaciones de baja densidad. Los objetivos específicos fueron: 1) comparar la eficacia de cuatro atrayentes en la detectabilidad del tejón; 2) evaluar la probabilidad de detección de tejones en zonas de baja y alta densidad mediante técnicas de fototrampeo; 3) comparar las diferencias en las abundancias relativas de tejón estimadas mediante fototrampeo y conteo de letrinas; y 4) analizar cómo las estimaciones de abundancia relativa de tejón con ambas metodologías varían en función de la densidad de tejón.

Material y Métodos

Especie de estudio

El tejón europeo es un mesocarnívoro ampliamente distribuido en Europa, conocido por su comportamiento social complejo y su capacidad de adaptación a una variedad de hábitats, desde bosques hasta paisajes agrícolas (Neal y Cheeseman 1996; Lara-Romero et al. 2012). Esta especie desempeña un papel clave en los ecosistemas, tanto como consumidor de pequeños invertebrados, dispersor de semillas, como por su actividad de excavación, y capacidad de modificar la estructura del suelo (Roper 2010; Kurek et al. 2022). Sin embargo, el tejón enfrenta diversos desafíos de conservación, incluidos conflictos con actividades humanas, como la caza (69.3% de los países de Europa) y los atropellos (Clarke et al. 1998; Dekker y Bekker 2010; Woodroffe y Redpath 2015), o la transmisión de enfermedades, como la tuberculosis bovina en algunas regiones (Brown 1993). Sin embargo, su comportamiento esquivo y sus densidades poblacionales bajas en determinadas áreas dificultan su monitoreo efectivo (Sadlier et al. 2004). En este contexto, el tejón constituye un modelo ideal para evaluar la eficacia del fototrampeo, dado que esta metodología es particularmente adecuada para detectar y estimar la abundancia de especies de difícil observación directa, especialmente aquellas con densidades bajas o patrones de actividad nocturnos (Virgós et al. 2005). Estudiar las abundancias poblacionales del tejón es crucial para entender mejor su ecología, mitigar posibles conflictos con el ser humano y evaluar su papel en los ecosistemas.

Área de estudio

El estudio se llevó a cabo en tres regiones distintas de la península ibérica, seleccionadas con objetivos específicos y caracterizadas por distintas densidades de tejón (Fig. 1). Dos de ellas presentan altas densidades poblacionales de tejón, mientras que la tercera se caracteriza por una densidad baja. 1) Una región de estudio fue ubicada en la parte más oriental de la Sierra de Guadarrama, la cual presenta una temperatura media anual de 10 ºC y una precipitación media anual de 840 mm. Esta región presenta una elevada densidad de tejones, con un registro medio de 3.24 letrinas por kilómetro (Escribano et al. 2009). En esta región, se seleccionaron cuatro localidades, dos situadas a mayor altitud (1100-1150m): Montejo de la Sierra (41° 3' 30” N, 3° 34' 44” O) y Prádena del Rincón (41° 2' 45" N, 3° 31' 40" O), donde predomina el roble melojo (Quercus pyrenaica) con rodales de pino albar (Pinus sylvestris) y grandes extensiones de pastos para uso de ganadería extensiva. Las otras dos localidades, Madarcos (41° 1' 52" N, 3° 34' 37 "O) y Villavieja del Lozoya (41° 0' 61" N, 3° 41' 49" O), están a menor altitud (≈ 1000m) y aunque predomina el roble melojo también aparecen elementos más mediterráneos como encinas (Quercus ilex); 2) Otra región de estudio se situó en el centro de la provincia de A Coruña (43° 21' N, 8° 25' O). Esta región está caracterizada por presentar una alta densidad de tejones, pudiendo encontrar una media de 3.1 letrinas por kilómetro de transecto (Escribano et al. 2009). Esta región presenta una temperatura media anual de 12.6 ºC y una precipitación media anual de 1886 mm. El paisaje está dominado por un mosaico agrosilvopastoral. Son características las formaciones forestales de diversos tamaños en las que predominan los cultivos de Eucalyptus globulus con algunas manchas pequeñas de roble carballo (Quercus robur) que se entremezclan con prados, cultivos y núcleos rurales donde abunda la ganadería extensiva de vacuno. 3) Una última región de estudio se situó en la zona del sureste de Madrid (40º 09'N, 3º 15'O). Presenta una temperatura media anual de 14.5 ºC y una precipitación media anual de 380 mm. Esta región tiene muy baja densidad de tejones y solo se conoce su presencia por citas puntuales (atropellos, huellas, etc). En esta región predomina la vegetación xerofítica, caracterizada por extensos espartales de Stipa tenacissima, intercalados con pequeños rodales de bosque esclerófilo de encinas y coscojas (Quercus coccifera) y bosques de Pinus halepensis. Estos parches están incluidos en una matriz agrícola de uso intensivo y monoespecífico de plantaciones de olivo (Olea europaea) y cultivos de secano, principalmente de cultivos de cereales.

Mapa de la península ibérica mostrando la ubicación de las cámaras de fototrampeo en las respectivas localidades de las tres regiones de estudio, y fotografías representativas de los paisajes en cada región: (a) Galicia, (b) norte de Madrid y (c) sureste de Madrid

 

Figura 1. Mapa de la península ibérica mostrando la ubicación de las cámaras de fototrampeo en las respectivas localidades de las tres regiones de estudio, y fotografías representativas de los paisajes en cada región: (a) Galicia, (b) norte de Madrid y (c) sureste de Madrid. Los recuadros muestran mapas detallados de elevación para cada región, con las localidades de muestreo indicadas.

Figure 1. Map of the Iberian Peninsula showing the location of camera traps in the respective study sites across the three study regions, along with representative photographs of the landscapes in each region: (a) Galicia, (b) northern Madrid, and (c) southeastern Madrid. Detailed elevation maps for each region, with the sampling sites indicated are provided.

Eficacia de los atrayentes

Para comparar la eficacia de cuatro atrayentes en la detectabilidad del tejón se llevó un experimento en la región de alta densidad del norte de Madrid. Entre marzo y abril del 2012, se colocaron aleatoriamente, y con una separación de entre 40 y 70 m, cuatro cámaras automáticas en una superficie de 1x1 km2 en cada una de las cuatro localidades de la región de alta densidad de tejones situadas en el norte de Madrid. En total se colocaron 16 cámaras con sensor de movimiento ScoutGuard (12x), Bushnell Trophy (2x) y Wildview Extreme 2 (2x). En cada una de las cuatro cámaras se puso un atrayente diferente, aproximadamente a 1 m de distancia de la cámara. Los atrayentes evaluados fueron seleccionados en base a su uso tradicional en los estudios de carnívoros, y fueron los siguientes: (1) sardina en lata, un atrayente generalista de carnívoros (Long et al. 2008); (2) esencia de valeriana (Valeriana officinalis), un atrayente que contiene ácido valérico presente en la orina y las secreciones de las glándulas anales de algunos carnívoros (Saunders y Harris 2000; Schlexer 2008); (3) orina de lince ibérico Lynx pardinus (obtenido de individuos en cautividad), que según Monterroso et al. (2011) promueve la curiosidad de la mayoría de los carnívoros al tratarse de un competidor y posible depredador; y (4) agua de colonia comercial (Impacto), ya que se ha observado que los carnívoros pueden sentirse atraídos por estos olores (Moreira-Ramírez et al. 2011).

De los tres últimos atrayentes se pulverizaron 3 ml sobre un algodón, el cual se fijó al suelo mediante varillas de madera. La sardina en lata, sin embargo, fue ocultada mediante palos y piedras para alargar el tiempo de exposición del atrayente sin su consumo directo. La orina fue conservada en frío desde su almacenaje hasta su empleo en el campo con el objeto de conservar sus propiedades como atrayente. Los atrayentes se colocaron a una distancia de 5 m de las cámaras trampa. Estas se instalaron a una altura de 40 cm del suelo, fijadas a árboles y con el sensor alineado de forma paralela a la pendiente del terreno. Se configuraron para operar de manera continua las 24 h. Más datos de la configuración de las cámaras se pueden ver en la Tabla 1. Cada cámara estuvo operativa un periodo de 28 días. Cada siete días se revisaron las cámaras para descargar las imágenes de las tarjetas de memoria reemplazar baterías, y reponer los atrayentes. Solo se consideraron los registros de tejones obtenidos a una distancia de ≤10 m de la cámara trampa (Palencia et al. 2022). En caso de capturar múltiples imágenes en una misma cámara dentro de un intervalo de una hora, se contabilizó como un único registro para evitar duplicaciones en los datos.

Tabla 1. Características técnicas y configuración de las cámaras utilizadas en el estudio. Se incluyen detalles sobre los modelos, la resolución de imagen, modo iluminación nocturna, velocidad de disparo, intervalo entre disparos, rango operativo de temperatura.

Table 1. Technical characteristics and configuration of the cameras used in the study. Details include models, image resolution, night illumination mode, trigger speed, interval between shots, and operating temperature range.

Características/Configuración

ScoutGuard

Bushnell

Stealht Cam

Moultrie

Wildview Xtreme2

Modelo

SG550V

Trophy Cam HD Essential

STC-I550

D40 GameSpy

STC-TGL2M

Resolución de imagen

5 MP

12 MP

5 MP

4 MP

2 MP

Modo nocturno

LEDs infrarrojos

LEDs infrarrojos

Flash

Flash

Flash

Velocidad máxima de disparo

1.3 "

0.3 "

1 "

0.5 "

1 "

Intervalo entre disparos

1 "

1 "

30"

0.5 "

30"

Funciona en un rango de temperatura

-20 a 60 °C

-20 a 60 °C

-10 a 40 °C

-18 a 38°C

-20 a 50 °C

 

Detectabilidad en alta y baja densidad

Para evaluar la probabilidad de detección de tejones en zonas de baja y alta densidad, se realizó un estudio comparativo en las otras dos regiones: la de baja densidad en el sureste de Madrid y la de alta densidad en Galicia. En Madrid, se seleccionaron 7 localidades separadas al menos por 2 km entre ellas las cuales fueron seleccionadas en función de presencias conocidas (atropellos, rastros, etc) de manera que, aunque fueran de muy baja densidad, al menos se tuviera constancia de la presencia de la especie. El 18 de abril se colocaron dos cámaras en cada localidad (ScoutGuard (12x), Bushnell Trophy (2x) de manera aleatoria), en una superficie de 1x1 km2 y fueron georreferenciadas. En este caso, los atrayentes seleccionados fueron la sardina y la colonia, de manera simultánea en las 14 cámaras y se mantuvieron durante 35 días para maximizar la probabilidad de detección. Se repitió el mismo proceso de revisión y renovación cada siete días que en el anterior experimento. Por otro lado, el 20 de abril en la región de Galicia, se repitió este mismo experimento sobre seis localidades. Concretamente se instalaron seis cámaras Bushnell, dos Stealht Cam y cuatro cámaras Moultrie. La configuración de las cámaras siguió el mismo protocolo descrito en el primer experimento, manteniendo consistencia en los parámetros como el ángulo, altura, y tiempo de funcionamiento para minimizar posibles sesgos metodológicos.

Para estimar las probabilidades de detección de tejones en regiones con diferentes densidades se utilizaron modelos de ocupación basados en métodos de máxima verosimilitud (MacKenzie et al. 2005), los cuales permiten generar estimaciones de la probabilidad de ocupación considerando la detección imperfecta. Para ello se utilizó el programa PRESENCE (Proteus Wildlife Research Consultants, New Zealand; http://www.proteus.co.nz) con el modelo para una temporada (MacKenzie et al. 2005). Este modelo utiliza los muestreos temporales múltiples, para construir estimaciones apropiadas a través de una serie de argumentos probabilísticos.

Para comparar las abundancias relativas de la especie obtenidas mediante fototrampeo con las tasas de detección basadas en el recuento de letrinas, se realizó un muestreo de letrinas en las siete localidades de baja densidad del sureste de Madrid y las seis localidades de alta densidad de Galicia en la misma fecha en la que las cámaras estuvieron recogiendo datos. Los muestreos de letrinas se realizaron siguiendo la metodología propuesta por Tuyttens et al. (1999). Esta metodología consiste en realizar un muestreo siguiendo estructuras lineales o ecotonos. Se adaptó la metodología propuesta a nuestro tamaño de parcela de 1 x 1 km, pero intentando maximizar la probabilidad de detección. Para ello se realizó un recorrido por la misma de 2 km de largo, fundamentalmente siguiendo ecotonos monte-cultivo, barrancos y líneas de altos de lomas.

Análisis estadístico

Para evaluar las diferencias significativas entre los atrayentes en la detección de tejón, se ajustó un modelo lineal generalizado inflado de ceros con errores de Poisson (Zero-Inflated Poisson, ZIP). Como variable dependiente se utilizó el número de detecciones de tejones como eventos independientes en las cámaras, mientras que el tipo de atrayente y la localidad de la ubicación de la cámara fueron considerados como factores fijos en el modelo. El efecto de los factores fijos se evaluó mediante una prueba de razón de verosimilitud (LRT: Likelihood Ratio Test). Por tanto, se eliminaron términos del modelo final si la comparación entre modelos con y sin un término específico no resultó significativa según la prueba de LRT. Para examinar las diferencias en la frecuencia de entradas de tejón atribuibles al tipo de atrayente, se realizó un análisis post-hoc de Tukey. Este análisis permitió evaluar cómo varía la frecuencia de detección en función del método de detección dentro de cada región, considerando las interacciones entre estos factores.

Finalmente, para comparar los resultados obtenidos mediante fototrampeo con aquellos obtenidos con muestreos de letrinas en zonas de baja y alta densidad, se llevó a cabo de nuevo un modelo lineal generalizado inflado de ceros con errores de Poisson. Como variable respuesta, utilizamos el número de detecciones asociado a cada tipo de muestreo (el número de noches en las que apareció el tejón en las cámaras y el número de letrinas). Como factores fijos, consideramos el método de detección (fototrampeo y conteo de letrinas), la región de estudio (baja densidad —sureste de Madrid— frente a alta densidad —Galicia—) y su interacción como factores fijos. El efecto de los factores fijos se evaluó utilizando un test de razón de verosimilitud (LRT). Para examinar las diferencias en la frecuencia de entradas de tejón atribuibles al método de detección y a la región con diferente densidad, se realizó un análisis post-hoc de Tukey.

Los modelos lineales generalizados fueron ajustados utilizando la función de R ‘zeroinfl’ y el test de razón de verosimilitud usando ‘lrtest’ del paquete ‘pscl’ (Jackman et al. 2015). La ausencia de sobredispersión en el ajuste de los modelos se verificó utilizando la función ‘dispersiontest’ del paquete ‘AER’.

Resultados

Se detectaron un total de 13 tejones (Tabla A1 del Material suplementario; Lopez-Angulo 2024), repartidos en las cuatro localidades de la región del norte de Madrid (n=432 noches de estudio). El tejón fue el segundo mesocarnívoro con mayor número de registros después del zorro (Vulpes vulpes, n=67) y por delante de la garduña (Martes foina, n=5) o la gineta (Genetta genetta, n=4). El análisis de la razón de verosimilitud (LRT) indicó que el modelo que incluía el tipo de atrayente además de la localidad presentó diferencias marginalmente significativas en el número de detecciones de tejón en comparación con el modelo que presentaba solo localidad (véase la comparación de modelos en el Material suplementario). Aunque las medias marginales para los atrayentes "colonia" y "sardina" fueron superiores a las de "valeriana" y "orina" (Fig. 2), el análisis post-hoc no reveló diferencias estadísticamente significativas entre los grupos (Material suplementario).

De las siete localidades de baja densidad donde se colocaron las cámaras con los dos atrayentes, se registraron cuatro registros de tejón en tres de ellas. El tejón volvió a ser el segundo mesocarnívoro más abundante después del zorro rojo (n=8). La probabilidad de detección que se obtuvo en la región de baja densidad mediante el programa PRESENCE fue de 0.458 (SE = 0.392). En Galicia, el área de alta densidad donde se comprobaron los atrayentes se obtuvieron cuatro registros de tejón, en tres cámaras de dos de las seis localidades estudiadas. La probabilidad de detección de los modelos de ocupación en esta región fue 0.304 (SE = 0.261). Por su parte, la probabilidad de detección de los modelos de ocupación en la Sierra de Madrid fue de 0.681 (SE = 0.193). Los valores de los índices de abundancia relativa para los tejones calculados a partir de los datos de captura de las cámaras fueron: 0.82 capturas/100 trampa-noches para la región de baja densidad del sureste de Madrid y 0.95 capturas/100 trampa-noches para la región de alta densidad de Galicia.

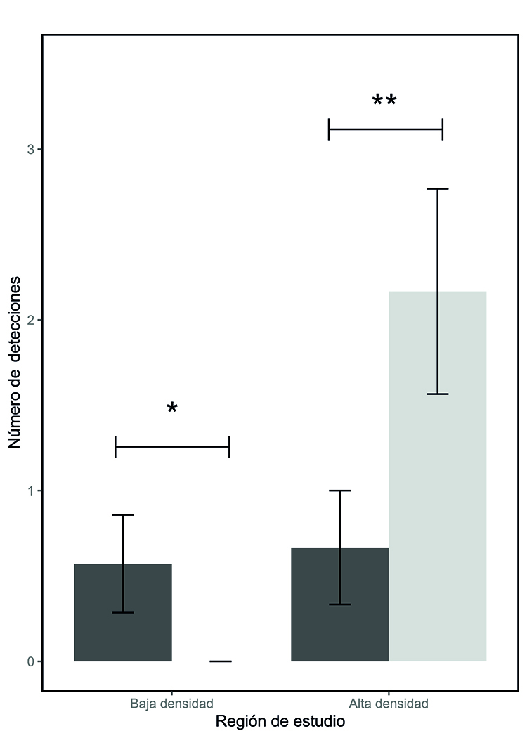
No se detectaron letrinas ni otros rastros en ninguna de las localidades estudiadas en la región de baja densidad del sureste de Madrid (0 letrinas; Tabla A2 del Material suplementario; Lopez-Angulo 2024). En la región de alta densidad en Galicia se registraron un total de 26 letrinas. La cantidad de letrinas por transecto varió entre 1 y 3, lo que equivale a 0.5 - 1.5 letrinas/km. La media de letrinas por transecto en las seis localidades estudiadas fue de 2.167 (± 0.98; equivalente a 1.085 letrinas/km) (Tabla A2 del Material suplementario; Lopez-Angulo 2024). El análisis mediante la prueba de razón de verosimilitud (LRT) mostró que el modelo más complejo que incorporaba la interacción entre el método de muestreo y la región presentó diferencias significativas en el número de detecciones frente a modelos más sencillos (véase la comparación de modelos en el Material suplementario). En el sureste de Madrid, la detección de tejón fue mayor mediante cámara de fototrampeo que mediante el conteo de letrinas, ya que no encontramos ninguna letrina (Fig. 3; z.ratio = 2.00, p-valor = 0.045). Sin embargo, en Galicia, fue mucho más fácil detectar tejón usando conteo de letrinas que usando el fototrampeo (z.ratio = -2.94, p-valor = 0.003).

 

Número de detecciones de tejón (Meles meles) durante los 28 días de experimento para los diferentes atrayentes: colonia, orina de lince ibérico (Lynx pardinus), sardina en aceite y esencia de valeriana (Valeriana officinalis). La figura muestra las medias marginales junto con sus intervalos de confianza.

 

Figura 2. Número de detecciones de tejón (Meles meles) durante los 28 días de experimento para los diferentes atrayentes: colonia, orina de lince ibérico (Lynx pardinus), sardina en aceite y esencia de valeriana (Valeriana officinalis). La figura muestra las medias marginales junto con sus intervalos de confianza.

Figure 2. Number of European badger (Meles meles) detections over the 28-day experiment for the different attractants: cologne, Iberian lynx (Lynx pardinus) urine, canned sardines in oil, and valerian (Valeriana officinalis) extract. The figure shows marginal means with their confidence intervals.

 

Número de detecciones de tejón (Meles meles) en función del método de muestreo (fototrampeo frente a conteo de letrinas) en las regiones de baja (sureste de Madrid) y alta densidad (Galicia).

 

Figura 3.- Número de detecciones de tejón (Meles meles) en función del método de muestreo (fototrampeo frente a conteo de letrinas) en las regiones de baja (sureste de Madrid) y alta densidad (Galicia). En gris oscuro están representadas el número de tejones detectados con fototrampeo en 35 noches y en gris claro las detecciones mediante búsqueda de letrinas en transectos de 2 km de longitud. La figura muestra las medias marginales junto con sus intervalos de confianza.

Figure 3. Number of European badger (Meles meles) detections according to the sampling method (camera trapping vs. latrine surveys) in regions of low (southeastern Madrid) and high density (Galicia). Dark gray represents the number of badgers detected through camera trapping over 35 nights, while light gray represents detections obtained via latrine surveys along 2 km transects. The figure shows marginal means with their confidence intervals.

Discusión

Nuestro estudio muestra que: 1) el fototrampeo combinado con atrayentes fue un método adecuado para detectar tejones en nuestra región de baja densidad, donde el recuento de letrinas fue ineficaz; 2) las estimaciones de abundancia relativas obtenidas mediante fototrampeo no mostraron correlación con los recuentos de letrinas; 3) la efectividad de un atrayente para una especie particular depende del contexto (hábitat, clima, individuo), lo que subraya la importancia de una cuidadosa selección y validación de los atrayentes empleados.

El fototrampeo demostró ser una técnica eficaz para la detección de tejones en áreas de baja densidad, donde el método indirecto de la búsqueda de letrinas no resultó efectivo. Tradicionalmente, el recuento de excrementos ha sido considerado el método más adecuado para la detección de carnívoros (Barea-Azcón et al. 2007), y específicamente de tejones (Tuyttens et al. 2001; Hutchings et al. 2002; Sadlier et al. 2004), debido a su eficiencia y bajo costo. No obstante, diversos estudios han cuestionado su uso para la evaluación de abundancias, especialmente en poblaciones de baja densidad (Harrington et al. 2010). El método basado en el recuento de excrementos puede ser ineficaz por factores como el muestreo no aleatorio, la incorrecta identificación de las heces o la variabilidad en la detectabilidad debida a las diferentes tasas de descomposición (Barea-Azcón et al. 2007). En ambientes mediterráneos, donde la densidad de tejones suele ser baja, la tasa de descomposición microbiana de los excrementos es más lenta debido a la menor humedad, lo que hace que las heces permanezcan más tiempo en el campo y se acumulen en mayor cantidad (Sanchez et al. 2004). Esto podría aumentar la probabilidad de detección, compensando parcialmente la menor abundancia de animales (Cavallini 1994). No obstante, hay que tener en cuenta que en medios más secos la actividad de los coprófagos es mayor y pueden hacer desaparecer las heces muy rápido (Chiu et al. 2023). Estos aspectos deben ser tenidos en cuenta cuando se comparan zonas con diferentes condiciones climáticas. Para complicar más la detección, algunos estudios han observado que los tejones no siempre sitúan las letrinas en los límites de sus territorios, y el uso de las mismas es más esporádico e impredecible (Balestrieri et al. 2009). Nuestros resultados, en línea con estos argumentos, sugieren que en zonas de baja densidad podría ser necesario incrementar el esfuerzo de búsqueda. En consecuencia, más estudios son necesarios para comprender mejor los patrones de marcaje de los tejones y mejorar las estrategias de monitoreo en estos entornos.

Aunque nuestros resultados de detección en áreas de baja densidad podrían sugerir lo contrario, los resultados indican que para usar el fototrampeo como método para estimar la abundancia de tejones, es fundamental considerar múltiples factores que influyen en su detectabilidad. Hemos observado que, en poblaciones con densidades similares, como las de Galicia y el norte de Madrid, se obtuvieron abundancias relativas muy dispares. De hecho, las poblaciones de tejón del sureste de Madrid, a muy baja densidad, presentaron probabilidades de detección en los modelos de ocupación más altas que las registradas en Galicia, donde la densidad es mayor. Una fuente de variación potencialmente importante en las probabilidades de detección es el tamaño de la población (Kery 2002; Royle y Nichols 2003). Sin embargo, al comparar poblaciones con densidades similares, encontramos grandes diferencias en la detectabilidad. Esto sugiere que otros factores distintos a la densidad poblacional están influyendo en estas variaciones. Por ejemplo, factores ambientales como el clima o el hábitat, podrían estar afectando el número de individuos activos y, por ende, la probabilidad de detección (O’Connell et al. 2011; Tanadini y Schmidt 2011). Además, es importante considerar que la actividad de los tejones puede variar significativamente entre regiones. En Galicia, la actividad de los tejones en marzo-abril podría ser menor que en el norte o el sureste de Madrid debido a las diferencias climáticas y de latitud, lo que podría reducir la probabilidad de detección. Esta menor actividad estacional podría explicar por qué, a pesar de una mayor abundancia potencial, la detectabilidad fue más baja en Galicia durante este periodo

Una posible explicación para las diferencias en detectabilidad podría estar relacionada con las condiciones tróficas de las poblaciones de tejones. En Galicia, las lombrices son una fuente abundante de alimento, lo que podría hacer que los tejones no necesiten recurrir a otras fuentes de alimento, y no se sientan atraídos por los atrayentes utilizados en este estudio (Virgós et al. 2004). En cambio, en la región mediterránea, donde las lombrices son menos abundantes, es plausible que los tejones dependan más de fuentes alternativas, como la alimentación frugívora (Barea-Azcón et al. 2010). De este modo, las esencias vegetales presentes en las colonias comerciales podrían estar favoreciendo la atracción de los tejones mediterráneos. No obstante, se necesitan más investigaciones para comprender mejor los factores, tanto comportamentales como ecológicos, que podrían estar influyendo en la desvinculación entre la detectabilidad y la abundancia de la especie.

Numerosos investigadores parecen coincidir en que el tejón es una especie que rehúye de los atrayentes y que suele aparecer en baja frecuencia o incluso no aparece en estudios que utilizan el trampeo fotográfico (Pardávila, obs. propias; Barea-Azcón et al. 2007; Torre et al. 2009). La comparación entre los resultados que obtuvieron Monterroso et al. (2011) y los que se han obtenido en este estudio, muestra un claro ejemplo del grado de variación en la atracción que presenta el tejón por los atrayentes, especialmente en el caso de la orina de lince. La orina de lince es un buen atrayente, puesto que el olor de un posible depredador promueve la curiosidad y el marcaje de otros carnívoros (Monterroso et al. 2011). Sin embargo, mientras que Monterroso et al. (2011) obtuvieron numerosas capturas, siendo el atrayente más eficaz de los seis que evaluaron, tanto para tejón como para el resto de los carnívoros ibéricos de la comunidad, en nuestro estudio la orina de lince no facilitó la detección de tejones. Estas diferencias pueden ser debidas al diferente origen de la orina, ya que Monterroso et al. (2011) utilizaron orina de lince europeo (Lynx lynx), mientras que en este estudio se utilizó orina de lince ibérico (Lynx pardinus). No obstante, este factor no debería representar un problema, dado que la orina de lince ibérico fue eficaz para el resto de mesocarnívoros. Por otra parte, Burgos et al. (2022) encontraron que, aunque el lince ibérico condiciona la presencia de otros mesocarnívoros, como la garduña, no parece alterar la presencia del tejón. Por tanto, este resultado refuerza nuestro argumento sobre la importancia de considerar las diferencias poblacionales al interpretar y diseñar estudios de campo basados en fototrampeo. Además, pone de manifiesto la dificultad de realizar comparaciones entre poblaciones debido a las marcadas variaciones que pueden observarse incluso entre individuos de una misma especie y a niveles de densidad similares.

Un aspecto fundamental a considerar en los resultados obtenidos es la influencia potencial de las características técnicas de las cámaras de fototrampeo. Estudios recientes han mostrado que factores técnicos como la sensibilidad del sensor, la velocidad de activación y el tipo de flash (infrarrojo o blanco) pueden afectar a la detectabilidad (Palencia et al. 2022). Aunque en nuestro estudio se emplearon diferentes marcas, se utilizaron cámaras con especificaciones lo más similares posibles, lo que minimizó la variabilidad. Además, las condiciones ambientales y climáticas propias de cada hábitat, como las temperaturas extremas o la humedad, pudieron influir en el rendimiento de las cámaras y, por ende, en la cantidad y calidad de los registros (Jacobs y Ausband 2018; McIntyre et al. 2020). Estas variaciones técnicas y ambientales deben ser consideradas al interpretar los resultados, ya que pueden tener un impacto significativo tanto en la detectabilidad como en las estimaciones de abundancia relativa.

Conclusiones

Nuestros resultados destacan que el fototrampeo combinado con atrayentes es una técnica eficaz para detectar tejones en áreas de baja densidad poblacional. Este enfoque supera las limitaciones del conteo de letrinas, el cual demuestra ser ineficaz cuando se aplica con la misma unidad de esfuerzo y protocolo que en zonas de alta densidad. Sin embargo, aunque las abundancias relativas fueron similares entre zonas con densidades presumiblemente diferentes, estas variaciones podrían estar influenciadas por factores adicionales, más allá de la densidad poblacional, como las condiciones ambientales, las diferencias en el comportamiento de los tejones o incluso las características específicas de las cámaras utilizadas. Nuestros hallazgos subrayan la importancia de seleccionar y validar cuidadosamente los atrayentes en función del contexto específico, ya que la eficacia de un atrayente puede variar considerablemente entre regiones de estudio. Asimismo, destacan la necesidad de ampliar las áreas de investigación y explorar el uso de atrayentes alternativos para mejorar tanto la detección como las estimaciones de densidad. En definitiva, nuestros resultados enfatizan la importancia de adaptar los métodos de monitoreo a las características ecológicas y las densidades poblacionales específicas de las especies objetivo. Esto es crucial para desarrollar estimaciones robustas que permitan establecer relaciones confiables entre abundancia y detectabilidad, optimizando así la eficacia de técnicas indirectas como el fototrampeo en el monitoreo y la conservación de poblaciones silvestres.

Contribución de los autores

Jesús López-Angulo: Conceptualización, Análisis formal, Investigación, Metodología, Recursos, Redacción – borrador original, Visualización. Xosé Pardavila-Rodríguez: Metodología, Recursos, Redacción – revisión. Emilio Virgós: Conceptualización, Investigación, Metodología, Recursos, Redacción – revisión, Supervisión, Validación.

Disponibilidad de datos

Los datos utilizados para este estudio están disponibles públicamente a través de Zenodo, bajo el siguiente enlace: https://doi.org/10.5281/zenodo.14548813.

Financiación, permisos requeridos, potenciales conflictos de interés y agradecimientos

Queremos agradecer a Vanesa Herranz por su valiosa ayuda en la ejecución de los modelos de ocupación de una sola especie utilizando PRESENCE, a Alberto Corral López por su apoyo en los conteos de letrinas, y a los dos revisores anónimos por sus comentarios constructivos.

Los autores declaran que no tienen ningún conflicto de intereses.

Referencias

Balestrieri, A., Remonti, L., Prigioni, C. 2009. Habitat selection in a low-density badger meles meles population: A comparison of radio-tracking and latrine surveys. Wildlife Biology 15: 442-448. https://doi.org/10.2981/08-027

Barea-Azcón, J.M., Virgós, E., Ballesteros-Duperón, E., Moleón, M., Chirosa, M. 2007. Surveying carnivores at large spatial scales: A comparison of four broad-applied methods. Biodiversity and Conservation 16: 1213-1230. https://doi.org/10.1007/s10531-006-9114-x

Barea-Azcón, J.M., Ballesteros-Duperón, E., Gil-Sánchez, J.M., Virgós, E. 2010. Badger meles meles feeding ecology in dry mediterranean environments of the southwest edge of its distribution range. Acta Theriologica 55: 45-52. https://doi.org/10.4098/j.at.0001-7051.048.2008

Brown, J.A. 1993. Transmission of bovine tuberculosis (Mycobacterium bovis) from badgers (Meles meles) to cattle. University of Bristol. Bristol, UK.

Bull, E.L., Holthausen, R.S., Bright, L.R. 1992. Comparison of three techniques to monitor Marten. Wildlife Society Bulletin 20: 406-410.

Burgos, T., Fedriani, J.M., Escribano-Ávila, G., Seoane, J., Hernández-Hernández, J., Virgós, E. 2022. Predation risk can modify the foraging behaviour of frugivorous carnivores: Implications of rewilding apex predators for plant-animal mutualisms. Journal of Animal Ecology 91: 1024-1035. https://doi.org/10.1111/1365-2656.13682

Cavallini, P. 1994. Faeces count as an index of fox abundance. Acta Theriologica 39: 417-424. https://doi.org/10.4098/AT.arch.94-49

Chiu, O., Tal, M., Sanmugam, A., Hesta, M., Gomez, D.E., Weese, J.S., Verbrugghe, A. 2023. The effects of ambient temperature exposure on feline fecal metabolome. Frontiers in Veterinary Science 10: 1141881. https://doi.org/10.3389/fvets.2023.1141881

Clarke, G.P., White, P.C.L., Harris, S. 1998. Effects of roads on badger Meles meles populations in south-west England. Biological Conservation 86: 117-124. https://doi.org/10.1016/S0006-3207(98)00018-4

Dekker, J.J.A., Bekker, H.G.J. 2010. Badger (Meles meles) road mortality in the Netherlands: the characteristics of victims and the effects of mitigation measures. Lutra 53: 81-92.

Escribano, G., Virgós, E., Barja, I., Romero, C.L., Recio, M. 2009. Are populations in the edge of their distribution range more stressed? A non-invasive field evaluation of stress in the European badger (Meles meles) along an environmental gradient in the Iberian Peninsula: Implications for global change. Comparative Biochemistry and Physiology, Part A 2: S62. https://doi.org/10.1016/j.cbpa.2009.04.534

Ferreras, P., DÍaz-Ruiz, F., Monterroso, P. 2018. Improving mesocarnivore detectability with lures in camera-trapping studies. Wildlife Research 45: 505-517. https://doi.org/10.1071/WR18037

Foresman, K.R., Pearson, D.E. 1998. Comparison of Proposed survey procedures for detection of forest carnivores. The Journal of Wildlife Management 62: 1217. https://doi.org/10.2307/3801985

Garrote, G., de Ayala, R.P., Pereira, P., Robles, F., Guzman, N., García, F.J., Iglesias, M.C., et al. 2011. Estimation of the Iberian lynx (Lynx pardinus) population in the Doñana area, SW Spain, using capture-recapture analysis of camera-trapping data. European Journal of Wildlife Research 57: 355-362. https://doi.org/10.1007/s10344-010-0440-7

Gese, E.M. 2001. Monitoring of terrestrial carnivore populations. Carnivore Conservation 5: 372.

Griffiths, H.I., Thomas, D.H. 1997. The conservation and management of the European badger (Meles meles). Nature and Environment Nº 90. Council of Europe Publishing, Strasbourg, France.

Harrington, L.A., Harrington, A.L., Hughes, J., Stirling, D., Macdonald, D.W. 2010. The accuracy of scat identification in distribution surveys: American mink, Neovison vison, in the northern highlands of Scotland. European Journal of Wildlife Research 56: 377-384. https://doi.org/10.1007/s10344-009-0328-6

Heilbrun, R.D., Silvy, N.J., Peterson, M.J., Tewes, M.E. 2006. Estimating bobcat abundance using automatically triggered cameras. Wildlife Society Bulletin 34: 69-73. https://doi.org/10.2193/0091-7648(2006)34[69:EBAUAT]2.0.CO;2

Hutchings, M.R., Service, K.M., Harris, S. 2002. Is population density correlated with faecal and urine scent marking in European badgers (Meles meles) in the UK? Mammalian Biology 67: 286-293. https://doi.org/10.1078/1616-5047-00043

Jackman, S., Tahk, A., Zeileis, A., Maimone, C., Fearon, J., Meers, Z., Jackman, M.S. 2015. Package 'pscl'. Political Science Computational Laboratory. https://doi.org/10.32614/CRAN.package.pscl

Jacobs, C., Ausband, D. 2018. An evaluation of camera trap performance - What are we missing and does deployment height matter? Remote Sensing in Ecology and Conservation 4: 352-360. https://doi.org/10.1002/rse2.81

Karanth, K.U. 1995. Estimating tiger Panthera tigris populations from camera-trap data using capture-recapture models. Biological conservation 71: 333-338. https://doi.org/10.1016/0006-3207(94)00057-W

Kays, R.W., Slauson, K.M. 2008. Remote cameras. In: Long, R., MacKay, P., Zielinski, W., Ray, J. (eds.), Noninvasive Survey Methods for Carnivores: Methods and Analyses, pp. 110-140. Island Press, Washington, USA.

Kery, M. 2002. Inferring the absence of a species: a case study of snakes. The Journal of Wildlife Management 66(2), 330-338. https://doi.org/10.2307/3803165

Kucera, T.E., Soukkala, A.M., Zielinski, W.J. 1995. Photographic bait stations. In: Ielinski, W. J., Kucera, T. E. (eds.), American Marten, Fisher, Lynx, and Wolverine: Survey Methods for Their Detection, pp. 25-62. US Department of Agriculture, Forest Service, Pacific Southwest Research Station, Albany, CA, USA.

Kurek, P., Piechnik, Ł., Wiatrowska, B., Ważna, A., Nowakowski, K., Pardavila, X., Cichocki, J., et al. 2022. Badger Meles meles as ecosystem engineer and its legal status in Europe. Animals 12: 1-19. https://doi.org/10.3390/ani12070898

Lara-Romero, C., Virgós, E., Escribano-Ávila, G., Mangas, J.G., Barja, I., Pardavila, X. 2012. Habitat selection by European badgers in Mediterranean semi-arid ecosystems. Journal of Arid Environments 76: 43-48. https://doi.org/10.1016/j.jaridenv.2011.08.004

Long, R.A., Zielinski, W.J., Long, R., MacKay, P., Zielinski, W., Ray, J. 2008. Designing effective noninvasive carnivore surveys. Noninvasive survey methods for carnivores 8-44.

Lopez-Angulo, J. 2024. Datos de: Evaluación del fototrampeo como método de estimación de abundancias en el tejón europeo Meles meles (Linnaeus, 1758). Zenodo. https://doi.org/10.5281/zenodo.14548813

MacKay, P., Zielinski, W.J., Long, R.A., Ray, J.C. 2008. Noninvasive research and carnivore conservation. Island Press Washington, DC, USA.

MacKenzie, D.I., Nichols, J.D., Sutton, N., Kawanishi, K., Bailey, L.L. 2005. Improving inferences in population studies of rare species that are detected imperfectly. Ecology 86: 1101-1113. https://doi.org/10.1890/04-1060

Martin-Garcia, S., Cortazar-Chinarro, M., Rodríguez-Recio, M., Jiménez, J., Höglund, J., Virgós, E. 2023. Comparing minimum number of individuals and abundance from non-invasive DNA sampling and camera trapping in the red fox (Vulpes vulpes). Biodiversity and Conservation 32: 1977-1998. https://doi.org/10.1007/s10531-023-02586-y

McIntyre, T., Majelantle, T.L., Slip, D.J., Harcourt, R.G. 2020. Quantifying imperfect camera-trap detection probabilities: Implications for density modelling. Wildlife Research 47: 177-185. https://doi.org/10.1071/WR19040

Miles, V., Woodroffe, R., Donnelly, C.A., Brotherton, P.N.M., Ham, C., Astley, K., Aurélio, J., et al. 2024. Evaluating camera-based methods for estimating badger (Meles meles) density: Implications for wildlife management. Ecological Solutions and Evidence 5: 1-15. https://doi.org/10.1002/2688-8319.12378

Moeller, A.K., Lukacs, P.M., Horne, J.S. 2018. Three novel methods to estimate abundance of unmarked animals using remote cameras. Ecosphere 9: e02331. https://doi.org/10.1002/ecs2.2331

Monterroso, P., Alves, P.Ć., Ferreras, P. 2011. Evaluation of attractants for non-invasive studies of Iberian carnivore communities. Wildlife Research 38: 446-454. https://doi.org/10.1071/WR11060

Moreira-Ramírez, J., McNab, R., Garcia-Anleu, R., Méndez, M., Barnes, M., Ponce-Santizo, G., Córdova, M. 2011. Densidad de Jaguares dentro de la Concesión Comunitaria de Carmelita y de la Asociación Forestal Integral San Andrés Petén, Guatemala. Wildlife Conservation, Society-Jaguar Conservation Program, Guatemala.

Naves, J., Fernández, A., Gaona, J.F., Nores, C. 1996. Uso de cámaras automáticas para la recogida de información faunística. Doñana, Acta Vertebrata 23: 189-199.

Neal, E.G., Cheeseman, C.L. 1996. Badgers. Poyser Natural History, London, UK.

Negroes, N., Sollmann, R., Fonseca, C., Jacomo, A.T.A., Revilla, E., Silveira, L. 2012. One or two cameras per station? Monitoring jaguars and other mammals in the Amazon. Ecological research 27: 639-648. https://doi.org/10.1007/s11284-012-0938-4

Newton, A.C., Johnson, S.N., Gregory, P.J. 2011. Implications of climate change for diseases, crop yields and food security. Euphytica 179: 3-18. https://doi.org/10.1007/s10681-011-0359-4

O'Connell, A.F., Nichols, J.D., Karanth, K.U. 2011. Camera traps in animal ecology: methods and analyses. Springer. https://doi.org/10.1007/978-4-431-99495-4

Palencia, P., Vicente, J., Soriguer, R.C., Acevedo, P. 2022. Towards a best-practices guide for camera trapping: assessing differences among camera trap models and settings under field conditions. Journal of Zoology 316: 197-208. https://doi.org/10.1111/jzo.12945

Roper, T.J. 2010. Badger. Harpercollins Publishers, London, UK.

Rowcliffe, J.M., Field, J., Turvey, S.T., Carbone, C. 2008. Estimating animal density using camera traps without the need for individual recognition. Journal of Applied Ecology 45: 1228-1236. https://doi.org/10.1111/j.1365-2664.2008.01473.x

Royle, J.A., Nichols, J.D. 2003. Estimating abundance from repeated presence-absence data or point counts. Ecology 84: 777-790. https://doi.org/10.1890/0012-9658(2003)084[0777:EAFRPA]2.0.CO;2

Sadlier, L.M.J., Webbon, C.C., Baker, P.J., Harris, S. 2004. Methods of monitoring red foxes Vulpes vulpes and badgers Meles meles: Are field signs the answer? Mammal Review 34: 75-98. https://doi.org/10.1046/j.0305-1838.2003.00029.x

Sanchez, D.M., Krausman, P.R., Livingston, T.R., Gipson, P.S. 2004. Persistence of carnivore scat in the Sonoran Desert. Wildlife Society Bulletin 32: 366-372. https://doi.org/10.2193/0091-7648(2004)32[366:POCSIT]2.0.CO;2

Sargeant, G.A.., Johnson, H.D., Berg, W.E. 1998. Interpreting carnivore scent-station surveys. The Journal of Wildlife Management 62: 1235-1245. https://doi.org/10.2307/3801987

Saunders, G., Harris, S. 2000. Evaluation of attractants and bait preferences of captive red foxes (Vulpes vulpes). Wildlife Research 27: 237-243. https://doi.org/10.1071/WR99052

Schlexer, F.V. 2008. Attracting animals to detection devices. Island Press Washington DC, USA.

Schley, L., Schaul, M., Roper, T.J. 2004. Distribution and population density of badgers Meles meles in Luxembourg. Mammal Review 34: 233-240. https://doi.org/10.1111/j.1365-2907.2004.00040.x

Steenweg, R., Hebblewhite, M., Kays, R., Ahumada, J., Fisher, J.T., Burton, C., Townsend, S.E., et al. 2017. Scaling-up camera traps: monitoring the planet's biodiversity with networks of remote sensors. Frontiers in Ecology and the Environment 15: 26-34. https://doi.org/10.1002/fee.1448

Tanadini, L.G., Schmidt, B.R. 2011. Population size influences amphibian detection probability: Implications for biodiversity monitoring programs. PLoS ONE 6: e28244. https://doi.org/10.1371/journal.pone.0028244

Torre, I., Ribas, A., Arrizabalaga, A. 2009. Estudio de la comunidad de carnívoros del PN Del Montseny (Catalunya) mediante trampeo fotográfico. Galemys 21: 165-180. https://doi.org/10.7325/Galemys.2009.NE.A13

Trolle, M., Noss, A.J., Cordeiro, J.L.P., Oliveira, L.F.B. 2008. Brazilian tapir density in the Pantanal: A comparison of systematic cameratrapping and linetransect surveys. Biotropica 40: 211-217. https://doi.org/10.1111/j.1744-7429.2007.00350.x

Tuyttens, F.A.M., Macdonald, D.W., Swait, E., Cheeseman, C.L. 1999. Estimating population size of Eurasian badgers (Meles meles) using mark-recapture and mark-resight data. Journal of Mammalogy 80: 950-960. https://doi.org/10.2307/1383265

Tuyttens, F.A.M., Long, B., Fawcett, T., Skinner, A., Brown, J.A., Cheeseman, C.L., Roddam, A.W., et al. 2001. Estimating group size and population density of Eurasian badgers Meles meles by quantifying latrine use. Journal of Applied Ecology 38: 1114-1121. https://doi.org/10.1046/j.1365-2664.2001.00665.x

Virgós, E., Mangas, J.G., Blanco-Aguiar, J.A., Garrote, G., Almagro, N., Viso, R.P. 2004. Food habits of European badgers (Meles meles) along an altitudinal gradient of Mediterranean environments: a field test of the earthworm specialization hypothesis. Canadian Journal of Zoology 82: 41-51. https://doi.org/10.1139/z03-205

Virgós, E., Revilla, E., Mangas, J.G., Domingo-Roura, X. 2005. Ecología y conservación del tejón en ecosistemas mediterráneos. Sociedad Española para la Conservación y Estudio de los Mamíferos (SECEM), Málaga, España.

Williams, B.K., Nichols, J.D., Conroy, M.J. 2002. Analysis and management of animal populations. Academic press.

Wilson, G., Harris, S., McLaren, G. 1997. Changes in the British badger population, 1988 to 1997. People's Trust for Endangered Species London, UK.

Woodroffe, R., Redpath, S.M. 2015. When the hunter becomes the hunted. Science 348: 1312-1314. https://doi.org/10.1126/science.aaa8465

Yoshizaki, J., Pollock, K.H., Brownie, C., Webster, R.A. 2009. Modeling misidentification errors in capture-recapture studies using photographic identification of evolving marks. Ecology 90: 3-9. https://doi.org/10.1890/08-0304.1